A Systematic Review of Statistical and Machine Learning Methods for Electrical Power Forecasting with Reported MAPE Score
Abstract
:1. Introduction
Motivation and Scope of the Review
- (I) The models that tend to provide precision in electric power forecasts according to the literature.
- (II) Exogenous sources that tend to lead to accurate forecasting of electrical energy according to the literature.
- (III) Relationships between the times of forecasting and the accuracy of existing models.
2. Theoretical and Referential Framework
2.1. Selection Criteria
2.2. Statistical Indicators of Accuracy in Electric Power Forecasting
3. Description of the Dataset
3.1. Forecasting Horizon
3.2. Exogenous Influence
4. Classes of Forecasting Models
4.1. Classical Statistical Models
4.2. Classical Regression in the Time Series Context
4.3. Autoregressive Integrated Moving Average
4.4. Machine Learning (ML) Models
4.4.1. Artificial Neural Networks (ANN)
4.4.2. Recurrent Neural Networks (RNN)
4.4.3. Fuzzy Neural Network-Based Forecasting Methods
4.4.4. Support Vector Machines (SVMs)
5. Evaluation of Model Accuracy
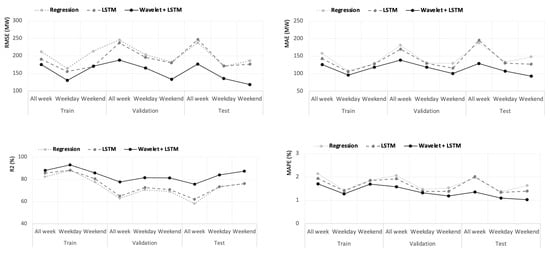
6. Case Study
7. Discussion and Conclusions
Author Contributions
Funding
Acknowledgments
Conflicts of Interest
Abbreviations
| Nomenclature | |||
| Artificial bee colony | ABC | Gray model | GM |
| Ant Colony Optimization | ACO | Gross domestic product | GDP |
| Adaptive Neuro Fuzzy Inference System | ANFIS | Hybrid Monte Carlo | HCM |
| Artificial Neural Network | ANN | Humidity | HM |
| Autoregressive Integrated Moving Aevrage | ARIMA | Horizontal Radiation | HR |
| Bayesian Clustering by Dynamics | BCD | Holt Winters | HW |
| Bayesian neural network | BNN | Jaya optimization algorithm | JOA |
| Biogeography based optimization | BOA | K-nearest neighbors | KNN |
| Back propagation | BP | Long short term memory | LSTM |
| Calendar information | CI | Number of subscribers | NS |
| Convolution Neural Network | CNN | Numerical Weather Prediction | NWP |
| Cuckoo Search Algorithm | COA | Principal component analysis | PCA |
| Consumer Price Index | CPI | Population | POP |
| Deep Belief Network | DBN | Air pressure | PRS |
| Dew point | DP | Particle Swarm Optimization | PSO |
| Evolutionary Algorithm | EA | Radial basis function network | RBF |
| Extreme learning machine | ELM | Rainfall | RFL |
| Electricity price | EP | Rainy time | RT |
| Elman Recurrent Neural Network | ERNN | Recurrent Neural Network | RNN |
| Exponential smoothing | ES | Regression Analysis | RA |
| Exports | EXP | Support Vector Regression | SVR |
| Fuzzy Neural Network | FNN | Temperature | TM |
| Gaussian Process | GP | Wind direction | WDD |
| Genetic algorithm | GA | Wind speed | WS |
| Generalized Additive Model | GAM | Wavelet theory | WT |
Appendix A

References
- Taylor, J.W.; De Menezes, L.M.; McSharry, P.E. A comparison of univariate methods for forecasting electricity demand up to a day ahead. Int. J. Forecast. 2006, 22, 1–16. [Google Scholar] [CrossRef]
- Banos, R.; Manzano-Agugliaro, F.; Montoya, F.; Gil, C.; Alcayde, A.; Gómez, J. Optimization methods applied to renewable and sustainable energy: A review. Renew. Sustain. Energy Rev. 2011, 15, 1753–1766. [Google Scholar] [CrossRef]
- Sharma, A.; Kakkar, A. Forecasting daily global solar irradiance generation using machine learning. Renew. Sustain. Energy Rev. 2018, 82, 2254–2269. [Google Scholar] [CrossRef]
- Li, J.; Ward, J.K.; Tong, J.; Collins, L.; Platt, G. Machine learning for solar irradiance forecasting of photovoltaic system. Renew. Energy 2016, 90, 542–553. [Google Scholar] [CrossRef]
- Rahman, M.N.; Esmailpour, A.; Zhao, J. Machine learning with big data an efficient electricity generation forecasting system. Big Data Res. 2016, 5, 9–15. [Google Scholar] [CrossRef]
