Postponing Distillability Sudden Death in a Correlated Dephasing Channel
Abstract
1. Introduction
2. Preliminaries
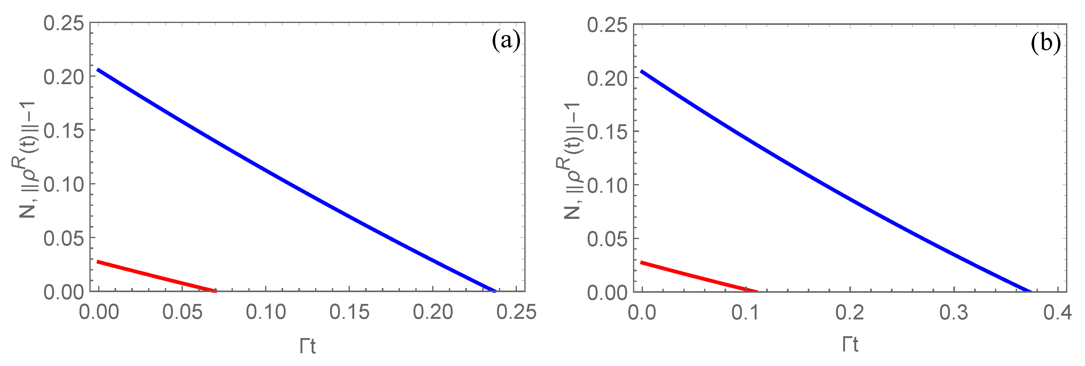
3. Postponing Distillability Sudden Death
4. Conclusions and Discussion
Author Contributions
Funding
Conflicts of Interest
References
- Yu, T.; Eberly, J.H. Finite-time disentanglement via spontaneous emission. Phys. Rev. Lett. 2004, 93, 140404. [Google Scholar] [CrossRef] [PubMed]
- Yu, T.; Eberly, J.H. Quantum open system theory: Bipartite aspects. Phys. Rev. Lett. 2006, 97, 140403. [Google Scholar] [CrossRef] [PubMed]
- Yu, T.; Eberly, J.H. The end of an entanglement. Science 2007, 316, 555. [Google Scholar] [CrossRef]
- Yu, T.; Eberly, J.H. Sudden death of entanglement. Science 2009, 323, 598. [Google Scholar] [CrossRef] [PubMed]
- Santos, M.F.; Milman, P.; Davidovich, L.; Zagury, N. Direct measurement of finite-time disentanglement induced by a reservoir. Phys. Rev. A 2006, 73, 040305. [Google Scholar] [CrossRef]
- Derkacz, L.; Jakóbczyk, L. Quantum interference and evolution of entanglement in a system of three-level atoms. Phys. Rev. A 2006, 74, 032313. [Google Scholar] [CrossRef]
- Lastra, F.; Romero, G.; Lopez, C.E.; França Santos, M.; Retamal, J.C. Abrupt changes in the dynamics of quantum disentanglement. Phys. Rev. A 2007, 75, 062324. [Google Scholar] [CrossRef]
- Lopez, C.E.; Romero, G.; Lastra, F.; Solano, E.; Retamal, J.C. Sudden birth versus sudden death of entanglement in multipartite systems. Phys. Rev. Lett. 2008, 101, 080503. [Google Scholar] [CrossRef]
- Aolita, L.; Chaves, R.; Cavalcanti, D.; Acín, A.; Davidovich, L. Scaling laws for the decay of multiqubit entanglement. Phys. Rev. Lett. 2008, 100, 080501. [Google Scholar] [CrossRef]
- Rau, A.R.P.; Ali, M.; Alber, G. Hastening, delaying, or averting sudden death of quantum entanglement. Europhys. Lett. 2008, 82, 40002. [Google Scholar] [CrossRef]
- Ali, M.; Alber, G.; Rau, A.R.P. Manipulating entanglement sudden death of two-qubit X-states in zero- and finite-temperature reservoirs. J. Phys. B 2009, 42, 025501. [Google Scholar] [CrossRef]
- Li, P.; Zhang, Q.; You, J.Q. Dividing two-qubit Hilbert space via abrupt and asymptotic disentanglement. Phys. Rev. A 2009, 79, 014303. [Google Scholar] [CrossRef]
- Li, Z.G.; Fei, S.M.; Wang, Z.D.; Liu, W.M. Evolution equation of entanglement for bipartite systems. Phys. Rev. A 2009, 79, 024303. [Google Scholar] [CrossRef]
- Zhang, J.S.; Xu, J.B. Controlling entanglement sudden death and birth in cavity QED. Optics Commun. 2009, 282, 3652. [Google Scholar] [CrossRef][Green Version]
- Goyal, S.K.; Ghosh, S. Quantum-to-classical transition and entanglement sudden death in Gaussian states under local-heat-bath dynamics. Phys. Rev. A 2010, 82, 042337. [Google Scholar] [CrossRef]
- Antonelli, C.; Shtaif, M.; Brodsky, M. Sudden death of entanglement induced by polarization mode dispersion. Phys. Rev. Lett. 2011, 106, 080404. [Google Scholar] [CrossRef] [PubMed]
- Zhang, J.S.; Chen, A.X.; Wu, K.H. Influence of the Stark shift on entanglement sudden death and birth in cavity QED. Chin. Phys. Lett. 2011, 28, 010301. [Google Scholar] [CrossRef]
- Knoll, L.T.; Schmiegelow, C.T.; Farias, O.J.; Walborn, S.P.; Larotonda, M.A. Entanglement-breaking channels and entanglement sudden death. Phys. Rev. A 2016, 94, 012345. [Google Scholar] [CrossRef]
- Shaukat, M.I.; Castro, E.V.; Tercas, H. Entanglement sudden death and revival in quantum dark-soliton qubits. Phys. Rev. A 2018, 98, 022319. [Google Scholar] [CrossRef]
