A Protocol Design Paradigm for Batched Sparse Codes
Abstract
:1. Introduction
1.1. Issues of Traditional Approaches for Wireless Networks
1.2. Network Coding Based Approaches
1.3. Our Contributions
- The packet structure that includes the necessary information passing to support BATS code recoding and decoding.
- The BATS protocol modules at the source, intermediate and destination nodes for BATS code encoding, recoding and decoding.
- use burst loss handling techniques like interleaving to preserve the advantage of BATS codes.
- the reduction of the computational cost at the intermediate nodes by supporting a smaller finite field for recoding;
- the application of causal recoding which generates real-time partially recoded packets; and
- the transformation of a packet loss model to suit the unified framework for adaptive recoding schemes.
1.4. Organization of the Paper
2. BATS Codes
2.1. Base Field and Recoding Field
2.2. Encoding
- Sample a batch degree and batch size from the batch degree and batch size joint distribution with probability .
- Pick packets from all the K input packets uniformly and juxtapose them into a matrix .
- The i-th batch is generated bywhere the batch generator matrix is a totally random matrix over the base field.
2.3. Decoding
2.4. Ranks of Batches
3. Recoding Schemes
- How to generate the recoded packets?
- How many recoded packets should be generated?
- How to transmit the recoded packets?
3.1. Baseline Recoding
3.2. Adaptive Recoding
3.3. Systematic Recoding
3.4. Causal Recoding
4. BATS Protocol Modules
4.1. Batch Stream and Interleaver
4.2. Encoding Module
4.3. Decoding Module
4.4. Batch Forwarding Module
4.4.1. Input Stream Management Unit (ISMU)
- recognize different batch streams from the incoming packets;
- identify batches for which all receivable packets have been received;
- handle broken batch streams; and
- handle out-of-order packets.
- The BATS packets of a batch have to include the identification of the previous batch in the same batch stream, which should be done by the OSMU at the previous node.
- For a BATS packet where its previous batch is not in the reconstructed batch streams, the batch the packet belongs to is added to a new batch stream.
- A timeout is set so that a batch stream without any further BATS packets received within a certain period is marked as broken, and such a broken batch stream will be removed shortly.
- Dummy packets can be transmitted before the removal of a batch stream at the previous node so that the current node can mark a batch stream as broken before the timeout.
- if the BATS packet is a dummy packet, then the corresponding batch stream is marked as broken and removed from the mapping; else
- if the identification of the batch is mapped to a batch stream, then the BATS packet is a newly received packet of the corresponding batch stream; else
- if the identification of the previous batch is mapped to a batch stream, then the batch the BATS packet belongs to is concatenated to that batch stream and the identification of the batch is mapped to that batch stream; otherwise
- a new batch stream is added for the batch.
4.4.2. Batch Buffer
- groups the packets according to the identifications of the batches they belong to;
- requests recoded packets from the recoding unit and outputs them when requested by the OSMU(s); and
- records statistical data for each batch, such as the rank, the number of received packets, the number of BATS packets queried by the OSMU(s), the arrival timestamp, and so forth.
- the finished flag: this flag is marked by the ISMU after it has confirmed that all the receivable packets of this batch are received, so the recoded packets generated for this batch after the finished flag is marked are non-causally recoded packets;
- the active flag: this flag is marked by the OSMU, which means that some BATS packets of this batch have already been assigned to some output batch streams, that is, those BATS packets have already been transmitted or pending to be transmitted; and
- the recoded flag: this flag is marked by the recoding unit after a sufficient number of non-causally recoded packets have been generated for this batch, so that this batch can be removed from the batch buffer after a timeout which starts after all the recoded packets of this batch have been transmitted.
- outputs a recoded packet in its storage if there is any; otherwise
- requests a recoding packet from the recoding unit and outputs it.
4.4.3. Recoding Unit
- the generation of recoded packets; and
- the calculation of the number of recoded packets to be generated for the batches.
- if the recoded flag is marked, then output nothing; else
- if systematic recoding is enabled and there are received BATS packets in the batch buffer not previously output as a systematically recoded packet, then output one such packet; else
- if the finished flag is marked, then generate a recoded packet by RLNC; else
- if causal recoding is enabled, then generate a causally recoded packets by RLNC; else
- output nothing.
4.4.4. Output Stream Management Unit (OSMU)
- assign batches in the batch buffer to construct batch streams;
- transmit the BATS packets in the batch streams in a specific order; and
- request recoded packets from the batch buffer.
- if the corresponding batch is marked as recoded, then it means that the OSMU has to select another batch for this batch stream; otherwise
- the batch buffer is waiting for more BATS packets of this batch.
- trigger the aforementioned procedure to select a new batch and transmit its BATS packets, and transmit the out-of-order BATS packets of the original batch later;
- transmit a BATS packet of a batch in another stream;
- give up the chance to transmit a BATS packet.
4.5. Trivial Example on Assembling the Modules
5. BATS Packet Design
5.1. Packet Flow
- supports the role(s) of source, destination and/or intermediate node;
- works in conjunction with normal traffic; and
- has a choice of applying forwarding instead of recoding.