- Al-Musaylh, M.S.; Deo, R.C.; Adamowski, J.F.; Li, Y. Short-term electricity demand forecasting using machine learning methods enriched with ground-based climate and ECMWF Reanalysis atmospheric predictors in southeast Queensland, Australia. Renew. Sustain. Energy Rev. 2019, 113, 109293. [Google Scholar] [CrossRef]
- Kim, S.G.; Jung, J.Y.; Sim, M.K. A Two-Step Approach to Solar Power Generation Prediction Based on Weather Data Using Machine Learning. Sustainability 2019, 11, 1501. [Google Scholar] [CrossRef] [Green Version]
- Abedinia, O.; Raisz, D.; Amjady, N. Effective prediction model for Hungarian small-scale solar power output. IET Renew. Power Gener. 2017, 11, 1648–1658. [Google Scholar] [CrossRef]
- Abuella, M.; Chowdhury, B. Improving combined solar power forecasts using estimated ramp rates: Data-driven post-processing approach. IET Renew. Power Gener. 2018, 12, 1127–1135. [Google Scholar] [CrossRef]
- Yang, Y.; Chen, Y.; Wang, Y.; Li, C.; Li, L. Modelling a combined method based on ANFIS and neural network improved by DE algorithm: A case study for short-term electricity demand forecasting. Appl. Soft Comput. 2016, 49, 663–675. [Google Scholar] [CrossRef]
- Fiot, J.B.; Dinuzzo, F. Electricity demand forecasting by multi-task learning. IEEE Trans. Smart Grid 2016, 9, 544–551. [Google Scholar] [CrossRef] [Green Version]
- Wang, F.; Yu, Y.; Zhang, Z.; Li, J.; Zhen, Z.; Li, K. Wavelet decomposition and convolutional LSTM networks based improved deep learning model for solar irradiance forecasting. Appl. Sci. 2018, 8, 1286. [Google Scholar] [CrossRef] [Green Version]
- Liu, Y.; Guan, L.; Hou, C.; Han, H.; Liu, Z.; Sun, Y.; Zheng, M. Wind Power Short-Term Prediction Based on LSTM and Discrete Wavelet Transform. Appl. Sci. 2019, 9, 1108. [Google Scholar] [CrossRef] [Green Version]
- Jin, X.; Dong, Y.; Wu, J.; Wang, J. An improved combined forecasting method for electric power load based on autoregressive integrated moving average model. In Proceedings of the 2010 International Conference of Information Science and Management Engineering, Xi’an, China, 7–8 August 2010; Volume 2, pp. 476–480. [Google Scholar]
- Sarkodie, S.A. Estimating Ghana’s electricity consumption by 2030: An ARIMA forecast. Energy Sources Part B Econ. Plan. Policy 2017, 12, 936–944. [Google Scholar] [CrossRef]
- Barzola-Monteses, J.; Mite-León, M.; Espinoza-Andaluz, M.; Gómez-Romero, J.; Fajardo, W. Time Series Analysis for Predicting Hydroelectric Power Production: The Ecuador Case. Sustainability 2019, 11, 6539. [Google Scholar] [CrossRef] [Green Version]
- Filik, U.B.; Gerek, O.N.; Kurban, M. Hourly forecasting of long term electric energy demand using a novel modeling approach. In Proceedings of the 2009 Fourth International Conference on Innovative Computing, Information and Control (ICICIC), Kaohsiung, Taiwan, 7–9 December 2009; pp. 115–118. [Google Scholar]
- Filik, Ü.B.; Gerek, Ö.N.; Kurban, M. A novel modeling approach for hourly forecasting of long-term electric energy demand. Energy Convers. Manag. 2011, 52, 199–211. [Google Scholar] [CrossRef]
- Liang, J.; Liang, Y. Analysis and modeling for China’s electricity demand forecasting based on a new mathematical hybrid method. Information 2017, 8, 33. [Google Scholar] [CrossRef] [Green Version]
- Khan, A.R.; Mahmood, A.; Safdar, A.; Khan, Z.A.; Khan, N.A. Load forecasting, dynamic pricing and DSM in smart grid: A review. Renew. Sustain. Energy Rev. 2016, 54, 1311–1322. [Google Scholar] [CrossRef]
- Mosavi, A.; Salimi, M.; Faizollahzadeh Ardabili, S.; Rabczuk, T.; Shamshirband, S.; Varkonyi-Koczy, A.R. State of the art of machine learning models in energy systems, a systematic review. Energies 2019, 12, 1301. [Google Scholar] [CrossRef] [Green Version]
- Qasem, S.N.; Samadianfard, S.; Sadri Nahand, H.; Mosavi, A.; Shamshirband, S.; Chau, K.w. Estimating daily dew point temperature using machine learning algorithms. Water 2019, 11, 582. [Google Scholar] [CrossRef] [Green Version]
