Entropy Dynamics of Phonon Quantum States Generated by Optical Excitation of a Two-Level System
Abstract
1. Introduction
2. Theory
3. Results and Discussion
3.1. Single Pulse Excitation
3.1.1. Phonons Generated by a Non-Decaying TLS
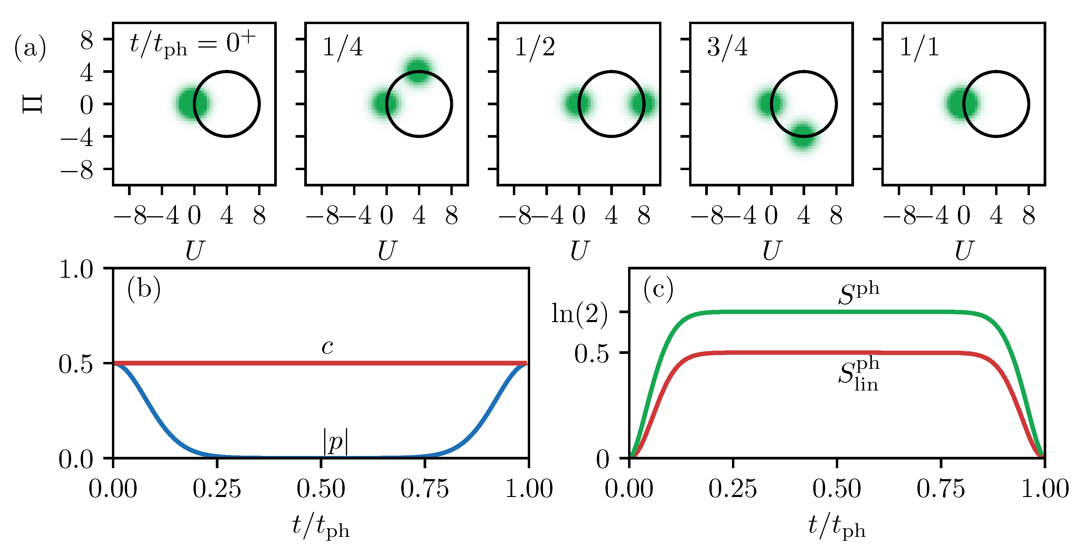
3.1.2. Phonons Generated by a Decaying TLS
3.2. Two Pulse Excitation
3.2.1. Phonons Generated by a Non-Decaying TLS
3.3. Phonon Cat State Entropy Dynamics in a Decaying TLS
Phonons Generated by a Decaying TLS
4. Conclusions
Author Contributions
Funding
Conflicts of Interest
References
- Kondepudi, D.; Prigogine, I. Modern Thermodynamics: From Heat Engines to Dissipative Structures; John Wiley & Sons: Berlin, Germany, 2014. [Google Scholar]
- Gunzig, E.; Geheniau, J.; Prigogine, I. Entropy and cosmology. Nature 1987, 330, 621–624. [Google Scholar] [CrossRef]
- La Cruz-Dombriz, D.; Sáez-Gómez, D. Black holes, cosmological solutions, future singularities, and their thermodynamical properties in modified gravity theories. Entropy 2012, 14, 1717–1770. [Google Scholar] [CrossRef]
- Toda, M.; Kubo, R.; Saitō, N. Equilibrium Statistical Mechanics; Springer: Berlin, Germany, 1992; Volume 1. [Google Scholar]
- Kubo, R.; Toda, M.; Hashitsume, N. Statistical Physics II: Nonequilibrium Statistical Mechanics; Springer: Berlin, Germany, 2012; Volume 31. [Google Scholar]
- Breuer, H.P.; Petruccione, F. The Theory of Open Quantum Systems; Oxford University Press: Oxford, UK, 2002. [Google Scholar]
- Eisert, J.; Cramer, M.; Plenio, M.B. Colloquium: Area laws for the entanglement entropy. Rev. Mod. Phys. 2010, 82, 277. [Google Scholar] [CrossRef]
- Shannon, C.E. A mathematical theory of communication. Bell Labs Tech. J. 1948, 27, 379–423. [Google Scholar] [CrossRef]
- Liang, J.; Shi, Z.; Li, D.; Wierman, M.J. Information entropy, rough entropy and knowledge granulation in incomplete information systems. Int. J. Gen. Syst. 2006, 35, 641–654. [Google Scholar] [CrossRef]
- Nielsen, M.A.; Chuang, I. Quantum Computation and Quantum Information; American Association of Physics Teachers: College Park, MD, USA, 2002. [Google Scholar]
- Hofheinz, M.; Wang, H.; Ansmann, M.; Bialczak, R.C.; Lucero, E.; Neeley, M.; O’connell, A.D.; Sank, D.; Wenner, J.; Martinis, J.M.; et al. Synthesizing arbitrary quantum states in a superconducting resonator. Nature 2009, 459, 546. [Google Scholar] [CrossRef] [PubMed]
- O’Connell, A.D.; Hofheinz, M.; Ansmann, M.; Bialczak, R.C.; Lenander, M.; Lucero, E.; Neeley, M.; Sank, D.; Wang, H.; Weides, M.; et al. Quantum ground state and single-phonon control of a mechanical resonator. Nature 2010, 464, 697–703. [Google Scholar] [CrossRef] [PubMed]
- Reiter, D.E.; Wigger, D.; Axt, V.M.; Kuhn, T. Generation and dynamics of phononic cat states after optical excitation of a quantum dot. Phys. Rev. B 2011, 84, 195327. [Google Scholar] [CrossRef]
- Satzinger, K.J.; Zhong, Y.P.; Chang, H.S.; Peairs, G.A.; Bienfait, A.; Chou, M.H.; Cleland, A.Y.; Conner, C.R.; Dumur, É.; Grebel, J.; et al. Quantum control of surface acoustic-wave phonons. Nature 2018, 563, 661–665. [Google Scholar] [CrossRef]
