Numerical Investigation on the Thermodynamic Characteristics of a Liquid Film upon Spray Cooling Using an Air-Blast Atomization Nozzle
Abstract
1. Introduction
2. Computational Model and Numerical Analysis
2.1. Physical Model and Its Finite Element Mesh Generation
2.2. Governing Equations and Boundary Conditions
2.2.1. Continuous Phase Model
2.2.2. Discrete Phase Model
2.2.3. Coupling Calculation of Continuous Phase and Discrete Phase
2.3. Boundary Conditions and Coupling Calculation Procedure
- (1)
- The pressure, temperature, and gravity acceleration of the initial states were 1 atm, 293 K, and 9.8 m/s2 respectively. The injection direction was Y-axis;
- (2)
- The velocity of mass-flow-inlet of central-flow, velocity-inlet of swirling-flow and the pressure-inlet were 9.167 × 10−5 kg/s, 20 m/s, and 1m/s respectively, whose values were all obtained from the experimental data. The rotating tangential vector of the swirling-flow was 0.7071 and the gas-phase was air;
- (3)
- The vertical wall surface was defined as an escape and no-slip boundary condition and the bottom side was the pressure outlet;
- (4)
- The target surface was no-slip condition and the formation of liquid film due to atomized droplets impinging on the surface was simulated by the FLUENT’s Eulerian-wall film model.
2.4. Simulating Condition Arrangement
3. Results and Discussion
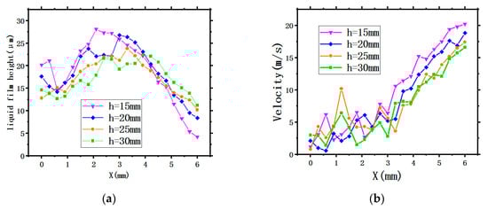
3.1. Effects of the SH
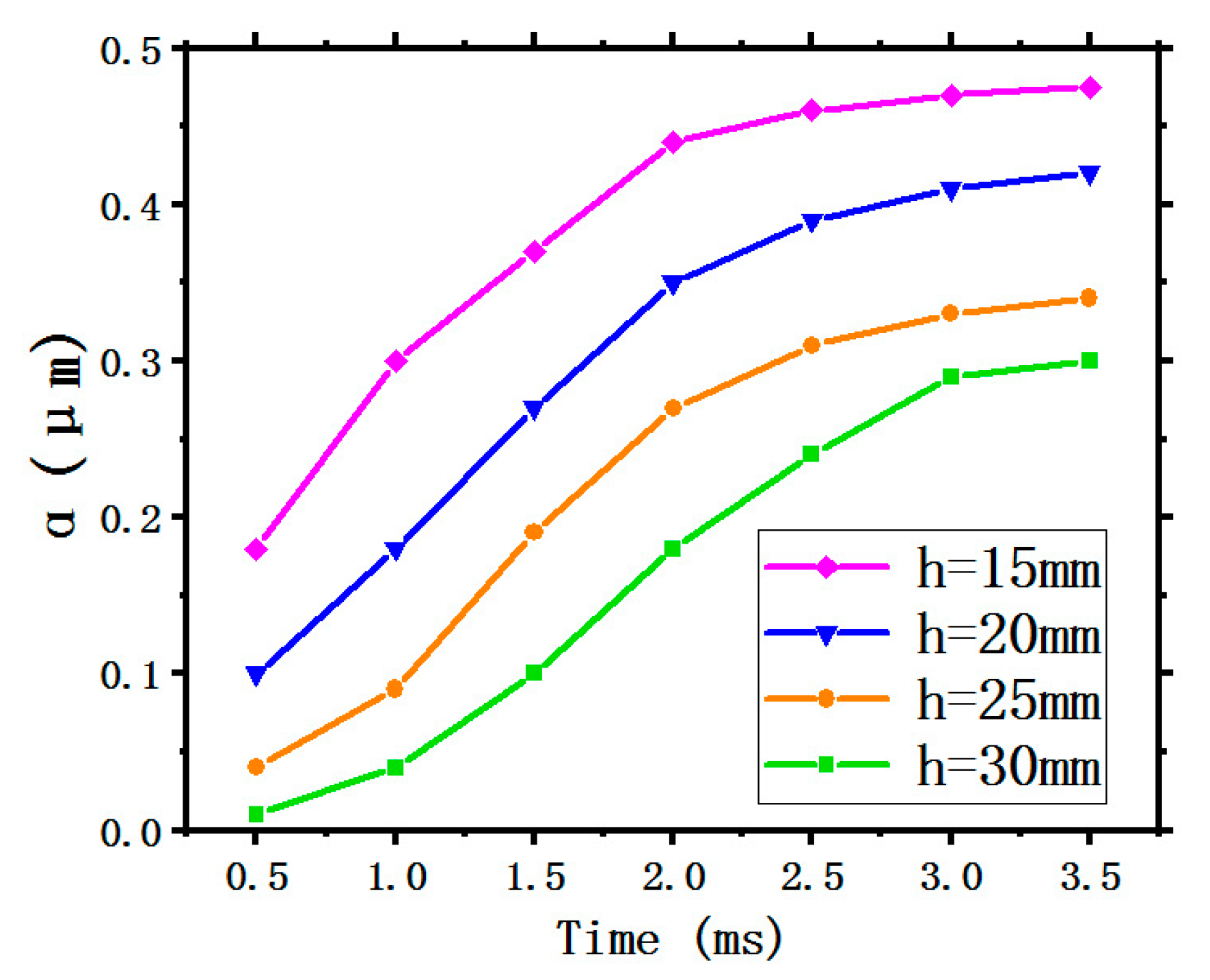
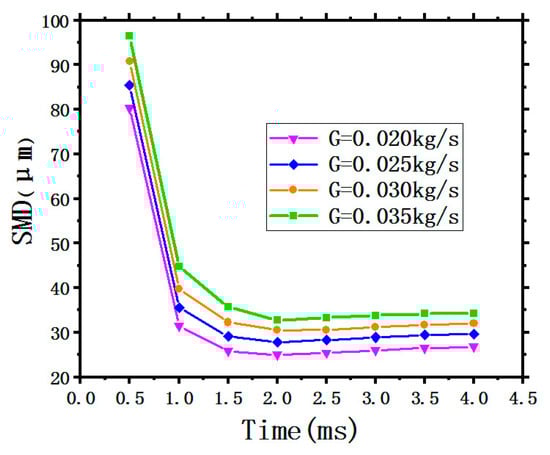
3.1.1. SMD of the Spray Droplet Size
3.1.2. The Hydraulic Characteristics of the Liquid Film
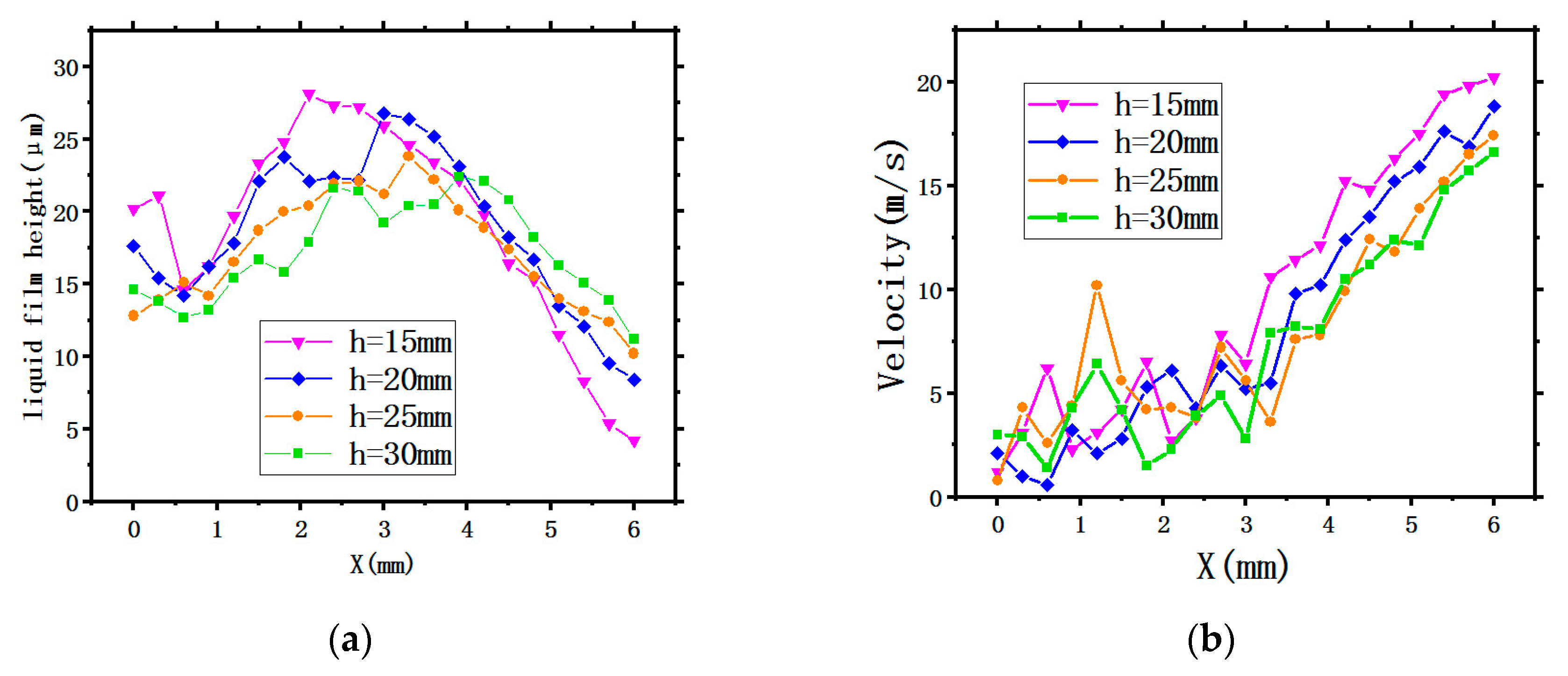