5.1.1. Transport Layer
5.1.2. Application Layer
5.2. Packet Design
- the sizes and the irreducible polynomials of the base and recoding fields for the finite field arithmetic;
- the length of the raw packets;
- a unique identification to distinguish which batch the raw packets belong to;
- the generator matrices of the batches;
- the (ordered) index sets of the input packets involved to form the batches;
- the batch transfer matrices; and
- the size of the input data.
- 8.
- the identification of the previous batch in the same batch stream.
5.2.1. BATS-Pro1 Packets
- the batch size of all batches are fixed and known by the encoder, recoders and decoder; and
- both the encoder and decoder know the size of the input data and the degree distribution.
- the generator matrix is a totally random matrix over the base field;
- the size of the index set is the degree of the batch which is sampled from the degree distribution; and
- the elements in the index set are randomly chosen.
5.2.2. General Packet Design
- different field sizes used by different BATS codes;
- different sizes of input data;
- different batch sizes for different batches;
- different degree distributions applied to suit the channel conditions of different paths;
- more than one information source at a source node; and
- more than one source node.
- use a counter or random number generator to assign a number to different information sources; or
- use a random source port number if the BATS protocol is carried by UDP; or
- use a cryptographic hash function on the input data of the information source.
- the identification of the batch the BATS packet belongs to, where part of this identification can be used as a seed for a PRNG to regenerate the necessary parameters at the decoder;
- the identification of the previous batch in the same batch stream, which can be used to distinguish different batches of different information sources from different source nodes;
- the batch specific information, like the field sizes, the batch size, the size of the input data or the number of input packets, the degree distributions, and so forth;
- the coefficient vector for the payload, which records the network coding operations; and
- the payload, which is the body of the BATS data, that is, a linearly transformed raw packet.
5.2.3. Initialization of Coefficient Vectors
5.2.4. First Packet of a Batch Stream and Dummy Packets
6. Application Examples
6.1. Relay Network
6.2. Internet Sharing
- the batch forwarding module if the on-site node is not the destination of the packet; and/or
- the decoding module if the destination of the packet is the on-site node.
- the packet is a broadcast packet; or
- the packet is a multicast packet and the on-site node is one of the multicast targets.
- if the destination is an on-site node which has a direct wired connection to node d, then the packet is forwarded to that on-site node without applying BATS codes; otherwise
- the traffic is passed to the corresponding encoding module for that node to apply BATS codes.
- if the packet is a BATS packet, that is, it is from an on-site node without direct wired connection to node d, then it is passed to a decoding module which may have multiple BATS decoders in it; otherwise
- the packet is forwarded to the Internet directly.
6.3. Wireless Mesh Network
6.4. Network Address Translation for Captured Traffic
7. Performance Evaluation
7.1. Suggestions on the Choice of Parameters
7.2. Throughput
7.3. Latency Ratio
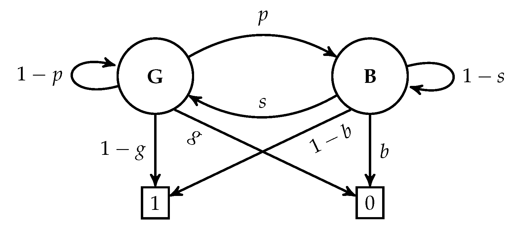
7.4. Simplified Gilbert Model
7.5. Interleaver Depth
7.6. Simulation
- All nodes use adaptive recoding and transmit causally recoded packets when there is an idle time slot;
- All nodes use baseline recoding and transmit causally recoded packets when there is an idle time slot;
- All nodes use adaptive recoding but not causal recoding;
- All nodes use baseline recoding but not causal recoding.
- Interleaved BATS-pro1: a benchmark of using BATS codes.
- End-to-end retransmission with instantaneous and reliable feedback: a lower bound for the protocols which use end-to-end-retransmission. This bound is also true for fountain codes without feedback.
- Link-by-link retransmission with instantaneous and reliable feedback: an ideal capacity achieving scheme which consumes high bandwidth for feedback.
7.6.1. Throughput
- A larger batch size can result in a higher normalized throughput.
- The throughput of BATS codes can be boosted dramatically with the help of interleavers.
- When the interleaver depth is larger, the throughput is also higher.
- Transmitting a causally recoded packet when there is an idle time slot has little impact on the throughput. The difference is noticeable only when the batch size and the number of hops become large.
7.6.2. Latency Ratio
- The latency ratio of the end-to-end retransmission scheme is rocketing when the number of hops increases. We can see that it is not practical to use end-to-end retransmission schemes in multi-hop wireless networks.
- Although comparing with the end-to-end retransmission scheme, BATS codes without interleavers have a much better performance, the latency ratio is still increasing too fast in multi-hop wireless networks.
- The latency ratio when using is lower than that when using . We can further compare with the one without interleavers, which has a significantly worse performance. This verifies the detrimental performance implication due to burst loss on BATS codes as suggested in Reference [41].
- The transmission of causally recoded packets when there is an idle time slot can lower the latency ratio. This is because these causally recoded packets have a chance to secure some ranks of the batches at the next node.
- Adaptive recoding achieves a lower latency ratio than baseline recoding, as the throughput of adaptive recoding is higher than the one of baseline recoding.