- Kalogirou, S.A. Applications of artificial neural-networks for energy systems. Appl. Energy 2000, 67, 17–35. [Google Scholar] [CrossRef]
- Voyant, C.; Notton, G.; Kalogirou, S.; Nivet, M.L.; Paoli, C.; Motte, F.; Fouilloy, A. Machine learning methods for solar radiation forecasting: A review. Renew. Energy 2017, 105, 569–582. [Google Scholar] [CrossRef]
- Blaga, R.; Sabadus, A.; Stefu, N.; Dughir, C.; Paulescu, M.; Badescu, V. A current perspective on the accuracy of incoming solar energy forecasting. Prog. Energy Combust. Sci. 2019, 70, 119–144. [Google Scholar] [CrossRef]
- Verdejo, H.; Awerkin, A.; Becker, C.; Olguin, G. Statistic linear parametric techniques for residential electric energy demand forecasting. A review and an implementation to Chile. Renew. Sustain. Energy Rev. 2017, 74, 512–521. [Google Scholar] [CrossRef]
- Chen, J.F.; Do, Q.H.; Nguyen, T.V.A.; Doan, T.T.H. Forecasting monthly electricity demands by wavelet neuro-fuzzy system optimized by heuristic algorithms. Information 2018, 9, 51. [Google Scholar] [CrossRef] [Green Version]
- Lewis, C.D. Industrial and Business Forecasting Methods: A Practical Guide to Exponential Smoothing and Curve Fitting; Butterworth-Heinemann: Oxford, UK, 1982. [Google Scholar]
- Zhao, H.; Guo, S. An optimized grey model for annual power load forecasting. Energy 2016, 107, 272–286. [Google Scholar] [CrossRef]
- Ma, X.; Liu, Z. Application of a novel time-delayed polynomial grey model to predict the natural gas consumption in China. J. Comput. Appl. Math. 2017, 324, 17–24. [Google Scholar] [CrossRef]
- Lee, Y.S.; Tong, L.I. Forecasting energy consumption using a grey model improved by incorporating genetic programming. Energy Convers. Manag. 2011, 52, 147–152. [Google Scholar] [CrossRef]
- Wang, J.; Du, P.; Lu, H.; Yang, W.; Niu, T. An improved grey model optimized by multi-objective ant lion optimization algorithm for annual electricity consumption forecasting. Appl. Soft Comput. 2018, 72, 321–337. [Google Scholar] [CrossRef]
- Chang, P.C.; Fan, C.Y.; Lin, J.J. Monthly electricity demand forecasting based on a weighted evolving fuzzy neural network approach. Int. J. Electr. Power Energy Syst. 2011, 33, 17–27. [Google Scholar] [CrossRef]
- Dedinec, A.; Filiposka, S.; Dedinec, A.; Kocarev, L. Deep belief network based electricity load forecasting: An analysis of Macedonian case. Energy 2016, 115, 1688–1700. [Google Scholar] [CrossRef]
- Chang, G.; Lu, H.; Chang, Y.; Lee, Y. An improved neural network-based approach for short-term wind speed and power forecast. Renew. Energy 2017, 105, 301–311. [Google Scholar] [CrossRef]
- Kaboli, S.H.A.; Selvaraj, J.; Rahim, N. Long-term electric energy consumption forecasting via artificial cooperative search algorithm. Energy 2016, 115, 857–871. [Google Scholar] [CrossRef]
- El-Telbany, M.; El-Karmi, F. Short-term forecasting of Jordanian electricity demand using particle swarm optimization. Electr. Power Syst. Res. 2008, 78, 425–433. [Google Scholar] [CrossRef]
- Ardakani, F.; Ardehali, M. Long-term electrical energy consumption forecasting for developing and developed economies based on different optimized models and historical data types. Energy 2014, 65, 452–461. [Google Scholar] [CrossRef]
- Tsekouras, G.J.; Hatziargyriou, N.D.; Dialynas, E.N. An optimized adaptive neural network for annual midterm energy forecasting. IEEE Trans. Power Syst. 2006, 21, 385–391. [Google Scholar] [CrossRef]
- López, M.; Valero, S.; Senabre, C.; Aparicio, J.; Gabaldon, A. Application of SOM neural networks to short-term load forecasting: The Spanish electricity market case study. Electr. Power Syst. Res. 2012, 91, 18–27. [Google Scholar] [CrossRef]
- Setiawan, A.; Koprinska, I.; Agelidis, V.G. Very short-term electricity load demand forecasting using support vector regression. In Proceedings of the 2009 International Joint Conference on Neural Networks, Atlanta, GA, USA, 14–19 June 2009; pp. 2888–2894. [Google Scholar]
