Evaluating Different Methods for Determining the Velocity-Dip Position over the Entire Cross Section and at the Centerline of a Rectangular Open Channel
Abstract
1. Introduction
2. Conventional Model and Entropy-Based Expression for Determining the Velocity-Dip Position
2.1. Conventional Model for Velocity-Dip Position
2.2. Entropy-Based Expression for Velocity-Dip Position
2.2.1. Tsallis Entropy for the Velocity-Dip Position
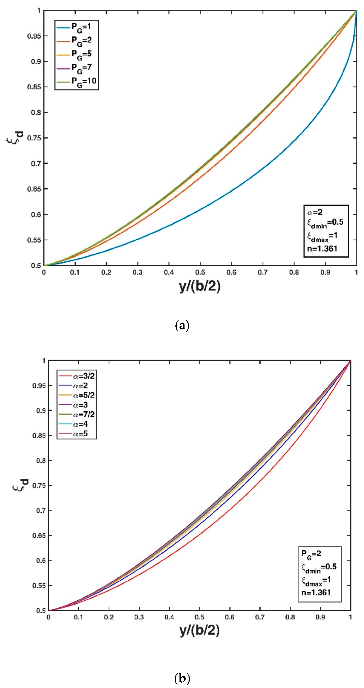
2.2.2. General Index Entropy for the Velocity-Dip Position
2.2.3. Shannon Entropy for the Velocity-Dip Position
2.2.4. Reparameterization of Two Kinds of Entropy-Based Models
3. Comparison with Experimental Data and Discussion
3.1. Collected Experimental Datasets
3.2. Error Estimation
- (1)
- The correlation coefficient R2 between the observed data points and the modeled data points:where and are the observed data and the modeled data of the velocity-dip position, respectively, and are the average values of the observed data and the modeled data, respectively, and is the total number of data points.
- (2)
- The average relative error (RE) between the observed data points and the modeled data points is calculated by the following formula:
- (3)
- The root mean square error (RMSE) between the observed data points and the modeled data points is calculated as follows:
- (4)
- The relative root mean square error (RRMSE) between the observed data points and the modeled data points is evaluated by the following formula:
3.3. Comparison Results
3.3.1. For the Entire Cross Section of the Open Channel
3.3.2. At the Centerline of the Open Channel
3.4. Physical Interpretation
4. Concluding Remarks
Author Contributions
Funding
Acknowledgments
Conflicts of Interest
References
- Rodi, W. Turbulence Models and Their Application in Hydraulics, a State of the Art Review; A. A. Balkema: Rotterdam, The Netherlands, 1993; pp. 1–124. [Google Scholar]
- Hu, C.; Hui, Y. Mechanical and Statistical Laws of Open Channel Sediment-Laden Flow; Science Press: Beijing, China, 1995; pp. 1–343. [Google Scholar]
- Shao, X.J.; Wang, X.K. Introduction to River Mechanics, 2nd ed.; Tsinghua University Press: Beijing, China, 2013; pp. 74–96. [Google Scholar]
- Francis, J.B. On the cause of the maximum velocity of water flowing in open channels being below the surface. Trans. ASCE 1878, 7, 109–113. [Google Scholar]
- Murphy, C. Accuracy of stream measurements. Water Supp. Irrig. Paper 1904, 95, 111–112. [Google Scholar]
- Vanoni, V.A. Transportation of suspended sediment by running water. Trans. ASCE 1946, 11, 67–133. [Google Scholar]
- Gordon, L. Mississippi River Discharge; RD Instruments: San Diego, CA, USA, 1992. [Google Scholar]
- Moramarco, T.S.; Singh, V.P. Estimation of mean velocity in natural channels based on Chiu’s velocity distribution equation. J. Hydrol. Eng. ASCE 2004, 9, 42–50. [Google Scholar] [CrossRef]
- Kundu, S. Prediction of velocity-dip-position at the central section of open channels using entropy theory. J. Appl. Fluid Mech. 2017, 10, 221–229. [Google Scholar]
- Yang, S.Q. Interactions of Boundary Shear Stress, Velocity Distribution and Flow Resistance in 3d Open Channels. Ph.D. Thesis, Nanyang Technological University, Singapore, 1996. [Google Scholar]
- NHRI. Experimental Study on 3D Velocity Distribution in Smooth Flow; National Historic Research Institute (NHRI), Nanjing Hydraulic Research Institute: Nanjing, China, 1957.