- BATS-pro1 has a higher latency ratio than its corresponding scheme using the interleaver proposed in this paper with systematic recoding. This is an expected result as we have to transmit fewer (non-systematically) recoded packets after all receivable packets of a batch are received. The gap between the latency ratios is more significant when batch size is larger. This suggests that systematic recoding has a greater benefit when the batch size is larger.
- The latency ratio is larger when the batch size is smaller, as BATS codes have a lower throughput for smaller batch size. Also, we can see that when there is no interleaver, a larger batch size has a better resistance against performance degradation due to burst loss than a smaller batch size.
8. Conclusions
9. Patents
Author Contributions
Funding
Conflicts of Interest
Abbreviations
| BATS codes | Batched sparse codes |
| IoT | Internet of things |
| VANET | Vehicular ad hoc network |
| RSU | Road side unit |
| RLNC | Random linear network codes/random linear network coding |
| BNC | Batched network coding |
| LT codes | Luby transform codes |
| FUN codes | Joint fountain coding and network codes |
| CPU | Central processing unit |
| SIMD | Single instruction, multiple data |
| SSSE3 | Supplemental Streaming SIMD Extensions 3 |
| BP | Belief propagation |
| i.i.d. | Independent and identically distributed |
| NP | Non-deterministic polynomial-time |
| ident. | Identification |
| prev. | Previous |
| info. | Information |
| NUM | Network utility maximization |
| ISMU | Input stream management unit |
| OSMU | Output stream management unit |
| NIC | Network interface card |
| MAC | Medium access control |
| IP | Internet protocol |
| ICMP | Internet control message protocol |
| UDP | User datagram protocol |
| TCP | Transmission control protocol |
| ATCP | Ad hoc TCP |
| FASP | Fast adaptive and secure protocol |
| mDNS | Multicast domain name system |
| NTP | Network time protocol |
| L2TP | Layer 2 tunneling protocol |
| STP | Spanning tree protocol |
| OSPF | Open shortest path first |
| RIP | Routing information protocol |
| B.A.T.M.A.N. | Better approach to mobile adhoc networking |
| NAT | Network address translator/network address translation |
| PRNG | Pseudorandom number generator |
| ABEL | Average burst error length |
| AP | Access point |
| MTU | Maximum transmission unit |
| ACK | Acknowledgement |
Appendix A. Proper Recoding
- If and , then both batches have the same rank distribution at the next network node;
- If and , then the first batch potentially has a higher rank at the next network node; and
- If and , then the first batch potentially has a higher rank at the next network node.
Appendix B. Expected Rank Functions
- the next node must receive no packet if no packet is transmitted, that is, the expected rank is 0; and
- the linear combinations of r independent vectors cannot result in more than r independent vectors.
- is finite and ; or
- and .
- is finite and ; or
- and ,


Appendix C. Global Asymptotic Stability of Dual-Based Solver for Adaptive Recoding Schemes
- Given , find a value of for each r satisfying
- From the obtained in the first step, adjust the Lagrange multiplier by a subgradient searching method, that is,where is the step size in the k-th iteration.

- for , the equality holds if and only if is optimal;
- for , the equality holds if and only if is optimal; and
- the radial unboundedness condition holds, that is, .
- If is not an integer, then there is a unique optimal solution . So the integral if and only if is optimal.
- If is an integer, then there exists an interval such that, if , then falls in that interval. That is, if and only if .

References
- Li, S.Y.R.; Yeung, R.W.; Cai, N. Linear Network Coding. IEEE Trans. Inf. Theory 2003, 49, 371–381. [Google Scholar] [CrossRef] [Green Version]
- Ahlswede, R.; Cai, N.; Li, S.Y.R.; Yeung, R.W. Network Information Flow. IEEE Trans. Inf. Theory 2000, 46, 1204–1216. [Google Scholar] [CrossRef]
- Yang, S.; Yeung, R.W. Batched Sparse Codes. IEEE Trans. Inf. Theory 2014, 60, 5322–5346. [Google Scholar] [CrossRef]