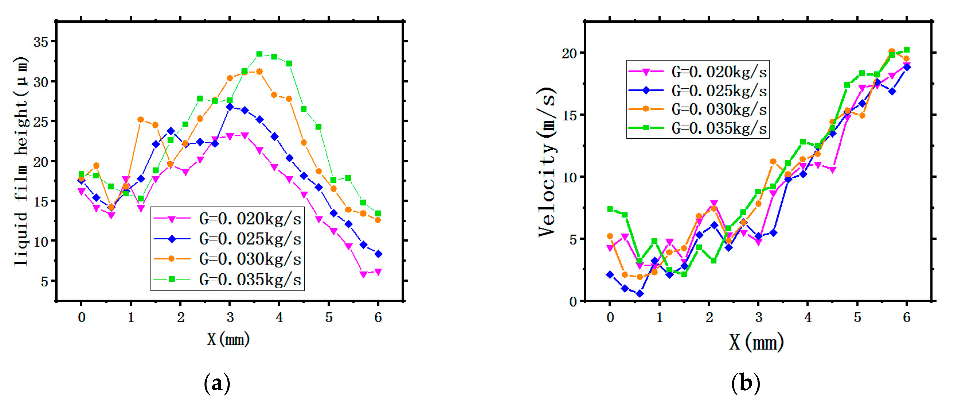
3.2. Effects of the SMFR
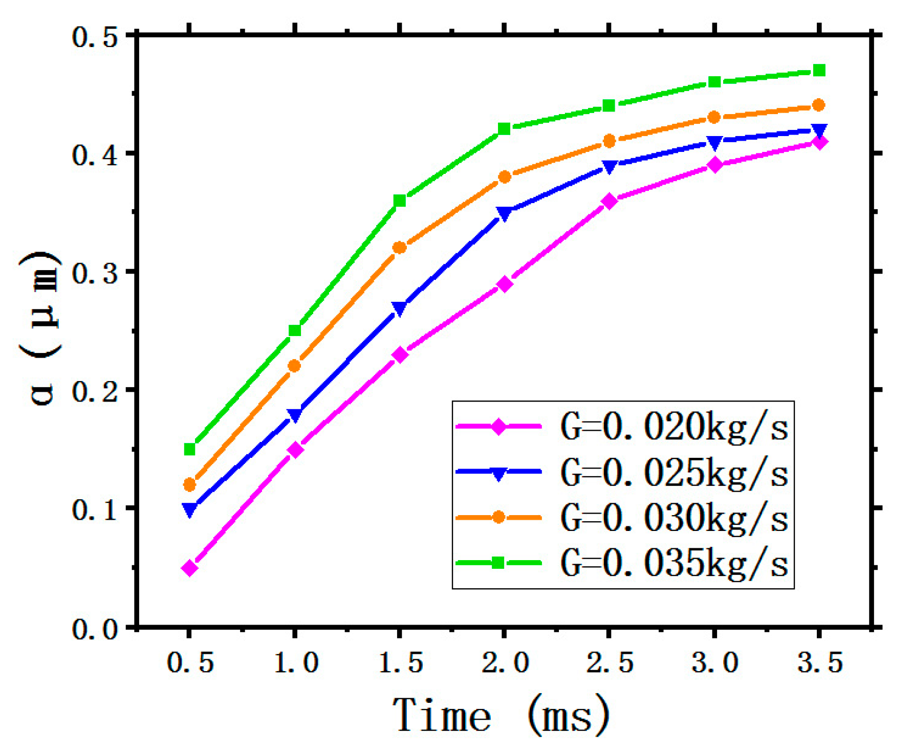
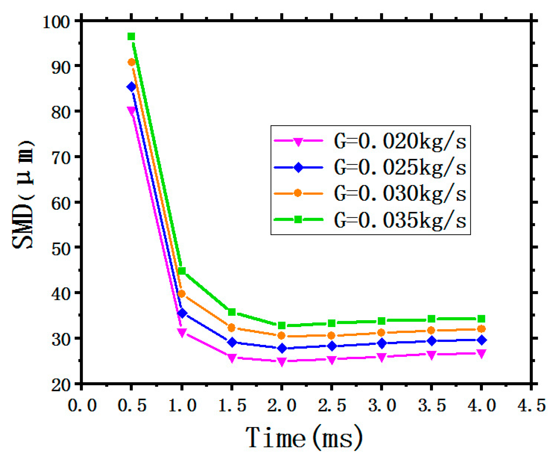
3.2.1. SMD of the Spray Droplet Size
3.2.2. The Hydraulic Characteristics of the Liquid Film
4. Conclusions
- (1)
- The varied SH has little effect on the SMD with an invariable inlet condition; while the different SMFRs can influence the SMD of the spray droplet. With increasing SMFR, the SMD becomes larger. The average SMD of droplet size shows a sharp drop when sprayed from the nozzle in a short period of time (<1.5 ms), then approaching smoothness below a value of 40 , the spray status tends to be stable;
- (2)
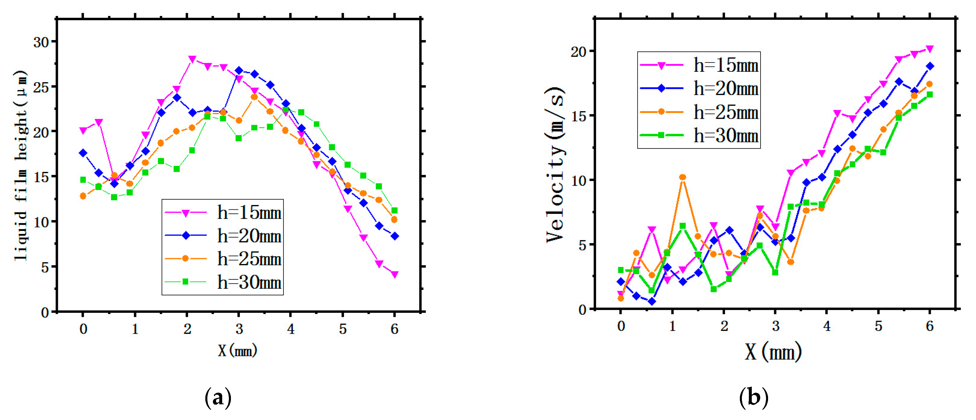
- Under all working conditions, the variations of LFH and LFV have a similar tendency. In the central area below the nozzle on the surface, the LFH is relatively low as well as the LFV while the LFV has a large speed fluctuation. Along the radius direction, the LFH increases first and then decreases, while the LFV increases gradually. When it approaches the circumferential edge, the velocity reaches its maximum;
- (3)
- A larger LFGR can be obtained by a lower SH. With the increase of SH, the average LFH decreases as well as the peak height but is higher at the edge-area. The LFV expands from the central region to the surrounding areas. A lower SH can be obtained a a higher average LFV and a lower speed fluctuation in the central area.
- (4)
- With the growth of SMFR, the LFGR and the average LFH become larger. In addition, the peak value of LFH also increases with increasing SMFR. The LFVs with different SMFRs have similar velocity distribution, indicating that the SMFR has little effect on the LFV.
