Performance Analysis and Constellation Design for the Parallel Quadrature Spatial Modulation
Abstract
1. Introduction
- The analytical upper-bound of the codeword pairwise error probability is derived for the PQSM with two and four groups.
- The derived upper-bound is formulated as a weighted sum of functions. We propose an improved constellation for the PQSM for several system configurations, where the search process is formulated as a multi-objective optimization problem. The obtained constellation reduces the asymptotic error performance, and it outperforms the conventional modulation schemes by more than 5 dB for given system configurations.
2. System Model and Related Works
2.1. System Model
2.2. Quadrature Spatial Modulation
2.3. Parallel Quadrature Spatial Modulation
3. Performance Analysis
3.1. Performance of the Quadrature Spatial Modulation
3.2. Performance of the Parallel Quadrature Spatial Modulation
4. Constellation Design for the PQSM
- The nine terms given in (19) can be split into three groups. The first group consists of . To minimize this term, the energy of the symbols should be maximized under the transmission power constraint; the average power per symbol is equal to one. Therefore, is minimized if all the symbols have an equal power of one. Based on the design constraint mentioned above, where symbols are located in each of the four quadrants, the symbols will be located at the location of a QPSK symbol. The term is referred to as the energy-maximization term. The second group consists of . To minimize this term, the Euclidean distance between the signal symbols should be maximized. Under the transmission power constraint, this leads to a constellation similar to the standard quadrature amplitude modulation (QAM) set. The term is referred to as the distance-maximization term. The third group consists of the remaining terms to . These terms are combinations of the energy- and distance-maximization terms. The result of the disjoint optimization of these terms strikes a trade-off between maximizing the energy of the symbols and increasing the Euclidean distance among them. In light of (19), maximizing the energy will reduce the terms more than maximizing the distance among the symbols does.
- For a fixed and relatively small number of receive antennas , the energy-maximization term dominates the optimization process. This is supported by the tendency of the proposed constellations depicted in the first and third rows of Figure 2: The symbols of the proposed constellation are located at the location of the standard QPSK symbols.