- Yang, S.; Yeung, R.W. Coding for a Network Coded Fountain. In Proceedings of the 2011 IEEE International Symposium on Information Theory (ISIT), St. Petersburg, Russia, 31 July–5 August 2011; pp. 2647–2651. [Google Scholar]
- Yang, S.; Yeung, R.W. BATS Codes: Theory and Practice; Synthesis Lectures on Communication Networks; Morgan & Claypool Publishers: Williston, VT, USA, 2017. [Google Scholar]
- Breidenthal, J.C. The Merits of Multi-Hop Communication in Deep Space. In Proceedings of the 2000 IEEE Aerospace Conference, Big Sky, MT, USA, 25 March 2000; Volume 1, pp. 211–222. [Google Scholar]
- Sozer, E.M.; Stojanovic, M.; Proakis, J.G. Underwater Acoustic Networks. IEEE J. Ocean. Eng. 2000, 25, 72–83. [Google Scholar] [CrossRef]
- Yick, J.; Mukherjee, B.; Ghosal, D. Wireless Sensor Network Survey. Comput. Netw. 2008, 52, 2292–2330. [Google Scholar] [CrossRef]
- Akyildiz, I.F.; Wang, X.; Wang, W. Wireless Mesh Networks: A Survey. Comput. Netw. 2005, 47, 445–487. [Google Scholar] [CrossRef]
- Brik, V.; Mishra, A.; Banerjee, S. Eliminating Handoff Latencies in 802.11 WLANs using Multiple Radios: Applications, Experience, and Evaluation. In Proceedings of the 5th ACM SIGCOMM Conference on Internet Measurement, Berkeley, CA, USA, 19–21 October 2005; p. 27. [Google Scholar]
- Hartenstein, H.; Laberteaux, K. VANET: Vehicular Applications and Inter-Networking Technologies; John Wiley & Sons: Hoboken, NJ, USA, 2009; Volume 1. [Google Scholar]
- Zhang, M.; Wolff, R.S. Crossing the Digital Divide: Cost-Effective Broadband Wireless Access for Rural and Remote Areas. IEEE Commun. Mag. 2004, 42, 99–105. [Google Scholar] [CrossRef]
- Shakkottai, S.; Rappaport, T.S.; Karlsson, P.C. Cross-Layer Design for Wireless Networks. IEEE Commun. Mag. 2003, 41, 74–80. [Google Scholar] [CrossRef] [Green Version]
- Liu, J.; Singh, S. ATCP: TCP for Mobile Ad Hoc Networks. IEEE J. Sel. Areas Commun. 2001, 19, 1300–1315. [Google Scholar] [CrossRef]
- Xu, Y.; Munson, M.C.; Simu, S. Method and System for Aggregate Bandwidth Control. U.S. Patent 9,667,545, 30 May 2017. [Google Scholar]
- Luby, M. LT Codes. In Proceedings of the 43rd Annual IEEE Symposium on Foundations of Computer Science, Vancouver, BC, Canada, 19 November 2002; pp. 271–282. [Google Scholar]
- Ho, T.; Koetter, R.; Médard, M.; Karger, D.R.; Effros, M. The Benefits of Coding over Routing in a Randomized Setting. In Proceedings of the 2003 IEEE International Symposium on Information Theory (ISIT), Yokohama, Japan, 29 June–4 July 2003; p. 442. [Google Scholar]
- Ho, T.; Médard, M.; Koetter, R.; Karger, D.R.; Effros, M.; Shi, J.; Leong, B. A Random Linear Network Coding Approach to Multicast. IEEE Trans. Inf. Theory 2006, 52, 4413–4430. [Google Scholar] [CrossRef] [Green Version]
- Chou, P.A.; Wu, Y.; Jain, K. Practical Network Coding. In Proceedings of the Annual Allerton Conference on Communication Control and Computing, Monticello, IL, USA, 1–3 October 2003; Volume 41, pp. 40–49. [Google Scholar]
- Jaggi, S.; Chou, P.A.; Jain, K. Low Complexity Optimal Algebraic Multicast Codes. In Proceedings of the 2003 IEEE International Symposium on Information Theory (ISIT), Yokohama, Japan, 29 June–4 July 2003; p. 368. [Google Scholar]
- Sanders, P.; Egner, S.; Tolhuizen, L. Polynomial Time Algorithms for Network Information Flow. In Proceedings of the Fifteenth Annual ACM Symposium on Parallel Algorithms and Architectures, San Diego, CA, USA, 7–9 June 2003; pp. 286–294. [Google Scholar]
- Shokrollahi, A. Raptor Codes. IEEE Trans. Inf. Theory 2006, 52, 2551–2567. [Google Scholar] [CrossRef]
- Shokrollahi, A.; Luby, M. Raptor Codes. Found. Trends Commun. Inf. Theory 2011, 6, 213–322. [Google Scholar] [CrossRef]
- Maymounkov, P. Online Codes; Technical Report; New York University: New York, NY, USA, 2002. [Google Scholar]
- Lun, D.S.; Médard, M.; Koetter, R.; Effros, M. On Coding for Reliable Communication over Packet Networks. Phys. Commun. 2008, 1, 3–20. [Google Scholar] [CrossRef] [Green Version]
- Wu, Y. A Trellis Connectivity Analysis of Random Linear Network Coding with Buffering. In Proceedings of the 2006 IEEE International Symposium on Information Theory (ISIT), Seattle, WA, USA, 9–14 July 2006; pp. 768–772. [Google Scholar]
- Dana, A.F.; Gowaikar, R.; Palanki, R.; Hassibi, B.; Effros, M. Capacity of Wireless Erasure Networks. IEEE Trans. Inf. Theory 2006, 52, 789–804. [Google Scholar] [CrossRef] [Green Version]