- Kundu, S. Prediction of velocity-dip-position over entire cross section of open channel flows using entropy theory. Environ. Earth Sci. 2017, 76, 363. [Google Scholar]
- Wang, X.; Wang, Z.; Yu, M.; Li, D. Velocity profile of sediment suspensions and comparison of log-law and wake-law. J. Hydraul. Res. 2001, 39, 211–217. [Google Scholar] [CrossRef]
- Yang, S.Q.; Tan, S.K.; Lim, S.Y. Velocity distribution and dip-phenomenon in smooth uniform open channel flows. J. Hydraul. Eng. 2004, 130, 1179–1186. [Google Scholar] [CrossRef]
- Nezu, I.; Rodi, W. Experimental study on secondary currents in open channel flow. In Proceedings of the 21th IAHR Congress, IAHR, Melbourne, Australia, 13–18 August 1985. [Google Scholar]
- Guo, J.; Julien, P.Y. Application of the modified log-wake law in open-channels. J. Appl. Fluid Mech. 2008, 1, 17–23. [Google Scholar]
- Yan, J.; Tang, H.; Xia, Y.; Li, K.; Tian, Z. Experimental study on influence of boundary on location of maximum velocity in open channel flows. Water Sci. Eng. 2011, 4, 185–191. [Google Scholar]
- Absi, R. An ordinary differential equation for velocity distribution and dip-phenomenon in open channel flows. J. Hydraul. Res. 2011, 49, 82–89. [Google Scholar] [CrossRef]
- Bonakdari, H.; Larrarte, F.; Lassabatere, L.; Joannis, C. Turbulent velocity profile in fully-developed open channel flows. Environ. Fluid Mech. 2008, 8, 1–17. [Google Scholar] [CrossRef]
- Guo, J. Modified log-wake-law for smooth rectangular open channel flow. J. Hydraul. Res. 2013, 52, 121–128. [Google Scholar] [CrossRef]
- Pu, J.H. Universal velocity distribution for smooth and rough open channel flows. J. Appl. Fluid Mech. 2013, 6, 413–423. [Google Scholar]
- Kundu, S. Asymptotic model for velocity dip position in open channels. Appl. Water Sci. 2017, 7, 4415–4426. [Google Scholar] [CrossRef]
- Kundu, S.; Ghoshal, K. An entropy based model for velocity-dip-position. J. Environ. Inform. 2019, 33, 113–128. [Google Scholar] [CrossRef]
- Cui, H.; Singh, V.P. One dimensional velocity distribution in open channels using Tsallis entropy. J. Hydrol. Eng. 2014, 19, 290–298. [Google Scholar] [CrossRef]
- Cui, H.; Singh, V.P. Two dimensional velocity distribution in open channels using Tsallis entropy. J. Hydrol. Eng. 2013, 18, 331–339. [Google Scholar] [CrossRef]
- Bonakdari, H.; Sheikh, Z.; Tooshmalani, M. Comparison between Shannon and Tsallis entropies for prediction of shear stress distribution in open channels. Stoch. Environ. Res. Risk Assess. 2015, 29, 1–11. [Google Scholar] [CrossRef]
- Sterling, M.; Knight, D. An attempt at using the entropy approach to predict the transverse distribution of boundary shear stress in open channel flow. Stoch. Environ. Res. Risk Assess. 2002, 16, 127–142. [Google Scholar] [CrossRef]
- Kundu, S. Derivation of different suspension equations in sediment-laden flow from Shannon entropy. Stoch. Environ. Res. Risk Assess. 2018, 32, 563–576. [Google Scholar] [CrossRef]
- Singh, V.P.; Oh, J. A Tsallis entropy-based redundancy measure for water distribution network. Physica A 2014, 421, 360–376. [Google Scholar] [CrossRef]
- Zhu, Z. A simple explicit expression for the flocculation dynamics modeling of cohesive sediment based on entropy considerations. Entropy 2018, 20, 945. [Google Scholar] [CrossRef]
- Shojaeezadeh, S.A.; Amiri, S.M. Estimation of two-dimensional velocity distribution profile using general index entropy in open channels. Physica A 2018, 491, 912–925. [Google Scholar] [CrossRef]
- Nezu, I.; Rodi., W. Open-channel flow measurements with a laser dropper anemometer. J. Hydraul. Eng. 1986, 112, 335–355. [Google Scholar] [CrossRef]
- Gibson, A.H. On the depression of the filament of maximum velocity in a stream flowing through an open channel. Proc. Roy. Soc. A Math. Phys. 1909, 82, 149–159. [Google Scholar]