- As increases, also increases as it is the reciprocal of the Euclidean distance between the real parts and imaginary parts raised to a power of . To reduce the pairwise error probability, the Euclidean distance among the symbols should be increased. That is why the obtained constellation for high is a QAM-like modulation set. This is very clear in the case of , and the Euclidean distance among the symbols in the obtained constellation increases for for high .
- Figure 3 depicts the proposed constellation for and 64 with . The analysis given above for is still valid for . The only remarkable difference between the two scenarios is that as G increases, the shape of the proposed constellation converges to the standard QPSK more rapidly as a function of . This convergence tendency of the proposed constellation as a function of is due to the low weight associated with the distance-maximizing term as G increases.
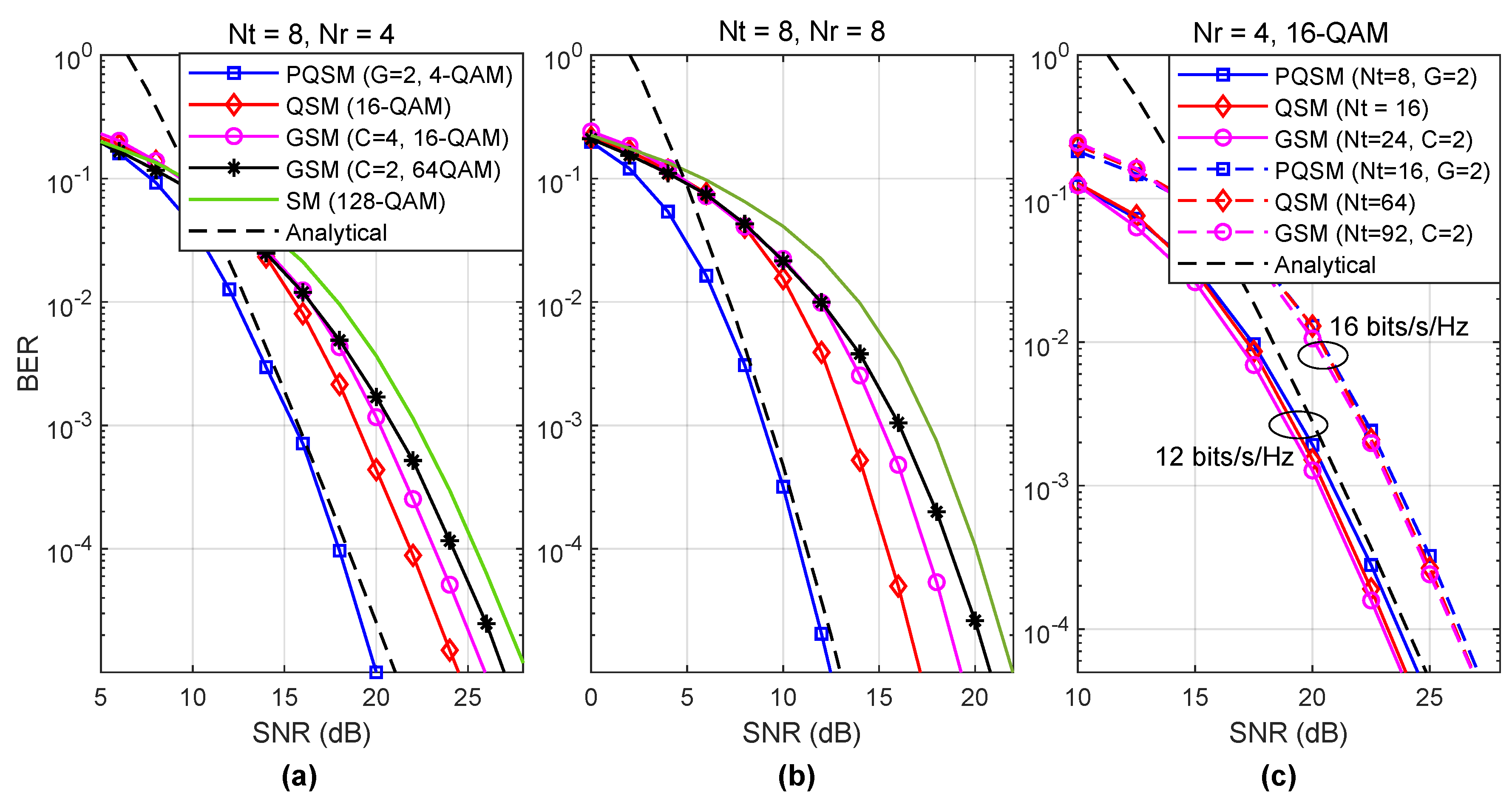
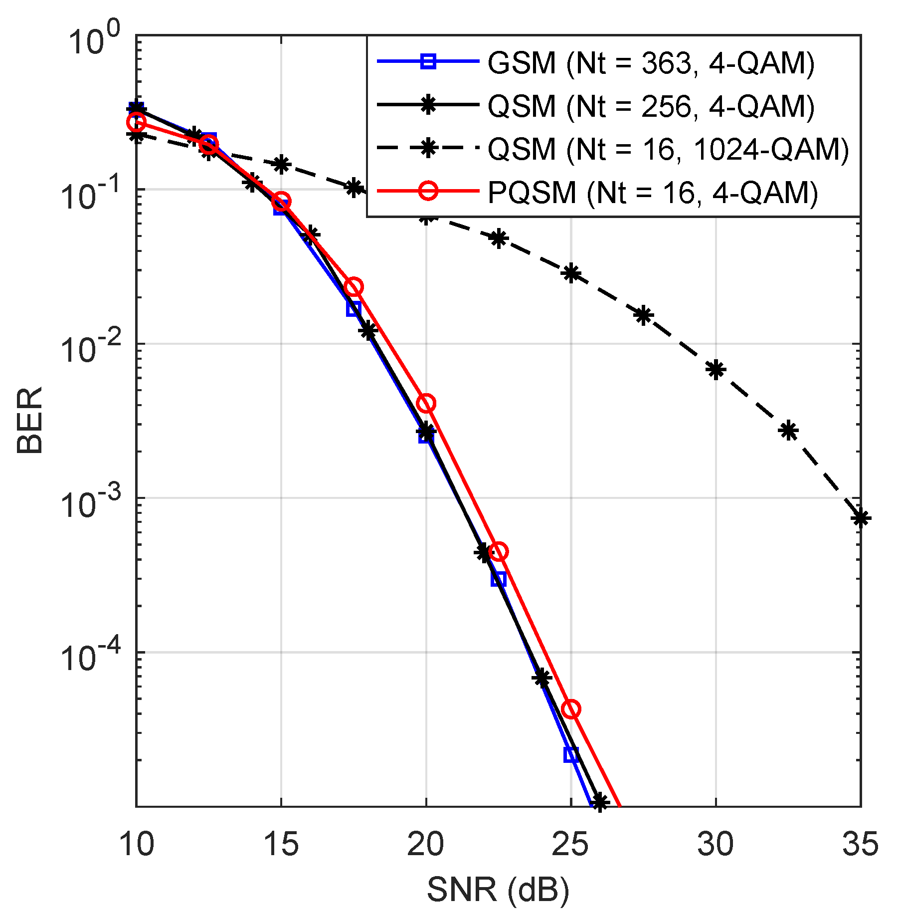
5. Simulation Results and Discussion
6. Conclusions
Author Contributions
Funding
Conflicts of Interest
References
- Saad, W.; Bennis, M.; Chen, M. A Vision of 6G Wireless Systems: Applications, Trends, Technologies, and Open Research Problems. IEEE Netw. 2020, 34, 134–142. [Google Scholar] [CrossRef]
- Wen, M.; Cheng, X.; Yang, L. Index Modulation for 5G Wireless Communications; Springer: Berlin/Heidelberg, Germany, 2017. [Google Scholar]
- Ishikawa, N.; Sugiura, S.; Hanzo, L. 50 Years of Permutation, Spatial and Index Modulation: From Classic RF to Visible Light Communications and Data Storage. IEEE Commun. Surv. Tutor. 2018, 20, 1905–1938. [Google Scholar] [CrossRef]
- Mesleh, R.Y.; Haas, H.; Sinanovic, S.; Ahn, C.W.; Yun, S. Spatial Modulation. IEEE Trans. Veh. Technol. 2008, 57, 2228–2241. [Google Scholar] [CrossRef]
- Younis, A.; Mesleh, R.; Renzo, M.D.; Haas, H. Generalised spatial modulation for large-scale MIMO. In Proceedings of the 2014 22nd European Signal Processing Conference (EUSIPCO), Lisbon, Portugal, 1–5 September 2014; pp. 346–350. [Google Scholar]
- Kaddoum, G.; Ahmed, M.F.A.; Nijsure, Y. Code Index Modulation: A High Data Rate and Energy Efficient Communication System. IEEE Commun. Lett. 2015, 19, 175–178. [Google Scholar] [CrossRef]
- Zhang, J.; Wang, Y.; Zhang, J.; Ding, L. Polarization Shift Keying (PolarSK): System Scheme and Performance Analysis. IEEE Trans. Veh. Technol. 2017, 66, 10139–10155. [Google Scholar] [CrossRef]
- Basar, E.; Aygölü, U.; Panayırcı, E.; Poor, H.V. Orthogonal Frequency Division Multiplexing With Index Modulation. IEEE Trans. Signal Process. 2013, 61, 5536–5549. [Google Scholar] [CrossRef]
- Wen, M.; Basar, E.; Li, Q.; Zheng, B.; Zhang, M. Multiple-Mode Orthogonal Frequency Division Multiplexing With Index Modulation. IEEE Trans. Commun. 2017, 65, 3892–3906. [Google Scholar] [CrossRef]
- Wen, M.; Li, Q.; Basar, E.; Zhang, W. Generalized Multiple-Mode OFDM With Index Modulation. IEEE Trans. Wirel. Commun. 2018, 17, 6531–6543. [Google Scholar] [CrossRef]