- Heidarzadeh, A.; Banihashemi, A.H. Overlapped Chunked Network Coding. In Proceedings of the 2010 IEEE Information Theory Workshop on Information Theory (ITW), Cairo, Egypt, 6–8 January 2010; pp. 1–5. [Google Scholar]
- Silva, D.; Zeng, W.; Kschischang, F.R. Sparse Network Coding with Overlapping Classes. In Proceedings of the 2009 Workshop on Network Coding, Theory, and Applications, Lausanne, Switzerland, 15–16 June 2009; pp. 74–79. [Google Scholar]
- Tang, B.; Yang, S.; Ye, B.; Guo, S.; Lu, S. Near-Optimal One-Sided Scheduling for Coded Segmented Network Coding. IEEE Trans. Comput. 2016, 65, 929–939. [Google Scholar] [CrossRef]
- Gkantsidis, C.; Rodriguez, P. Network Coding for Large Scale Content Distribution. In Proceedings of the IEEE 24th Annual Joint Conference of the IEEE Computer and Communications Societies, Miami, FL, USA, 13–17 March 2005; Volume 4, pp. 2235–2245. [Google Scholar]
- Li, Y.; Soljanin, E.; Spasojevic, P. Effects of the Generation Size and Overlap on Throughput and Complexity in Randomized Linear Network Coding. IEEE Trans. Inf. Theory 2011, 57, 1111–1123. [Google Scholar] [CrossRef] [Green Version]
- Tang, B.; Yang, S.; Yin, Y.; Ye, B.; Lu, S. Expander Graph Based Overlapped Chunked Codes. In Proceedings of the 2012 IEEE International Symposium on Information Theory (ISIT), Cambridge, MA, USA, 1–6 July 2012; pp. 2451–2455. [Google Scholar]
- Mahdaviani, K.; Ardakani, M.; Bagheri, H.; Tellambura, C. Gamma Codes: A Low-Overhead Linear-Complexity Network Coding Solution. In Proceedings of the 2012 International Symposium on Network Coding (NetCod), Cambridge, MA, USA, 29–30 June 2012; pp. 125–130. [Google Scholar]
- Yang, S.; Tang, B. From LDPC to Chunked Network Codes. In Proceedings of the 2014 IEEE Information Theory Workshop (ITW), Hobart, TAS, Australia, 2–5 November 2014; pp. 406–410. [Google Scholar]
- Tang, B.; Yang, S. An LDPC Approach for Chunked Network Codes. IEEE/ACM Trans. Netw. 2018, 26, 605–617. [Google Scholar] [CrossRef]
- Pedersen, M.V.; Heide, J.; Fitzek, F.H.P. Kodo: An Open and Research Oriented Network Coding Library. In Proceedings of the NETWORKING 2011: NETWORKING 2011 Workshops, Valencia, Spain, 13 May 2011; pp. 145–152. [Google Scholar]
- Sundararajan, J.K.; Shah, D.; Médard, M.; Jakubczak, S.; Mitzenmacher, M.; Barros, J. Network Coding Meets TCP: Theory and Implementation. Proc. IEEE 2011, 99, 490–512. [Google Scholar] [CrossRef] [Green Version]
- Khamfroush, H.; Pahlevani, P.; Lucani, D.E.; Hundebøll, M.; Fitzek, F.H. On the Coded Packet Relay Network in the Presence of Neighbors: Benefits of Speaking in a Crowded Room. In Proceedings of the 2014 IEEE International Conference on Communications (ICC), Sydney, NSW, Australia, 10–14 June 2014; pp. 1928–1933. [Google Scholar]
- Hundeboll, M.; Pahlevani, P.; Lucani, D.E.; Fitzek, F.H. Throughput vs. Delay in Lossy Wireless Mesh Networks with Random Linear Network Coding. In Proceedings of the European Wireless 2014; 20th European Wireless Conference, Barcelona, Spain, 14–16 May 2014; pp. 1–6. [Google Scholar]
- Yang, S.; Yeung, R.W.; Cheung, J.H.F.; Yin, H.H.F. BATS: Network Coding in Action. In Proceedings of the 2014 52nd Annual Allerton Conference on Communication, Control, and Computing (Allerton), Monticello, IL, USA, 30 September–3 October 2014; pp. 1204–1211. [Google Scholar]
- Zhou, Z.; Li, C.; Guang, X. Practical Inner Codes for Batched Sparse Codes. In Proceedings of the GLOBECOM 2017—2017 IEEE Global Communications Conference, Singapore, 4–8 December 2017; pp. 1–6. [Google Scholar]
- Zhou, Z.; Li, C.; Yang, S.; Guang, X. Practical Inner Codes for BATS Codes in Multi-Hop Wireless Networks. IEEE Trans. Veh. Technol. 2019, 68, 2751–2762. [Google Scholar] [CrossRef]
- Yin, H.H.F.; Yang, S.; Zhou, Q.; Yung, L.M.L. Adaptive Recoding for BATS Codes. In Proceedings of the 2016 IEEE International Symposium on Information Theory (ISIT), Barcelona, Spain, 10–15 July 2016; pp. 2349–2353. [Google Scholar]
- Sprea, N.; Bashir, M.; Truhachev, D.; Srinivas, K.V.; Schlegel, C.; Sacchi, C. BATS Coding for Underwater Acoustic Communication Networks. In Proceedings of the OCEANS 2019-Marseille, Marseille, France, 17–20 June 2019; pp. 1–10. [Google Scholar]