- Al-Qahtani, F.H.; Crone, S.F. Multivariate k-nearest neighbour regression for time series data—A novel algorithm for forecasting UK electricity demand. In Proceedings of the 2013 International Joint Conference on Neural Networks (IJCNN), Dallas, TX, USA, 4–9 August 2013; pp. 1–8. [Google Scholar]
- Guo, Z.; Zhou, K.; Zhang, X.; Yang, S. A deep learning model for short-term power load and probability density forecasting. Energy 2018, 160, 1186–1200. [Google Scholar] [CrossRef]
- Ghanbari, A.; Naghavi, A.; Ghaderi, S.; Sabaghian, M. Artificial Neural Networks and regression approaches comparison for forecasting Iran’s annual electricity load. In Proceedings of the 2009 International Conference on Power Engineering, Energy and Electrical Drives, Lisbon, Portugal, 18–20 March 2009; pp. 675–679. [Google Scholar]
- Elias, C.N.; Hatziargyriou, N.D. An annual midterm energy forecasting model using fuzzy logic. IEEE Trans. Power Syst. 2009, 24, 469–478. [Google Scholar] [CrossRef]
- Sahay, K.B.; Tripathi, M. Day ahead hourly load forecast of PJM electricity market and ISO New England market by using artificial neural network. In Proceedings of the ISGT 2014, Istanbul, Turkey, 15–18 October 2014; pp. 1–5. [Google Scholar]
- Wang, J.; Zhou, Y.; Chen, X. Electricity load forecasting based on support vector machines and simulated annealing particle swarm optimization algorithm. In Proceedings of the 2007 IEEE International Conference on Automation and Logistics, Jinan, China, 18–21 August 2007; pp. 2836–2841. [Google Scholar]
- Ehsan, R.M.; Simon, S.P.; Venkateswaran, P. Day-ahead forecasting of solar photovoltaic output power using multilayer perceptron. Neural Comput. Appl. 2017, 28, 3981–3992. [Google Scholar] [CrossRef]
- De Leone, R.; Pietrini, M.; Giovannelli, A. Photovoltaic energy production forecast using support vector regression. Neural Comput. Appl. 2015, 26, 1955–1962. [Google Scholar] [CrossRef] [Green Version]
- Vahabie, A.; Yousefi, M.R.; Araabi, B.; Lucas, C.; Barghinia, S.; Ansarimehr, P. Mutual information based input selection in neuro-fuzzy modeling for short term load forecasting of iran national power system. In Proceedings of the 2007 IEEE International Conference on Control and Automation, Guangzhou, China, 30 May–1 June 2007; pp. 2710–2715. [Google Scholar]
- Ouyang, T.; He, Y.; Li, H.; Sun, Z.; Baek, S. Modeling and forecasting short-term power load with copula model and deep belief network. IEEE Trans. Emerg. Top. Comput. Intell. 2019, 3, 127–136. [Google Scholar] [CrossRef] [Green Version]
- Barzamini, R.; Menhaj, M.; Khosravi, A.; Kamalvand, S. Short term load forecasting for iran national power system and its regions using multi layer perceptron and fuzzy inference systems. In Proceedings of the 2005 IEEE International Joint Conference on Neural Networks, Montreal, QC, Canada, 31 July–4 August 2005; Volume 4, pp. 2619–2624. [Google Scholar]
- Dilhani, M.S.; Jeenanunta, C. Effect of Neural Network structure for daily electricity load forecasting. In Proceedings of the 2017 Moratuwa Engineering Research Conference (MERCon), Moratuwa, Sri Lanka, 29–31 May 2017; pp. 419–424. [Google Scholar]
- Chen, J.F.; Lo, S.K.; Do, Q.H. Forecasting monthly electricity demands: An application of neural networks trained by heuristic algorithms. Information 2017, 8, 31. [Google Scholar] [CrossRef] [Green Version]
- Azadeh, A.; Ghaderi, S.F.; Sheikhalishahi, M.; Nokhandan, B.P. Optimization of short load forecasting in electricity market of Iran using artificial neural networks. Optim. Eng. 2014, 15, 485–508. [Google Scholar] [CrossRef]
- Raza, M.Q.; Baharudin, Z.; Nallagownden, P. A comparative analysis of PSO and LM based NN short term load forecast with exogenous variables for smart power generation. In Proceedings of the 2014 5th International Conference on Intelligent and Advanced Systems (ICIAS), Kuala Lumpur, Malaysia, 3–5 June 2014; pp. 1–6.