- Zhu, X.; Wang, Z.; Wang, Q.; Haas, H. Virtual Spatial Modulation for MIMO Systems. In Proceedings of the 2016 IEEE Global Communications Conference (GLOBECOM), Washington, DC, USA, 4–8 December 2016; pp. 1–6. [Google Scholar]
- Li, J.; Wen, M.; Zhang, M.; Cheng, X. Virtual Spatial Modulation. IEEE Access 2016, 4, 6929–6938. [Google Scholar] [CrossRef]
- Björnson, E.; Sanguinetti, L.; Wymeersch, H.; Hoydis, J.; Marzetta, T.L. Massive MIMO is a reality—What is next?: Five promising research directions for antenna arrays. Digit. Signal Process. 2019, 94, 3–20. [Google Scholar] [CrossRef]
- Yang, L. Transmitter Preprocessing Aided Spatial Modulation for Multiple-Input Multiple-Output Systems. In Proceedings of the 2011 IEEE 73rd Vehicular Technology Conference (VTC Spring), Budapest, Hungary, 15–18 May 2011; pp. 1–5. [Google Scholar]
- Zhang, R.; Yang, L.; Hanzo, L. Generalised Pre-Coding Aided Spatial Modulation. IEEE Trans. Wirel. Commun. 2013, 12, 5434–5443. [Google Scholar] [CrossRef]
- Mohaisen, M.; Pruks, V. Downlink macro-diversity precoding-aided spatial modulation. J. Commun. Netw. 2018, 20, 20–28. [Google Scholar]
- Mesleh, R.; Ikki, S.S.; Aggoune, H.M. Quadrature Spatial Modulation. IEEE Trans. Veh. Technol. 2015, 64, 2738–2742. [Google Scholar] [CrossRef]
- Mesleh, R.; Hiari, O.; Younis, A. Generalized space modulation techniques: Hardware design and considerations. Phys. Commun. 2018, 26, 87–95. [Google Scholar] [CrossRef]
- Li, J.; Wen, M.; Cheng, X.; Yan, Y.; Song, S.; Lee, M.H. Generalized Precoding-Aided Quadrature Spatial Modulation. IEEE Trans. Veh. Technol. 2017, 66, 1881–1886. [Google Scholar] [CrossRef]
- Wang, J.; Jia, S.; Song, J. Generalised Spatial Modulation System with Multiple Active Transmit Antennas and Low Complexity Detection Scheme. IEEE Trans. Wirel. Commun. 2012, 11, 1605–1615. [Google Scholar] [CrossRef]
- Murtala, S.; Holoubi, T.; Muchena, N.; Mohaisen, M.; Choi, K.S. On the Performance of the Multiple Active Antenna Spatial Modulation with 3-Dimensional Constellation. Appl. Sci. 2020, 10, 3718. [Google Scholar] [CrossRef]
- Yigit, Z.; Basar, E. Double spatial modulation: A high-rate index modulation scheme for MIMO systems. In Proceedings of the 2016 International Symposium on Wireless Communication Systems (ISWCS), Poznan, Poland, 20–23 September 2016; pp. 347–351. [Google Scholar]
- Mohaisen, M.; Lee, S. Complex quadrature spatial modulation. ETRI J. 2017, 39, 514–524. [Google Scholar] [CrossRef]
- Mohaisen, M. Increasing the minimum Euclidean distance of the complex quadrature spatial modulation. IET Commun. 2018, 12, 854–860. [Google Scholar] [CrossRef]
- Iqbal, A.; Mohaisen, M.; Kwak, K.S. Modulation set optimization for the improved complex quadrature SM. Wirel. Commun. Mob. Comput. 2018, 2018. [Google Scholar] [CrossRef]