- Yang, S.; Ma, J.; Huang, X. Multi-Hop Underwater Acoustic Networks Based on BATS Codes. In Proceedings of the Thirteenth ACM International Conference on Underwater Networks & Systems, Shenzhen, China, 3–5 December 2018; pp. 30:1–30:5. [Google Scholar]
- Zhao, H.; Dong, G.; Li, H. Simplified BATS Codes for Deep Space Multihop Networks. In Proceedings of the 2016 IEEE Information Technology, Networking, Electronic and Automation Control Conference, Chongqing, China, 20–22 May 2016; pp. 311–314. [Google Scholar]
- Yue, J.; Xiao, M.; Pang, Z. Distributed Fog Computing Based on Batched Sparse Codes for Industrial Control. IEEE Trans. Ind. Inform. 2018, 14, 4683–4691. [Google Scholar] [CrossRef]
- Yue, J.; Xiao, M.; Pang, Z. Distributed BATS-Based Schemes for Uplink of Industrial Internet of Things. In Proceedings of the 2019 IEEE International Conference on Communications (ICC), Shanghai, China, 20–24 May 2019; pp. 1–6. [Google Scholar]
- Zhang, H.; Sun, K.; Huang, Q.; Wen, Y.; Wu, D. FUN Coding: Design and Analysis. IEEE/ACM Trans. Netw. 2016, 24, 3340–3353. [Google Scholar] [CrossRef]
- Huang, Q.; Sun, K.; Li, X.; Wu, D. Just FUN: A Joint Fountain Coding and Network Coding Approach to Loss-Tolerant Information Spreading. In Proceedings of the 15th ACM International Symposium on Mobile Ad Hoc Networking and Computing, Philadelphia, PA, USA, 11–14 August 2014; pp. 83–92. [Google Scholar]
- Dong, Y.; Jin, S.; Yang, S.; Yin, H.H.F. Network Utility Maximization for BATS Code Enabled Multihop Wireless Networks. In Proceedings of the 2020 IEEE International Conference on Communications (ICC): Mobile and Wireless Networks Symposium (IEEE ICC’20—MWN Symposium), Dublin, Ireland, 7–11 June 2020. [Google Scholar]
- Dong, Y.; Yang, S.; Yin, H.H.F.; Jin, S. Network Utility Maximization for BATS Code with Adaptive Recoding. 2020; submitted. [Google Scholar]
- Zhou, Z.; Kang, J.; Zhou, L. Joint BATS Code and Periodic Scheduling in Multihop Wireless Networks. IEEE Access 2020, 8, 29690–29701. [Google Scholar] [CrossRef]
- Yang, S.; Yeung, W.H.; Chao, T.I.; Lee, K.H.; Ho, C.I. Hardware Acceleration for Batched Sparse Codes. U.S. Patent 10,237,782, 19 March 2019. [Google Scholar]
- Savaş, E.; Koç, Ç.K. Efficient Methods for Composite Field Arithmetic; Technical Report; Oregon State University: Corvallis, OR, USA, 1999. [Google Scholar]
- Paar, C.; Soria-Rodriguez, P. Fast Arithmetic Architectures for Public-key Algorithms over Galois Fields GF((2n)m). In Proceedings of the 16th Annual International Conference on Theory and Application of Cryptographic Techniques, Konstanz, Germany, 11–15 May 1997; pp. 363–378. [Google Scholar]
- De Win, E.; Bosselaers, A.; Vandenberghe, S.; De Gersem, P.; Vandewalle, J. A Fast Software Implementation for Arithmetic Operations in GF(2n). In Proceedings of the International Conference on the Theory and Application of Cryptology and Information Security, Kyongju, Korea, 3–7 November 1996; pp. 65–76. [Google Scholar]
- Guajardo, J.; Paar, C. Efficient Algorithms for Elliptic Curve Cryptosystems. In Proceedings of the Annual International Cryptology Conference, Santa Barbara, CA, USA, 17–21 August 1997; pp. 342–356. [Google Scholar]
- Koç, Ç.; Acar, T. Montgomery Multiplication in GF(2k). Des. Codes Cryptogr. 1998, 14, 57–69. [Google Scholar] [CrossRef]
- Hasan, M.A. Look-Up Table-Based Large Finite Field Multiplication in Memory Constrained Cryptosystems. IEEE Trans. Comput. 2000, 49, 749–758. [Google Scholar] [CrossRef]
- Hernández Marcano, N.J.; Sørensen, C.W.; Cabrera, G.J.A.; Wunderlich, S.; Lucani, D.E.; Fitzek, F.H.P. On Goodput and Energy Measurements of Network Coding Schemes in the Raspberry Pi. Electronics 2016, 5, 66. [Google Scholar]
- Yang, S.; Zhou, Q. Tree Analysis of BATS Codes. IEEE Commun. Lett. 2016, 20, 37–40. [Google Scholar] [CrossRef]
- Zhou, Q.; Yang, S.; Yin, H.H.F.; Tang, B. On BATS Codes with Variable Batch Sizes. IEEE Commun. Lett. 2017, 21, 1917–1920. [Google Scholar] [CrossRef]
- Yang, S.; Ng, T.C.; Yeung, R.W. Finite-Length Analysis of BATS Codes. IEEE Trans. Inf. Theory 2018, 64, 322–348. [Google Scholar] [CrossRef] [Green Version]