Author Contributions
Funding
Acknowledgments
Conflicts of Interest
Nomenclature
| constant | breakup time | ||
| D | Diameter (m) | Empirical (i = 1,2 and 3) | |
| ligament diameter | Subscripts | ||
| Particle diameter | buoyant | ||
| specific energy including kinetic energy, intrinsic energy and potential energy | drag | ||
| drag force on droplet of unit mass (m/s2) | gas-phase | ||
| turbulence energy due to the buoyant force | ligament | ||
| turbulence energy due to the laminar velocity gradient | laminar | ||
| g | Gravitational acceleration (m/s2) | liquid droplet particle | |
| component diffusion flux | RT | Rayleigh–Taylor model | |
| wave number corresponding to the maximum growth rate | turbulence | ||
| wave number | x | x-axis | |
| Q | Heat (W) | y | y-axis |
| Re | Reynold number | z | z-axis |
| liquid radius | Acronyms | ||
| volume heat source due to the heat transfer between droplet and the continuous phase | CFD | Computational Fluid Dynamics | |
| T | Temperature (K) | DPM | Discrete Phase Model |
| velocity of liquid-phase (m/s) | LFH | Liquid Film Height | |
| Greek symbols | LFV | Liquid Film Velocity | |
| Thermal conductivity () | LFGR | Liquid Film Generation Rate | |
| Uncertainty (%) | LD-MOSFET | Lateral Diffused Metal Oxide Semiconductor Field Effect Transistor | |
| Density () | SH | Spray Height | |
| Surface tension () | SMD | Sauter Mean Diameter | |
| unstable wave frequency | SMFR | Spray Mass Flow Rate | |
| Dynamic viscosity () | 3-D | Three dimensional | |