- Ishik, M.Y.; Göze, T.; Özcan, İ.; Güngör, V.Ç.; Aydın, Z. Short term electricity load forecasting: A case study of electric utility market in Turkey. In Proceedings of the 2015 3rd International Istanbul Smart Grid Congress and Fair (ICSG), Istanbul, Turkey, 29–30 April 2015; pp. 1–5. [Google Scholar]
- Sahay, K.B.; Kumar, N.; Tripathi, M. Short-term load forecasting of Ontario Electricity Market by considering the effect of temperature. In Proceedings of the 2014 6th IEEE Power India International Conference (PIICON), Delhi, India, 5–7 December 2014; pp. 1–6. [Google Scholar]
- Azadeh, A.; Ghadrei, S.; Nokhandan, B.P. One day ahead load forecasting for electricity market of Iran by ANN. In Proceedings of the 2009 International Conference on Power Engineering, Energy and Electrical Drives, Lisbon, Portugal, 18–20 March 2009; pp. 670–674. [Google Scholar]
- Akole, M.; Tyagi, B. Artificial neural network based short term load forecasting for restructured power system. In Proceedings of the 2009 International Conference on Power Systems, Kharagpur, India, 27–29 December 2009; pp. 1–7. [Google Scholar]
- Chuang, F.K.; Hung, C.Y.; Chang, C.Y.; Kuo, K.C. Deploying arima and artificial neural networks models to predict energy consumption in Taiwan. Sens. Lett. 2013, 11, 2333–2340. [Google Scholar] [CrossRef]
- Kavanagh, K.; Barrett, M.; Conlon, M. Short-term electricity load forecasting for the integrated single electricity market (I-SEM). In Proceedings of the 2017 52nd International Universities Power Engineering Conference (UPEC), Heraklion, Greece, 28–31 August 2017; pp. 1–7. [Google Scholar]
- Sarkar, M.R.; Rabbani, M.G.; Khan, A.R.; Hossain, M.M. Electricity demand forecasting of Rajshahi City in Bangladesh using fuzzy linear regression model. In Proceedings of the 2015 International Conference on Electrical Engineering and Information Communication Technology (ICEEICT), Savar, Dhaka, Bangladesh, 21–23 May 2015; pp. 1–3. [Google Scholar]
- Kelo, S.M.; Dudul, S.V. Development of an intelligent system for short-term electrical power load forecasting in Maharashtra state. In Proceedings of the 2008 Joint International Conference on Power System Technology and IEEE Power India Conference, New Delhi, India, 12–15 October 2008; pp. 1–8. [Google Scholar]
- Gireeshma, K.; Atla, C.R.; Rao, K.L. New Correlation Technique for RE Power Forecasting using Neural Networks. In Proceedings of the 2019 Fifth International Conference on Electrical Energy Systems (ICEES), Chennai, India, 21–22 February 2019; pp. 1–6. [Google Scholar]
- Barzamini, R.; Menhaj, M.; Kamalvand, S.; Tajbakhsh, A. Short term load forecasting of Iran national power system using artificial neural network generation two. In Proceedings of the 2005 IEEE Russia Power Tech, St. Petersburg, Russia, 27–30 June 2005; pp. 1–5. [Google Scholar]
- Viet, D.T.; Van Phuong, V.; Duong, M.Q.; Kies, A.; Schyska, B.U.; Wu, Y.K. A Short-Term Wind Power Forecasting Tool for Vietnamese Wind Farms and Electricity Market. In Proceedings of the 2018 4th International Conference on Green Technology and Sustainable Development (GTSD), Ho Chi Minh City, Vietnam, 23–24 November 2018; pp. 130–135. [Google Scholar]
- Sakunthala, K.; Iniyan, S.; Mahalingam, S. Forecasting energy consumption in Tamil Nadu using hybrid heuristic based regression model. Therm. Sci. 2019, 23, 2885–2894. [Google Scholar] [CrossRef]
- Siridhipakul, C.; Vateekul, P. Multi-step Power Consumption Forecasting in Thailand Using Dual-Stage Attentional LSTM. In Proceedings of the 2019 11th International Conference on Information Technology and Electrical Engineering (ICITEE), Pattaya, Thailand, 10–11 October 2019; pp. 1–6. [Google Scholar]
- Tanidir, Ö.; Tör, O. Accuracy of ANN based day-ahead load forecasting in Turkish power system: Degrading and improving factors. Neural Netw. World 2015, 25, 443. [Google Scholar] [CrossRef] [Green Version]
- Liu, J.; Wang, X.; Zhao, Y.; Dong, B.; Lu, K.; Wang, R. Heating Load Forecasting for Combined Heat and Power Plants Via Strand-Based LSTM. IEEE Access 2020, 8, 33360–33369. [Google Scholar] [CrossRef]
- Chen, S.; Huang, J. Forecasting China’s primary energy demand based on an improved AI model. Chin. J. Popul. Resour. Environ. 2018, 16, 36–48. [Google Scholar] [CrossRef]
- Benaouda, D.; Murtagh, F.; Starck, J.L.; Renaud, O. Wavelet-based nonlinear multiscale decomposition model for electricity load forecasting. Neurocomputing 2006, 70, 139–154. [Google Scholar] [CrossRef]
- Rahmani, R.; Yusof, R.; Seyedmahmoudian, M.; Mekhilef, S. Hybrid technique of ant colony and particle swarm optimization for short term wind energy forecasting. J. Wind. Eng. Ind. Aerodyn. 2013, 123, 163–170. [Google Scholar] [CrossRef]