- Wang, X.; Fu, R. Study on the velocity profile equations of suspension flows. In Proceedings of the 24th IAHR Congress, Madrid, Spain, 9–13 September 1991. [Google Scholar]
- Cardoso, A.H.; Graf, W.H.; Gust, G. Uniform flow in smooth open-channel. J. Hydraul. Res. 1989, 27, 603–616. [Google Scholar] [CrossRef]
- Song, T.C.; Graf, W.H. Non-uniform open channel flow over a rough bed. J. Hydro Hydraul. Eng. 1994, 12, 1–25. [Google Scholar]
- Coleman, N.L. Effects of suspended sediment on the open-channel velocity distribution. Water Resour. Res. 1986, 22, 1377–1384. [Google Scholar] [CrossRef]
- Wang, X.; Qian, N. Turbulence characteristics of sediment-laden flows. J. Hydraul. Eng. 1989, 115, 781–799. [Google Scholar]
- Kironoto, B.A.; Graf, W.H. Turbulence characteristics in rough uniform open-channel flow. Proc. ICE Water Marit. Energy 1994, 106, 333–344. [Google Scholar]
- Larrarte, F. Velocity fields in sewers: An experimental study. Flow Meas. Instrum. 2006, 17, 282–290. [Google Scholar] [CrossRef]
- Tominaga, A.; Nezu, I.; Ezaki, K.; Nakagawa, H. Three dimensional turbulent structure in straight open channel flows. J. Hydraul. Res. 1989, 27, 149–173. [Google Scholar] [CrossRef]
- Singh, V.P.; Sivakumar, B.; Cui, H.J. Tsallis entropy theory for modelling in water engineering: A review. Entropy 2017, 19, 641. [Google Scholar] [CrossRef]
- Luo, H.; Singh, V.P.; Schmidt, A. Comparative study of 1D entropy-based and conventional deterministic velocity distribution equations for open channel flows. J. Hydrol. 2018, 563, 679–693. [Google Scholar] [CrossRef]
- Tsallis, C. Possible generalization of Boltzmann–Gibbs statistics. J. Stat. Phys. 1988, 52, 479–487. [Google Scholar] [CrossRef]
- Jaynes, E.T. Information theory and statistical mechanics I. Phys. Rev. 1957, 106, 620–630. [Google Scholar] [CrossRef]
- Jaynes, E.T. Information theory and statistical mechanics II. Phys. Rev. 1957, 108, 171–190. [Google Scholar] [CrossRef]
- Jaynes, E.T. On the rationale of maximum entropy methods. Proc. IEEE 1982, 70, 939–952. [Google Scholar] [CrossRef]
- Shorrocks, A.F. The class of additively decomposable inequality measures. Econometrica 1980, 48, 13–614. [Google Scholar] [CrossRef]
- Shannon, C.E. The mathematical theory of communication. Bell Syst. Tech. J. 1948, 27, 379–423. [Google Scholar] [CrossRef]
- Singh, V.P.; Cui, H. Modeling sediment concentration in debris flow by Tsallis entropy. Physica A 2015, 420, 49–58. [Google Scholar] [CrossRef]
- Hu, C. Effects of Width-to-Depth Ratio and Side Wall Roughness on Velocity Distribution and Friction Factor. Ph.D. Thesis, Tsinghua University, Beijing, China, 1985. [Google Scholar]
- Sarma, K.V.N.; Sarma, V.M.; Lakshminarayana, P.; Lakshmana Rao, N.S. Velocity distribution in smooth rectangular open channels. J. Hydraul. Eng. 1983, 109, 270–289. [Google Scholar] [CrossRef]
- Knight, D.W.; Macdonald, J.A. Open channel flow with varying bed roughness. J. Hydraul. Div. 1979, 105, 1167–1183. [Google Scholar]
- Rajaratnam, N.; Muralidhar, D. Boundary shear stress distribution in rectangular open channels. La Houille Blanche 1969, 24, 603–609. [Google Scholar] [CrossRef]
- Zippe, H.J.; Graf, W.H. Turbulent boundary-layer flow over permeable and nonpermeable rough surfaces. J. Hydraul. Res. 1983, 21, 51–65. [Google Scholar] [CrossRef]
- Wang, X.; An, F. The fluctuating characteristics of hydrodynamic forces on bed particles. Int. J. Sediment Res. 1994, 9, 183–192. [Google Scholar]
- Guy, H.P.; Simons, D.B.; Richardson, E.V. Summary of Alluvial Channel Data from Flume Experiments; Technical Report, United States Geological Survey Water Supply Paper Number 462-1; US Government Printing Office: Washington, DC, USA, 1966.