- Wang, F.; Hou, P.Y.; Huang, X.Y.; Zhang, W.G.; Ouyang, X.L.; Wang, X.; Huang, X.Z.; Zhang, H.L.; He, L.; Chang, X.Y.; et al. Observation of entanglement sudden death and rebirth by controlling a solid-state spin bath. Phys. Rev. B 2018, 98, 064306. [Google Scholar] [CrossRef]
- Almeida, M.P.; de Melo, F.; Hor-Meyll, M.; Salles, A.; Walborn, S.P.; Souto Ribeiro, P.H.; Davidovich, L. Environment-induced sudden death of entanglement. Science 2007, 316, 579. [Google Scholar] [CrossRef]
- Salles, A.; de Melo, F.; Almeida, M.P.; Hor-Meyll, M.; Walborn, S.P.; SoutoRibeiro, P.H.; Davidovich, L. Experimental investigation of the dynamics of entanglement: Sudden death, complementarity, and continuous monitoring of the environment. Phys. Rev. A 2008, 78, 022322. [Google Scholar] [CrossRef]
- Laurat, J.; Choi, K.S.; Deng, H.; Chou, C.W.; Kimble, H.J. Heralded entanglement between atomic ensembles: Preparation, decoherence, and scaling. Phys. Rev. Lett. 2007, 99, 180504. [Google Scholar] [CrossRef] [PubMed]
- Lim, H.T.; Lee, J.C.; Hong, K.H.; Kim, Y.H. Avoiding entanglement sudden death using single-qubit quantum measurement reversal. Optics Exp. 2014, 22, 19055. [Google Scholar] [CrossRef] [PubMed]
- Qiu, L.; Liu, Z.; Wang, X. Environment-assisted entanglement purification. Quantum Inf. Comput. 2016, 16, 0982. [Google Scholar] [CrossRef]
- Zhang, J.S.; Liu, F.; Chen, A.X. Controlling collapse and revival of multipartite entanglement under decoherence via classical driving fields. Int. J. Theor. Phys. 2016, 55, 4016. [Google Scholar] [CrossRef]
- Zhang, J.S.; Chen, A.X. Enhancement of genuine multipartite entanglement and purity of three qubits under decoherence via bang-bang pulses with finite period. Quantum Inf. Process. 2016, 15, 3257. [Google Scholar] [CrossRef]
- Chakraborty, S.; Sarma, A.K. Delayed sudden death of entanglement at exceptional points. Phys. Rev. A 2019, 100, 063846. [Google Scholar] [CrossRef]
- Horodecki, M.; Horodecki, P.; Horodecki, R. Mixed-state entanglement and distillation: Is there a “bound” entanglement in nature? Phys. Rev. Lett. 1998, 80, 5239–5242. [Google Scholar] [CrossRef]
- Horodecki, R.; Horodecki, P.; Horodecki, M.; Horodecki, K. Quantum entanglement. Rev. Mod. Phys. 2009, 81, 865. [Google Scholar] [CrossRef]
- Horodecki, P.; Horodecki, M.; Horodecki, R. Bound entanglement can be activated. Phys. Rev. Lett. 1999, 82, 1056–1059. [Google Scholar] [CrossRef]
- Song, W.; Chen, L.; Zhu, S.L. Sudden death of distillability in qutrit-qutrit systems. Phys. Rev. A 2009, 80, 012331. [Google Scholar] [CrossRef]
- Ali, M. Distillability sudden death in qutrit–qutrit systems under amplitude damping. J. Phys. B 2010, 43, 045504. [Google Scholar] [CrossRef]
- Ali, M. Distillability sudden death in qutrit-qutrit systems under global and multilocal dephasing. Phys. Rev. A 2010, 81, 042303. [Google Scholar] [CrossRef]
- Hu, M.; Zhou, W. Enhancing two-qubit quantum coherence in a correlated dephasing channel. Laser Phys. Lett. 2019, 16, 045201. [Google Scholar] [CrossRef]
- Hu, M.; Wang, H. Protecting quantum Fisher information in correlated quantum channels. Ann. Phys. 2020, 532, 1900378. [Google Scholar] [CrossRef]
- Karpat, G. Entropic uncertainty relation under correlated dephasing channels. Can. J. Phys. 2018, 96, 700–704. [Google Scholar] [CrossRef]
- Mair, A.; Vaziri, A.; Weihs, G.; Zeilinger, A. Entanglement of the orbital angular momentum states of photons. Nature 2001, 412, 313–316. [Google Scholar] [CrossRef]
- Molina-Terriza, G.; Vaziri, A.; Ursin, R.; Zeilinger, A. Experimental quantum coin tossing. Phys. Rev. Lett. 2005, 94, 040501. [Google Scholar] [CrossRef]