- Mohaisen, M. Generalized complex quadrature spatial modulation. Wirel. Commun. Mob. Comput. 2019, 2019. [Google Scholar] [CrossRef]
- Vo, B.; Nguyen, H.H. Improved Quadrature Spatial Modulation. In Proceedings of the 2017 IEEE 86th Vehicular Technology Conference (VTC-Fall), Toronto, ON, Canada, 24–27 September 2017; pp. 1–5. [Google Scholar]
- Holoubi, T.; Murtala, S.; Muchena, N.; Mohaisen, M. On the performance of improved quadrature spatial modulation. ETRI J. 2020. [Google Scholar] [CrossRef]
- Cheng, C.; Sari, H.; Sezginer, S.; Su, Y.T. Enhanced Spatial Modulation With Multiple Signal Constellations. IEEE Trans. Commun. 2015, 63, 2237–2248. [Google Scholar] [CrossRef]
- Qu, W.; Zhang, M.; Cheng, X.; Ju, P. Generalized Spatial Modulation With Transmit Antenna Grouping for Massive MIMO. IEEE Access 2017, 5, 26798–26807. [Google Scholar] [CrossRef]
- Zuo, X.; Zhang, J.; Mu, X. Antenna grouping assisted spatial modulation for massive MIMO systems. In Proceedings of the 2017 9th International Conference on Wireless Communications and Signal Processing (WCSP), Nanjing, China, 11–13 October 2017; pp. 1–6. [Google Scholar]
- Xiao, L.; Xiao, Y.; Xu, C.; Lei, X.; Yang, P.; Li, S.; Hanzo, L. Compressed-Sensing Assisted Spatial Multiplexing Aided Spatial Modulation. IEEE Trans. Wirel. Commun. 2018, 17, 794–807. [Google Scholar] [CrossRef]
- Castillo-Soria, F.R.; Cortez-González, J.; Ramirez-Gutierrez, R.; Maciel-Barboza, F.M.; Soriano-Equigua, L. Generalized quadrature spatial modulation scheme using antenna grouping. ETRI J. 2017, 39, 707–717. [Google Scholar] [CrossRef]
- Castillo-Soria, F.R.; Cortez, J.; Gutierrez, C.A.; Luna-Rivera, M.; Garcia-Barrientos, A. Extended quadrature spatial modulation for MIMO wireless communications. Phys. Commun. 2019, 32, 88–95. [Google Scholar] [CrossRef]
- Ju, P.; Zhang, M.; Cheng, X.; Wang, C.; Yang, L. Generalized spatial modulation with transmit antenna grouping for correlated channels. In Proceedings of the 2016 IEEE International Conference on Communications (ICC), Kuala Lumpur, Malaysia, 22–27 May 2016; pp. 1–6. [Google Scholar]
- AbuTayeh, S.; Alsalahat, M.; Kaddumi, I.; Alqannas, Y.; Althunibat, S.; Mesleh, R. A half-full transmit-diversity spatial modulation scheme. In Proceedings of the International Conference on Broadband Communications, Networks and Systems, Faro, Portugal, 19–20 September 2018; pp. 257–266. [Google Scholar]
- Qu, W.; Zhang, M.; Cheng, X.; Ju, P. Generalized spatial modulation with transmit antenna grouping for massive MIMO. In Proceedings of the International Conference on Communications (ICC), Paris, France, 21–25 May 2017. [Google Scholar]