References
- Zhang, H.; Li, Y.; Mao, Y.; Tian, S.; Liu, Y.; Yang, L. Optimization design of a novel closed-loop spray cooling system. In 2015 IEEE International Conference on Advanced Intelligent Mechatronics (AIM); IEEE: Piscataway, NJ, USA, 2015; pp. 324–329. [Google Scholar]
- Liping, P.; Kun, L.; Qi, G.; Shuxin, L.; Chao, Y. Numerical study of high-overload effect on liquid film of spray cooling. Appl. Therm. Eng. 2017, 127, 1015–1024. [Google Scholar] [CrossRef]
- Cotler, A.C.; Brown, E.R.; Dhir, V.; Shaw, M.C. Chip-level spray cooling of an LD-MOSFET RF power amplifier. IEEE Trans. Conmpon. Pack. Technol. 2004, 27, 411–416. [Google Scholar] [CrossRef]
- Silk, E.A.; Golliher, E.L.; Selvam, R.P. Spray cooling heat transfer: Technology overview and assessment of future challenges for micro-gravity application. Energy Conv. Manag. 2008, 49, 453–468. [Google Scholar] [CrossRef]
- Wang, J.X.; Li, Y.Z.; Zhang, Y.; Li, J.X.; Mao, Y.F.; Ning, X.W. A hybrid cooling system combining self-adaptive single-phase mechanically pumped fluid loop and gravity-immune two-phase spray module. Energy Convers. Manag. 2018, 176, 194–208. [Google Scholar] [CrossRef]
- Murshed, S.M.S.; De Castro, C.A.N. A critical review of traditional and emerging techniques and fluids for electronics cooling. Renew. Sustain. Energy Rev. 2017, 78, 821–833. [Google Scholar] [CrossRef]
- Pais, M.R.; Chow, L.C.; Mahefkey, E.T. Surface roughness and its effects on the heat transfer mechanism in spray cooling. ASME J. Heat Transf. 1992, 114, 211–219. [Google Scholar] [CrossRef]