- Mahan, G.D. Many-Particle Physics; Plenum Press: New York, NY, USA, 1981. [Google Scholar]
- Zrenner, A.; Beham, E.; Stufler, S.; Findeis, F.; Bichler, M.; Abstreiter, G. Coherent properties of a two-level system based on a quantum-dot photodiode. Nature 2002, 418, 612. [Google Scholar] [CrossRef]
- Aharonovich, I.; Castelletto, S.; Simpson, D.A.; Su, C.H.; Greentree, A.D.; Prawer, S. Diamond-based single-photon emitters. Prog. Phys. 2011, 74, 076501. [Google Scholar] [CrossRef]
- Wigger, D.; Karakhanyan, V.; Schneider, C.; Kamp, M.; Höfling, S.; Machnikowski, P.; Kuhn, T.; Kasprzak, J. Acoustic phonon sideband dynamics during polaron formation in a single quantum dot. Opt. Lett. 2020, 45, 919–922. [Google Scholar] [CrossRef] [PubMed]
- Roca, E.; Trallero-Giner, C.; Cardona, M. Polar optical vibrational modes in quantum dots. Phys. Rev. B 1994, 49, 13704. [Google Scholar] [CrossRef] [PubMed]
- Gali, A.; Simon, T.; Lowther, J.E. An ab initio study of local vibration modes of the nitrogen-vacancy center in diamond. New J. Phys. 2011, 13, 025016. [Google Scholar] [CrossRef]
- Debald, S.; Brandes, T.; Kramer, B. Control of dephasing and phonon emission in coupled quantum dots. Phys. Rev. B 2002, 66, 041301. [Google Scholar] [CrossRef]
- Munsch, M.; Kuhlmann, A.V.; Cadeddu, D.; Gérard, J.M.; Claudon, J.; Poggio, M.; Warburton, R.J. Resonant driving of a single photon emitter embedded in a mechanical oscillator. Nat. Commun. 2017, 8, 76. [Google Scholar] [CrossRef]
- Ferry, D.K. Semiconductors; Macmillan: New York, NY, USA, 1991. [Google Scholar]
- Munn, R.W.; Silbey, R. Theory of exciton transport with quadratic exciton–phonon coupling. J. Chem. Phys. 1978, 68, 2439–2450. [Google Scholar] [CrossRef]
- Muljarov, E.A.; Zimmermann, R. Dephasing in quantum dots: Quadratic coupling to acoustic phonons. Phys. Rev. Lett. 2004, 93, 237401. [Google Scholar] [CrossRef]
- Machnikowski, P. Change of decoherence scenario and appearance of localization due to reservoir anharmonicity. Phys. Rev. Lett. 2006, 96, 140405. [Google Scholar] [CrossRef]
- Chenu, A.; Shiau, S.Y.; Combescot, M. Two-level system coupled to phonons: Full analytical solution. Phys. Rev. B 2019, 99, 014302. [Google Scholar] [CrossRef]
- Duke, C.B.; Mahan, G.D. Phonon-broadened impurity spectra. I. Density of states. Phys. Rev. 1965, 139, A1965. [Google Scholar] [CrossRef]
- Stock, E.; Dachner, M.R.; Warming, T.; Schliwa, A.; Lochmann, A.; Hoffmann, A.; Toropov, A.I.; Bakarov, A.K.; Derebezov, I.A.; Richter, M.; et al. Acoustic and optical phonon scattering in a single In (Ga) As quantum dot. Phys. Rev. B 2011, 83, 041304. [Google Scholar] [CrossRef]
- Wigger, D.; Schneider, C.; Gerhardt, S.; Kamp, M.; Höfling, S.; Kuhn, T.; Kasprzak, J. Rabi oscillations of a quantum dot exciton coupled to acoustic phonons: Coherence and population readout. Optica 2018, 5, 1442–1450. [Google Scholar] [CrossRef]