- Amjady, N.; Keynia, F. Mid-term load forecasting of power systems by a new prediction method. Energy Convers. Manag. 2008, 49, 2678–2687. [Google Scholar] [CrossRef]
- Fan, S.; Chen, L.; Lee, W.J. Machine learning based switching model for electricity load forecasting. Energy Convers. Manag. 2008, 49, 1331–1344. [Google Scholar] [CrossRef]
- Xiao, L.; Wang, J.; Yang, X.; Xiao, L. A hybrid model based on data preprocessing for electrical power forecasting. Int. J. Electr. Power Energy Syst. 2015, 64, 311–327. [Google Scholar] [CrossRef]
- Raza, M.Q.; Nadarajah, M.; Hung, D.Q.; Baharudin, Z. An intelligent hybrid short-term load forecasting model for smart power grids. Sustain. Cities Soc. 2017, 31, 264–275. [Google Scholar] [CrossRef] [Green Version]
- Laouafi, A.; Mordjaoui, M.; Laouafi, F.; Boukelia, T.E. Daily peak electricity demand forecasting based on an adaptive hybrid two-stage methodology. Int. J. Electr. Power Energy Syst. 2016, 77, 136–144. [Google Scholar] [CrossRef]
- Ghanbari, A.; Ghaderi, S.F.; Azadeh, M.A. Adaptive Neuro-Fuzzy Inference System vs. Regression based approaches for annual electricity load forecasting. In Proceedings of the 2010 2nd International Conference on Computer and Automation Engineering (ICCAE), Singapore, 26–28 February 2010; Volume 5, pp. 26–30. [Google Scholar]
- Brodowski, S.; Bielecki, A.; Filocha, M. A hybrid system for forecasting 24-h power load profile for Polish electric grid. Appl. Soft Comput. 2017, 58, 527–539. [Google Scholar] [CrossRef]
- Anand, A.; Suganthi, L. Hybrid GA-PSO optimization of artificial neural network for forecasting electricity demand. Energies 2018, 11, 728. [Google Scholar] [CrossRef] [Green Version]
- Yeom, C.U.; Kwak, K.C. Short-term electricity-load forecasting using a TSK-based extreme learning machine with knowledge representation. Energies 2017, 10, 1613. [Google Scholar] [CrossRef]
- Mujeeb, S.; Alghamdi, T.A.; Ullah, S.; Fatima, A.; Javaid, N.; Saba, T. Exploiting Deep Learning for Wind Power Forecasting Based on Big Data Analytics. Appl. Sci. 2019, 9, 4417. [Google Scholar] [CrossRef] [Green Version]
- Barghinia, S.; Kamankesh, S.; Mahdavi, N.; Vahabie, A.; Gorji, A. A combination method for short term load forecasting used in Iran electricity market by NeuroFuzzy, Bayesian and finding similar days methods. In Proceedings of the 2008 5th International Conference on the European Electricity Market, Lisbon, Portugal, 28–30 May 2008; pp. 1–6. [Google Scholar]
- Singh, P.; Mishra, K.; Dwivedi, P. Enhanced hybrid model for electricity load forecast through artificial neural network and Jaya algorithm. In Proceedings of the 2017 International Conference on Intelligent Computing and Control Systems (ICICCS), Madurai, India, 15–16 June 2017; pp. 115–120. [Google Scholar]
- Kumaran, J.; Ravi, G. Long-term sector-wise electrical energy forecasting using artificial neural network and biogeography-based optimization. Electr. Power Compon. Syst. 2015, 43, 1225–1235. [Google Scholar] [CrossRef]
- Zhou, J.; Xu, X.; Huo, X.; Li, Y. Forecasting models for wind power using extreme-point symmetric mode decomposition and artificial neural networks. Sustainability 2019, 11, 650. [Google Scholar] [CrossRef] [Green Version]
- Kasule, A.; Ayan, K. Forecasting Uganda’s net electricity consumption using a hybrid PSO-ABC Algorithm. Arab. J. Sci. Eng. 2019, 44, 3021–3031. [Google Scholar] [CrossRef]
- Li, P.; Zhou, K.; Lu, X.; Yang, S. A hybrid deep learning model for short-term PV power forecasting. Appl. Energy 2020, 259, 114216. [Google Scholar] [CrossRef]
- Kaysal, A.; Köroglu, S.; Oguz, Y.; Kaysal, K. Artificial Neural Networks and Adaptive Neuro-Fuzzy Inference Systems Approaches to Forecast the Electricity Data for Load Demand, an Analysis of Dinar District Case. In Proceedings of the 2018 2nd International Symposium on Multidisciplinary Studies and Innovative Technologies (ISMSIT), Ankara, Turkey, 19–21 October 2018; pp. 1–6. [Google Scholar]
- Soares, L.J.; Medeiros, M.C. Modeling and forecasting short-term electricity load: A comparison of methods with an application to Brazilian data. Int. J. Forecast. 2008, 24, 630–644. [Google Scholar] [CrossRef]
- Almeshaiei, E.; Soltan, H. A methodology for electric power load forecasting. Alex. Eng. J. 2011, 50, 137–144. [Google Scholar] [CrossRef] [Green Version]
- Hamzacebi, C.; Es, H.A. Forecasting the annual electricity consumption of Turkey using an optimized grey model. Energy 2014, 70, 165–171. [Google Scholar] [CrossRef]