- Bancoff, S.G. Stability and dynamics of thin heated liquid films. Int. J. Fluid Mech. Res. 1998, 25, 189–201. [Google Scholar] [CrossRef]
- Yang, B.H.; Wang, H.; Zhu, X.; Liao, Q.; Ding, Y.D.; Chen, R. Heat transfer enhancement of spray cooling with ammonia by microcavity surfaces. Appl. Therm. Eng. 2013, 50, 245–250. [Google Scholar] [CrossRef]
- Hsieh, S.S.; Fan, T.C.; Tsai, H.H. Spray cooling characteristics of water and R-134a, part II: Nucleate boiling. Int. J. Heat Mass Transf. 2004, V47, 5703–5712. [Google Scholar] [CrossRef]
- Zhou, N.; Chen, F.; Cao, Y.; Chen, M.; Wang, Y. Experimental investigation on the performance of a water spray cooling system. Appl. Therm. Eng. 2017, 112, 1117–1128. [Google Scholar] [CrossRef]
- Jedelsky, J.; Jicha, M. Energy conversion in effervescent atomization. In Proceedings of the 12th ICLASS, Heidelberg, Germany, 2–6 September 2012; pp. 2–9. [Google Scholar]
- Li, J.X.; Li, Y.Z.; Cai, B.Y.; Li, E.H. Experimental investigation of heat transfer mechanism of air-blast spray cooling system with a two-phase ejector loop for aeronautical application. Energies 2019, 12, 3963. [Google Scholar] [CrossRef]
- Beck, J.E.; Lefebvre, A.H.; Koblish, T.R. Liquid sheet disintegration by impinging air streams. Atom. Sprays 1991, 1, 155–170. [Google Scholar] [CrossRef]
- Gambaryan-Roisman, T.; Kyriopoulos, O.; Roisman, I.; Stephan, P.; Tropea, C. Gravity effect on spray impact and spray cooling. Microgravity Sci. Technol. 2007, 19, 3–4. [Google Scholar] [CrossRef]
- Sarkar, S.; Selvam, R.P. Direct numerical simulation of heat transfer in spray cooling through 3D multiphase flow modeling using parallel computing. J. Heat Transf. 2009, 131, 121007-1–121007-8. [Google Scholar] [CrossRef]