- Vanoni, V.A. Velocity distribution in open channels. Civ. Eng. ASCE 1941, 11, 356–357. [Google Scholar]
- Kumbhakar, M.; Ghoshal, K. One-dimensional velocity distribution in open channels using Renyi entropy. Stoch. Environ. Res. Risk Assess. 2017, 31, 949–959. [Google Scholar] [CrossRef]












| Model Name | Prediction Accuracy | |||
|---|---|---|---|---|
| R2 | RE | RMSE | RRMSE | |
| Wang et al. model [13] | 0.6215 | 12.4208 | 0.1620 | 0.1878 |
| Yang et al. model [14] | 0.7908 **** | 9.1990 **** | 0.0743 **** | 0.1157 **** |
| Tsallis entropy-based expression ( = 1/3) | 0.6832 *** | 12.1956 *** | 0.1068 *** | 0.1526 *** |
| General index entropy-based expression ( = 5) | 0.6284 | 16.8727 | 0.1425 | 0.1961 |
| Shannon entropy-based expression | 0.6180 | 17.6436 | 0.1478 | 0.2035 |
| Model Name | Prediction Accuracy | |||
|---|---|---|---|---|
| R2 | RE | RMSE | RRMSE | |
| Wang et al. model [13] | 0.6971 | 13.4833 | 0.1768 | 0.1967 |
| Yang et al. model [14] | 0.8466 | 7.6692 ** | 0.0681 | 0.1053 |
| Bonakdari et al. model [19] | 0.8125 | 10.0856 | 0.0979 | 0.1385 |
| Guo model [20] | 0.8470 | 7.7653 | 0.0790 | 0.0994 ** |
| Pu model [21] | 0.7942 | 9.5668 | 0.0882 | 0.1256 |
| Kundu [22] model | 0.8601 **** | 7.2453 **** | 0.0647 **** | 0.0983 **** |
| Tsallis entropy-based expression ( = 1/3) | 0.8493 ** | 7.6886 | 0.0675 ** | 0.1035 |
| General index entropy-based expression ( = 5) | 0.8392 | 8.4620 | 0.0807 | 0.1069 |
| Shannon entropy-based expression | 0.8520 *** | 7.4116 *** | 0.0668 *** | 0.0983 **** |
© 2020 by the authors. Licensee MDPI, Basel, Switzerland. This article is an open access article distributed under the terms and conditions of the Creative Commons Attribution (CC BY) license (http://creativecommons.org/licenses/by/4.0/).
Share and Cite
Zhu, Z.; Hei, P.; Dou, J.; Peng, D. Evaluating Different Methods for Determining the Velocity-Dip Position over the Entire Cross Section and at the Centerline of a Rectangular Open Channel. Entropy 2020, 22, 605. https://doi.org/10.3390/e22060605
Zhu Z, Hei P, Dou J, Peng D. Evaluating Different Methods for Determining the Velocity-Dip Position over the Entire Cross Section and at the Centerline of a Rectangular Open Channel. Entropy. 2020; 22(6):605. https://doi.org/10.3390/e22060605
Chicago/Turabian StyleZhu, Zhongfan, Pengfei Hei, Jie Dou, and Dingzhi Peng. 2020. "Evaluating Different Methods for Determining the Velocity-Dip Position over the Entire Cross Section and at the Centerline of a Rectangular Open Channel" Entropy 22, no. 6: 605. https://doi.org/10.3390/e22060605
APA StyleZhu, Z., Hei, P., Dou, J., & Peng, D. (2020). Evaluating Different Methods for Determining the Velocity-Dip Position over the Entire Cross Section and at the Centerline of a Rectangular Open Channel. Entropy, 22(6), 605. https://doi.org/10.3390/e22060605