- Mohaisen, M. Constellation design and performance analysis of the parallel spatial modulation. Int. J. Commun. Syst. 2019, 32, e4165. [Google Scholar] [CrossRef]
- Oladoyinbo, S.; Pillay, N.; Xu, H. Single-Symbol Generalized Quadrature Spatial Modulation. In Proceedings of the Southern Africa Telecommunication Networks and Applications Conference (SATNAC), Hermanus, South Africa, 2–5 September 2018. [Google Scholar]
- Huang, G.; Li, C.; Aïssa, S.; Xia, M. Parallel Quadrature Spatial Modulation for Massive MIMO Systems With ICI Avoidance. IEEE Access 2019, 7, 154750–154760. [Google Scholar] [CrossRef]
- Simon, M.K.; Alouini, M.S. Digital Communication over Fading Channels; John Wiley & Sons: Hoboken, NJ, USA, 2005; Volume 95. [Google Scholar]
- Di Renzo, M.; Haas, H. Bit Error Probability of SM-MIMO Over Generalized Fading Channels. IEEE Trans. Veh. Technol. 2012, 61, 1124–1144. [Google Scholar] [CrossRef]
- Vo, B.T.; Nguyen, H.H.; Tuan, H.D. Constellation Design for Quadrature Spatial Modulation. In Proceedings of the 2017 IEEE 86th Vehicular Technology Conference (VTC-Fall), Toronto, ON, Canada, 24–27 September 2017; pp. 1–5. [Google Scholar]
- Liu, Y.; Zhang, M.; Wang, H.; Cheng, X. Spatial modulation orthogonal frequency division multiplexing with subcarrier index modulation for V2X communications. In Proceedings of the 2016 International Conference on Computing, Networking and Communications (ICNC), Kauai, HI, USA, 15–18 February 2016; pp. 1–5. [Google Scholar]







| f | ||
|---|---|---|
| 1 | ||
| 2 | ||
| 3 | ||
| 4 | ||
| 5 | 1 | |
| 6 | ||
| 7 | ||
| 8 | ||
| 9 | ||
| 10 | ||
| 11 | ||
| 12 | ||
| 13 | ||
| 14 | ||
| 15 | ||
| 16 | ||
| 17 | ||
| 18 | ||
| 19 | ||
| 20 | ||
| 21 | ||
| 22 | ||
| 23 | ||
| 24 | ||
| 25 |
© 2020 by the authors. Licensee MDPI, Basel, Switzerland. This article is an open access article distributed under the terms and conditions of the Creative Commons Attribution (CC BY) license (http://creativecommons.org/licenses/by/4.0/).
Share and Cite
Mohaisen, M.; Holoubi, T.; Abuhmed, T. Performance Analysis and Constellation Design for the Parallel Quadrature Spatial Modulation. Entropy 2020, 22, 841. https://doi.org/10.3390/e22080841
Mohaisen M, Holoubi T, Abuhmed T. Performance Analysis and Constellation Design for the Parallel Quadrature Spatial Modulation. Entropy. 2020; 22(8):841. https://doi.org/10.3390/e22080841
Chicago/Turabian StyleMohaisen, Manar, Tasnim Holoubi, and Tamer Abuhmed. 2020. "Performance Analysis and Constellation Design for the Parallel Quadrature Spatial Modulation" Entropy 22, no. 8: 841. https://doi.org/10.3390/e22080841
APA StyleMohaisen, M., Holoubi, T., & Abuhmed, T. (2020). Performance Analysis and Constellation Design for the Parallel Quadrature Spatial Modulation. Entropy, 22(8), 841. https://doi.org/10.3390/e22080841