- Bussmann, M.; Mostaghimi, J.; Chandra, S. On a three-dimensional volume tracking model of droplet impact. Phys. Fluids 1999, 11, 1406–1417. [Google Scholar] [CrossRef]
- Issa, R.J.; Yao, S.C. Numerical model for spray-wall impaction and heat transfer at atmospheric conditions. J. Thermophys. Heat Transf. 2005, 19, 441–1117. [Google Scholar]
- Selvam, R.P.; Lin, L.; Ponnappan, R. Direct simulation of spray cooling: Effect of vapor bubble growth and liquid droplet impact on heat transfer. Int. J. Heat Mass Transf. 2006, 49, 4265–4278. [Google Scholar] [CrossRef]
- Selvam, R.P.; Hamilton, M.; Silk, E.A. Silk Spray cooling modeling: Liquid film thickness effect on heat transfer. AIP Conf. Proc. 2007, 880, 110–117. [Google Scholar]
- Gunjal, P.R.; Ranade, V.V.; Chaudhari, R.V. Dynamics of drop impact on solid surface: Experiments and VOF simulations. AICHE J. 2005, 51, 59–78. [Google Scholar] [CrossRef]
- Ganesan, S.; Rajasekaran, S.; Tobiska, L. Numerical modeling of the non- isothermal liquid droplet impact on a hot solid substrate. Int. J. Heat Mass Transf. 2014, 78, 670–687. [Google Scholar] [CrossRef]
- Šikalo, Š.; Wilhelm, H.D.; Roisman, I.V.; Jakirlić, S.; Tropea, C. Dynamic contact angle of spreading droplets: Experiments and simulations. Phys. Fluids 2005, 17, 62103. [Google Scholar]
- Sinha-Ray, S.; Yarin, A.L. Drop impact cooling enhancement on nano-textured surfaces. Part I: Theory and results of the ground (1 g) experiments. Int. J. Heat Mass Transf. 2014, 70, 1095–1106. [Google Scholar] [CrossRef]