- Ng, T.C.; Yang, S. Finite-Length Analysis of BATS Codes. In Proceedings of the 2013 International Symposium on Network Coding (NetCod), Calgary, AB, Canada, 7–9 June 2013; pp. 1–6. [Google Scholar]
- Yang, S.; Yeung, R.W. Further Results on Finite-Length Analysis of BATS Codes. In Proceedings of the 2016 IEEE Globecom Workshops (GC Wkshps), Washington, DC, USA, 4–8 December 2016; pp. 1–6. [Google Scholar]
- Yang, J.; Shi, Z.; Wang, C.; Ji, J. Design of Optimized Sliding-Window BATS Codes. IEEE Commun. Lett. 2019, 23, 410–413. [Google Scholar] [CrossRef]
- Xu, X.; Zeng, Y.; Guan, Y.L.; Yuan, L. Expanding-Window BATS Code for Scalable Video Multicasting Over Erasure Networks. IEEE Trans. Multimed. 2018, 20, 271–281. [Google Scholar] [CrossRef]
- Yang, J.; Shi, Z.; Yang, D.; Wang, C. An Improved Belief Propagation Decoding of BATS Codes. In Proceedings of the 2019 IEEE 19th International Conference on Communication Technology (ICCT), Xi’an, China, 16–19 October 2019; pp. 11–15. [Google Scholar]
- Shokrollahi, A.; Lassen, S.; Karp, R. Systems and Processes for Decoding Chain Reaction Codes through Inactivation. U.S. Patent 6,856,263, 15 February 2005. [Google Scholar]
- Yang, S.; Ho, S.W.; Meng, J.; Yang, E.H. Capacity Analysis of Linear Operator Channels Over Finite Fields. IEEE Trans. Inf. Theory 2014, 60, 4880–4901. [Google Scholar] [CrossRef]
- Yin, H.H.F.; Xu, X.; Ng, K.H.; Guan, Y.L.; Yeung, R.W. Packet Efficiency of BATS Coding on Wireless Relay Network with Overhearing. In Proceedings of the 2019 IEEE International Symposium on Information Theory (ISIT), Paris, France, 7–12 July 2019; pp. 1967–1971. [Google Scholar]
- Levy, H. Stochastic Dominance: Investment Decision Making under Uncertainty, 3rd ed.; Springer: New York, NY, USA, 2016. [Google Scholar]
- Courtault, J.M.; Crettez, B.; Hayek, N. Characterization of Stochastic Dominance for Discrete Random Variable. 2006. Available online: https://halshs.archives-ouvertes.fr/halshs-00446413/ (accessed on 15 February 2020).
- Forney, G. Burst-Correcting Codes for the Classic Bursty Channel. IEEE Trans. Commun. Technol. 1971, 19, 772–781. [Google Scholar] [CrossRef]
- Yin, H.H.F.; Ng, K.H.; Wang, X.; Cao, Q. On the Minimum Delay of Block Interleaver for Batched Network Codes. In Proceedings of the 2019 IEEE International Symposium on Information Theory (ISIT), Paris, France, 7–12 July 2019; pp. 1957–1961. [Google Scholar]
- Yin, H.H.F.; Ng, K.H.; Wang, X.; Cao, Q.; Ng, L.K.L. On the Memory Requirements of Block Interleaver for Batched Network Codes. In Proceedings of the 2020 IEEE International Symposium on Information Theory (ISIT), Los Angeles, CA, USA, 21–26 June 2020; pp. 1658–1663. [Google Scholar]
- Xu, X.; Guan, Y.L.; Zeng, Y. Batched Network Coding with Adaptive Recoding for Multi-Hop Erasure Channels with Memory. IEEE Trans. Commun. 2018, 66, 1042–1052. [Google Scholar] [CrossRef]
- Gilbert, E.N. Capacity of a Burst-Noise Channel. Bell Syst. Tech. J. 1960, 39, 1253–1265. [Google Scholar] [CrossRef]
- Elliott, E.O. Estimates of Error Rates for Codes on Burst-Noise Channels. Bell Syst. Tech. J. 1963, 42, 1977–1997. [Google Scholar] [CrossRef]
- Yin, H.H.F.; Tang, B.; Ng, K.H.; Yang, S.; Wang, X.; Zhou, Q. A Unified Adaptive Recoding Framework for Batched Network Coding. In Proceedings of the 2019 IEEE International Symposium on Information Theory (ISIT), Paris, France, 7–12 July 2019; pp. 1962–1966. [Google Scholar]
- Kelly, F.P.; Maulloo, A.K.; Tan, D.K.H. Rate Control for Communication Networks: Shadow Prices, Proportional Fairness and Stability. J. Oper. Res. Soc. 1998, 49, 237–252. [Google Scholar] [CrossRef]
- Low, S.H.; Lapsley, D.E. Optimization Flow Control. I. Basic Algorithm and Convergence. IEEE/ACM Trans. Netw. 1999, 7, 861–874. [Google Scholar] [CrossRef] [Green Version]
- Shakkottai, S.; Srikant, R. Network Optimization and Control. Found. Trends Netw. 2007, 2, 271–379. [Google Scholar] [CrossRef]
- Yin, H.F.H.; Yang, S.; Yeung, W.H.R. Loss-Resilient Protocols for Communication Networks. U.S. Patent 10,425,192, 24 September 2019. [Google Scholar]
- Braden, R. Requirements for Internet Hosts—Communication Layers; RFC 1122; Internet Engineering Task Force: Reston, VA, USA, 1989. [Google Scholar]