- Inoue, R.; Yonehara, T.; Miyamoto, Y.; Koashi, M.; Kozuma, M. Measuring qutrit-qutrit entanglement of orbital angular momentum states of an atomic ensemble and a photon. Phys. Rev. Lett. 2009, 103, 110503. [Google Scholar] [CrossRef] [PubMed]
- Lanyon, B.P.; Weinhold, T.J.; Langford, N.K.; ÓBrien, J.L.; Resch, K.J.; Gilchrist, A.; White, A.G. Manipulating biphotonic qutrits. Phys. Rev. Lett. 2008, 100, 060504. [Google Scholar] [CrossRef] [PubMed]
- Walborn, S.P.; Lemelle, D.S.; Almeida, M.P.; Souto Ribeiro, P.H. Quantum key distribution with higher-order alphabets using spatially encoded qudits. Phys. Rev. Lett. 2006, 96, 090501. [Google Scholar] [CrossRef]
- Daboul, J.; Wang, X.G.; Sanders, B.C. Quantum gates on hybrid qudits. J. Phys. A: Math. Gen. 2003, 36, 2525–2536. [Google Scholar] [CrossRef]
- Xiao, X.; Li, Y.L. Protecting qutrit-qutrit entanglement by weak measurement and reversal. Eur. Phys. J. D 2013, 67, 204. [Google Scholar] [CrossRef]
- Wang, M.J.; Xia, Y. Protecting qutrit-qutrit entanglement under the generalized amplitude decoherence of the finite temperature. Int. J. Theor. Phys. 2019, 58, 2033–2042. [Google Scholar] [CrossRef]
- Qiu, L.; Liu, Z.; Pan, F. Entanglement purification of noisy two-qutrit states via environment measurement. Int. J. Theor. Phys. 2018, 57, 301–310. [Google Scholar] [CrossRef]
- Chen, K.; Wu, L.A. A matrix realignment method for recognizing entanglement. Quantum Inf. Comput. 2003, 3, 193–202. [Google Scholar] [CrossRef]
- Rudolph, O. Further results on the cross norm criterion for separability. Quantum Inf. Process. 2005, 4, 219–239. [Google Scholar] [CrossRef]
- Vidal, G.; Werner, R.F. Computable measure of entanglement. Phys. Rev. A 2002, 65, 032314. [Google Scholar] [CrossRef]
- Macchiavello, C.; Palma, G.M. Entanglement-enhanced information transmission over a quantum channel with correlated noise. Phys. Rev. A 2002, 65, 050301. [Google Scholar] [CrossRef]
- Daems, D. Entanglement-enhanced transmission of classical information in Pauli channels with memory: Exact solution. Phys. Rev. A 2007, 76, 012310. [Google Scholar] [CrossRef]
- Addis, C.; Karpat, G.; Macchiavello, C.; Maniscalco, S. Dynamical memory effects in correlated quantum channels. Phys. Rev. A 2016, 94, 032121. [Google Scholar] [CrossRef]
- Zhang, J.S.; Chen, A.X.; Abdel-Aty, M. Two atoms in dissipative cavities in dispersive limit: Entanglement sudden death and long-lived entanglement. J. Phys. B At. Mol. Opt. Phys. 2010, 43, 025501. [Google Scholar] [CrossRef]
- Zhang, J.S.; Chen, L.; Abdel-Aty, M.; Chen, A.X. Sudden death and robustness of quantum correlations in the weak- or strong-coupling regime. Eur. Phys. J. D 2012, 66, 2. [Google Scholar] [CrossRef]



© 2020 by the authors. Licensee MDPI, Basel, Switzerland. This article is an open access article distributed under the terms and conditions of the Creative Commons Attribution (CC BY) license (http://creativecommons.org/licenses/by/4.0/).
Share and Cite
Xue, G.; Qiu, L. Postponing Distillability Sudden Death in a Correlated Dephasing Channel. Entropy 2020, 22, 827. https://doi.org/10.3390/e22080827
Xue G, Qiu L. Postponing Distillability Sudden Death in a Correlated Dephasing Channel. Entropy. 2020; 22(8):827. https://doi.org/10.3390/e22080827
Chicago/Turabian StyleXue, Guanghao, and Liang Qiu. 2020. "Postponing Distillability Sudden Death in a Correlated Dephasing Channel" Entropy 22, no. 8: 827. https://doi.org/10.3390/e22080827
APA StyleXue, G., & Qiu, L. (2020). Postponing Distillability Sudden Death in a Correlated Dephasing Channel. Entropy, 22(8), 827. https://doi.org/10.3390/e22080827