- Wang, Z.; Xing, Y.; Liu, X.; Zhao, L.; Ji, Y. Computer modeling of droplets impact on heat transfer during spray cooling under vibration environment. Appl. Therm. Eng. 2016, 107, 453–462. [Google Scholar] [CrossRef]










| Case | Various Parameter Descriptions | |
|---|---|---|
| SH (mm) | SMFR (kg/s) | |
| 1 | 15 | 0.025 |
| 2 | 20 | 0.025 |
| 3 | 25 | 0.025 |
| 4 | 30 | 0.025 |
| 5 | 20 | 0.020 |
| 6 | 20 | 0.030 |
| 7 | 20 | 0.035 |
© 2020 by the authors. Licensee MDPI, Basel, Switzerland. This article is an open access article distributed under the terms and conditions of the Creative Commons Attribution (CC BY) license (http://creativecommons.org/licenses/by/4.0/).
Share and Cite
Li, J.-X.; Li, Y.-Z.; Li, E.-H.; Li, T. Numerical Investigation on the Thermodynamic Characteristics of a Liquid Film upon Spray Cooling Using an Air-Blast Atomization Nozzle. Entropy 2020, 22, 308. https://doi.org/10.3390/e22030308
Li J-X, Li Y-Z, Li E-H, Li T. Numerical Investigation on the Thermodynamic Characteristics of a Liquid Film upon Spray Cooling Using an Air-Blast Atomization Nozzle. Entropy. 2020; 22(3):308. https://doi.org/10.3390/e22030308
Chicago/Turabian StyleLi, Jia-Xin, Yun-Ze Li, En-Hui Li, and Tong Li. 2020. "Numerical Investigation on the Thermodynamic Characteristics of a Liquid Film upon Spray Cooling Using an Air-Blast Atomization Nozzle" Entropy 22, no. 3: 308. https://doi.org/10.3390/e22030308
APA StyleLi, J.-X., Li, Y.-Z., Li, E.-H., & Li, T. (2020). Numerical Investigation on the Thermodynamic Characteristics of a Liquid Film upon Spray Cooling Using an Air-Blast Atomization Nozzle. Entropy, 22(3), 308. https://doi.org/10.3390/e22030308