- Matsumoto, M.; Nishimura, T. Mersenne Twister: A 623-Dimensionally Equidistributed Uniform Pseudo-Random Number Generator. ACM Trans. Model. Comput. Simul. (TOMACS) 1998, 8, 3–30. [Google Scholar] [CrossRef] [Green Version]
- Xu, X.; Guan, Y.L.; Zeng, Y.; Chui, C.C. Quasi-Universal BATS code. IEEE Trans. Veh. Technol. 2016, 66, 3497–3501. [Google Scholar] [CrossRef]
- Bildea, A.; Alphand, O.; Rousseau, F.; Duda, A. Link Quality Estimation with the Gilbert-Elliot Model for Wireless Sensor Networks. In Proceedings of the 2015 IEEE 26th Annual International Symposium on Personal, Indoor, and Mobile Radio Communications (PIMRC), Hong Kong, China, 30 August–2 September 2015; pp. 2049–2054. [Google Scholar]
- Haßlinger, G.; Hohlfeld, O. The Gilbert-Elliott Model for Packet Loss in Real Time Services on the Internet. In Proceedings of the 14th GI/ITG Conference-Measurement, Modelling and Evalutation of Computer and Communication Systems, Dortmund, Germany, 31 March–2 April 2008; pp. 1–15. [Google Scholar]
- Yin, H.F.H. Recoding Optimizations in Batched Sparse Codes. Ph.D. Thesis, The Chinese University of Hong Kong, Hong Kong, China, 2019. [Google Scholar]
- Yajnik, M.; Moon, S.; Kurose, J.; Towsley, D. Measurement and Modelling of the Temporal Dependence in Packet Loss. In Proceedings of the Conference on Computer Communications, New York, NY, USA, 21–25 March 1999; Volume 1, pp. 345–352. [Google Scholar]
- Sanneck, H.A.; Carle, G. Framework Model for Packet Loss Metrics Based on Loss Runlengths. In Proceedings of the Multimedia Computing and Networking 2000, San Jose, CA USA, 27 December 1999; Volume 3969, pp. 177–187. [Google Scholar]
- Clark, A.D. Modeling the Effects of Burst Packet Loss and Recency on Subjective Voice Quality. In Proceedings of the Internet Telephony Workshop (IPtel 2001), New York, NY, USA, 2–3 April 2001. [Google Scholar]
- Jiang, W.; Schulzrinne, H. Modeling of Packet Loss and Delay and their Effect on Real-Time Multimedia Service Quality. Proceedings of International Workshop on Network and Operating System Support for Digital Audio and Video (NOSSDAV), Chapel Hill, NC, USA, 26–28 June 2000. [Google Scholar]
- Palomar, D.P.; Chiang, M. A Tutorial on Decomposition Methods for Network Utility Maximization. IEEE J. Sel. Areas Commun. 2006, 24, 1439–1451. [Google Scholar] [CrossRef] [Green Version]
- Lyapunov, A.M. The General Problem of the Stability of Motion. Int. J. Control 1992, 55, 531–534. [Google Scholar] [CrossRef]









































| Feedback for Reliability | Asymptotic Throughput (Independent Loss) | Storage Cost at Intermediate Node | Coding Coefficient Overhead | Performance Degradation due to Burst Loss | |
|---|---|---|---|---|---|
| fountain codes | no | no | |||
| RLNC | no | no | |||
| disjoint BNC | link-by-link | no | |||
| BATS codes | no | yes | |||
| end-to-end retransmission | end-to-end | no | no | ||
| link-by-link retransmission | link-by-link | no | no |
| BATS codes | Section 2: Brief introduction Section 3: Recoding schemes Appendix A, Appendix B and Appendix C: Some analysis of recoding |
| BATS protocol | Section 4: Module design Section 5: Packet design |
| Demonstration | Section 6: Examples of applying the BATS protocol Section 7: Simulations of the BATS protocol |
| Conclusion | Section 8: Conclusions of the paper |
| Batch Stream | Batch |
|---|---|
| 2 | |
| 4 | |
| 5 |
| BATS Packet | Captured Packet |
|---|---|
© 2020 by the authors. Licensee MDPI, Basel, Switzerland. This article is an open access article distributed under the terms and conditions of the Creative Commons Attribution (CC BY) license (http://creativecommons.org/licenses/by/4.0/).
Share and Cite
Yin, H.H.F.; Yeung, R.W.; Yang, S. A Protocol Design Paradigm for Batched Sparse Codes. Entropy 2020, 22, 790. https://doi.org/10.3390/e22070790
Yin HHF, Yeung RW, Yang S. A Protocol Design Paradigm for Batched Sparse Codes. Entropy. 2020; 22(7):790. https://doi.org/10.3390/e22070790
Chicago/Turabian StyleYin, Hoover H. F., Raymond W. Yeung, and Shenghao Yang. 2020. "A Protocol Design Paradigm for Batched Sparse Codes" Entropy 22, no. 7: 790. https://doi.org/10.3390/e22070790