- Zhao, W.; Wang, J.; Lu, H. Combining forecasts of electricity consumption in China with time-varying weights updated by a high-order Markov chain model. Omega 2014, 45, 80–91. [Google Scholar] [CrossRef]
- Wang, C.h.; Grozev, G.; Seo, S. Decomposition and statistical analysis for regional electricity demand forecasting. Energy 2012, 41, 313–325. [Google Scholar] [CrossRef]
- Yukseltan, E.; Yucekaya, A.; Bilge, A.H. Forecasting electricity demand for Turkey: Modeling periodic variations and demand segregation. Appl. Energy 2017, 193, 287–296. [Google Scholar] [CrossRef]
- Koprinska, I.; Rana, M.; Agelidis, V.G. Yearly and seasonal models for electricity load forecasting. In Proceedings of the 2011 International Joint Conference on Neural Networks, San Jose, CA, USA, 31 July–5 August 2011; pp. 1474–1481. [Google Scholar]
- Rallapalli, S.R.; Ghosh, S. Forecasting monthly peak demand of electricity in India—A critique. Energy Policy 2012, 45, 516–520. [Google Scholar] [CrossRef]
- Damrongkulkamjorn, P.; Churueang, P. Monthly energy forecasting using decomposition method with application of seasonal ARIMA. In Proceedings of the 2005 International Power Engineering Conference, Singapore, 29 November–2 December 2005; pp. 1–229. [Google Scholar]
- Alamaniotis, M.; Bargiotas, D.; Tsoukalas, L.H. Towards smart energy systems: Application of kernel machine regression for medium term electricity load forecasting. SpringerPlus 2016, 5, 58. [Google Scholar] [CrossRef] [PubMed] [Green Version]
- Koprinska, I.; Sood, R.; Agelidis, V. Variable selection for five-minute ahead electricity load forecasting. In Proceedings of the 2010 20th International Conference on Pattern Recognition, Istanbul, Turkey, 23–26 August 2010; pp. 2901–2904. [Google Scholar]
- He, H.; Liu, T.; Chen, R.; Xiao, Y.; Yang, J. High frequency short-term demand forecasting model for distribution power grid based on ARIMA. In Proceedings of the 2012 IEEE International Conference on Computer Science and Automation Engineering (CSAE), Zhangjiajie, China, 25–27 May 2012; Volume 3, pp. 293–297. [Google Scholar]
- An, Y.; Zhou, Y.; Li, R. Forecasting India’s Electricity Demand Using a Range of Probabilistic Methods. Energies 2019, 12, 2574. [Google Scholar] [CrossRef] [Green Version]
- Kantanantha, N.; Runsewa, S. Forecasting of electricity demand to reduce the inventory cost of imported coal. In Proceedings of the 2017 4th International Conference on Industrial Engineering and Applications (ICIEA), Nagoya, Japan, 21–23 April 2017; pp. 336–340. [Google Scholar]
- Chen, H.; Li, F.; Wang, Y. Component GARCH-M type models for wind power forecasting. In Proceedings of the 2015 IEEE Power & Energy Society General Meeting, Denver, CO, USA, 26–30 July 2015; pp. 1–5. [Google Scholar]
- Kusakci, A.O.; Ayvaz, B. Electrical energy consumption forecasting for Turkey using grey forecasting technics with rolling mechanism. In Proceedings of the 2015 2nd International Conference on Knowledge-Based Engineering and Innovation (KBEI), Tehran, Iran, 5–6 November 2015; pp. 8–13. [Google Scholar]
- González-Romera, E.; Jaramillo-Morán, M.; Carmona-Fernández, D. Monthly electric energy demand forecasting with neural networks and Fourier series. Energy Convers. Manag. 2008, 49, 3135–3142. [Google Scholar] [CrossRef]
- Cao, G.; Wu, L. Support vector regression with fruit fly optimization algorithm for seasonal electricity consumption forecasting. Energy 2016, 115, 734–745. [Google Scholar] [CrossRef]
- Li, C.; Li, S.; Liu, Y. A least squares support vector machine model optimized by moth-flame optimization algorithm for annual power load forecasting. Appl. Intell. 2016, 45, 1166–1178. [Google Scholar] [CrossRef]
- Koprinska, I.; Rana, M.; Troncoso, A.; Martínez-Álvarez, F. Combining pattern sequence similarity with neural networks for forecasting electricity demand time series. In Proceedings of the 2013 International Joint Conference on Neural Networks (IJCNN), Dallas, TX, USA, 4–9 August 2013; pp. 1–8. [Google Scholar]
- Al-Musaylh, M.S.; Deo, R.C.; Li, Y.; Adamowski, J.F. Two-phase particle swarm optimized-support vector regression hybrid model integrated with improved empirical mode decomposition with adaptive noise for multiple-horizon electricity demand forecasting. Appl. Energy 2018, 217, 422–439. [Google Scholar] [CrossRef]
- Puspitasari, I.; Akbar, M.S.; Lee, M.H. Two-level seasonal model based on hybrid ARIMA-ANFIS for forecasting short-term electricity load in Indonesia. In Proceedings of the 2012 International Conference on Statistics in Science, Business and Engineering (ICSSBE), Langkawi, Kedah, Malaysia, 10–12 September 2012; pp. 1–5.