- Ramsay, A.J.; Godden, T.M.; Boyle, S.J.; Gauger, E.M.; Nazir, A.; Lovett, B.W.; Fox, A.M.; Skolnick, M.S. Phonon-induced Rabi-frequency renormalization of optically driven single InGaAs/GaAs quantum dots. Phys. Rev. Lett. 2010, 105, 177402. [Google Scholar] [CrossRef]
- Hahn, T.; Groll, D.; Kuhn, T.; Wigger, D. Influence of excited state decay and dephasing on phonon quantum state preparation. Phys. Rev. B 2019, 100, 024306. [Google Scholar] [CrossRef]
- Auffeves, A.; Richard, M. Optical driving of macroscopic mechanical motion by a single two-level system. Phys. Rev. A 2014, 90, 023818. [Google Scholar] [CrossRef]
- Schleich, W.P. Quantum Optics in Phase Space; John Wiley & Sons: Berlin, Germany, 2011. [Google Scholar]
- Gerry, C.; Knight, P.L. Introductory Quantum Optics; Cambridge University Press: Cambridge, UK, 2005. [Google Scholar]
- Von Neumann, J. Mathematische Grundlagen der Quantenmechanik; Springer: Berlin, Germany, 1996; Volume 2. [Google Scholar]
- Wehrl, A. General properties of entropy. Rev. Mod. Phys. 1978, 50, 221. [Google Scholar] [CrossRef]
- Manfredi, G.; Feix, M.R. Entropy and Wigner functions. Phys. Rev. E 2000, 62, 4665. [Google Scholar] [CrossRef]
- Brune, M.; Haroche, S.; Raimond, J.M.; Davidovich, L.; Zagury, N. Manipulation of photons in a cavity by dispersive atom-field coupling: Quantum-nondemolition measurements and generation of ‘‘Schrödinger cat’’states. Phys. Rev. A 1992, 45, 5193. [Google Scholar] [CrossRef]
- Ourjoumtsev, A.; Jeong, H.; Tualle-Brouri, R.; Grangier, P. Generation of optical ‘Schrödinger cats’ from photon number states. Nature 2007, 448, 784–786. [Google Scholar] [CrossRef]
- Deleglise, S.; Dotsenko, I.; Sayrin, C.; Bernu, J.; Brune, M.; Raimond, J.M.; Haroche, S. Reconstruction of non-classical cavity field states with snapshots of their decoherence. Nature 2008, 455, 510. [Google Scholar] [CrossRef] [PubMed]








© 2020 by the authors. Licensee MDPI, Basel, Switzerland. This article is an open access article distributed under the terms and conditions of the Creative Commons Attribution (CC BY) license (http://creativecommons.org/licenses/by/4.0/).
Share and Cite
Hahn, T.; Wigger, D.; Kuhn, T. Entropy Dynamics of Phonon Quantum States Generated by Optical Excitation of a Two-Level System. Entropy 2020, 22, 286. https://doi.org/10.3390/e22030286
Hahn T, Wigger D, Kuhn T. Entropy Dynamics of Phonon Quantum States Generated by Optical Excitation of a Two-Level System. Entropy. 2020; 22(3):286. https://doi.org/10.3390/e22030286
Chicago/Turabian StyleHahn, Thilo, Daniel Wigger, and Tilmann Kuhn. 2020. "Entropy Dynamics of Phonon Quantum States Generated by Optical Excitation of a Two-Level System" Entropy 22, no. 3: 286. https://doi.org/10.3390/e22030286
APA StyleHahn, T., Wigger, D., & Kuhn, T. (2020). Entropy Dynamics of Phonon Quantum States Generated by Optical Excitation of a Two-Level System. Entropy, 22(3), 286. https://doi.org/10.3390/e22030286