- Li, W.; Yang, X.; Li, H.; Su, L. Hybrid forecasting approach based on GRNN neural network and SVR machine for electricity demand forecasting. Energies 2017, 10, 44. [Google Scholar] [CrossRef]
- Benaouda, D.; Murtagh, F. Electricity load forecast using neural network trained from wavelet-transformed data. In Proceedings of the 2006 IEEE International Conference on Engineering of Intelligent Systems, Islamabad, Pakistan, 22–23 April 2006; pp. 1–6. [Google Scholar]
- Saroha, S.; Aggarwal, S. Wind power forecasting using wavelet transforms and neural networks with tapped delay. CSEE J. Power Energy Syst. 2018, 4, 197–209. [Google Scholar] [CrossRef]
- Ni, K.; Wang, J.; Tang, G.; Wei, D. Research and Application of a Novel Hybrid Model Based on a Deep Neural Network for Electricity Load Forecasting: A Case Study in Australia. Energies 2019, 12, 2467. [Google Scholar] [CrossRef] [Green Version]
- Jadidi, A.; Menezes, R.; de Souza, N.; de Castro Lima, A.C. Short-Term Electric Power Demand Forecasting Using NSGA II-ANFIS Model. Energies 2019, 12, 1891. [Google Scholar] [CrossRef] [Green Version]
- Panapakidis, I.P.; Christoforidis, G.C.; Asimopoulos, N.; Dagoumas, A.S. Combining wavelet transform and support vector regression model for day-ahead peak load forecasting in the Greek power system. In Proceedings of the 2017 IEEE International Conference on Environment and Electrical Engineering and 2017 IEEE Industrial and Commercial Power Systems Europe (EEEIC/I&CPS Europe), Milan, Italy, 6–9 June 2017; pp. 1–6. [Google Scholar]
- Jiang, W.; Wu, X.; Gong, Y.; Yu, W.; Zhong, X. Holt–Winters smoothing enhanced by fruit fly optimization algorithm to forecast monthly electricity consumption. Energy 2020, 193, 116779. [Google Scholar] [CrossRef]
- Sulandari, W.; Lee, M.H.; Rodrigues, P.C. Indonesian electricity load forecasting using singular spectrum analysis, fuzzy systems and neural networks. Energy 2020, 190, 116408. [Google Scholar] [CrossRef]
- Laouafi, A.; Mordjaoui, M.; Medoued, A.; Boukelia, T.E.; Ganouche, A. Wind power forecasting approach using neuro-fuzzy system combined with wavelet packet decomposition, data preprocessing, and forecast combination framework. Wind Eng. 2017, 41, 235–244. [Google Scholar] [CrossRef]
- Pao, H.T. Forecast of electricity consumption and economic growth in Taiwan by state space modeling. Energy 2009, 34, 1779–1791. [Google Scholar] [CrossRef]
- Vu, D.H.; Muttaqi, K.M.; Agalgaonkar, A. A variance inflation factor and backward elimination based robust regression model for forecasting monthly electricity demand using climatic variables. Appl. Energy 2015, 140, 385–394. [Google Scholar] [CrossRef] [Green Version]
- Tsekouras, G.; Dialynas, E.; Hatziargyriou, N.; Kavatza, S. A non-linear multivariable regression model for midterm energy forecasting of power systems. Electr. Power Syst. Res. 2007, 77, 1560–1568. [Google Scholar] [CrossRef]
- Clements, A.E.; Hurn, A.; Li, Z. Forecasting day-ahead electricity load using a multiple equation time series approach. Eur. J. Oper. Res. 2016, 251, 522–530. [Google Scholar] [CrossRef] [Green Version]
- Kim, M.S. Modeling special-day effects for forecasting intraday electricity demand. Eur. J. Oper. Res. 2013, 230, 170–180. [Google Scholar] [CrossRef]
- Shang, H.L. Functional time series approach for forecasting very short-term electricity demand. J. Appl. Stat. 2013, 40, 152–168. [Google Scholar] [CrossRef]
- Bessec, M.; Fouquau, J. Short-run electricity load forecasting with combinations of stationary wavelet transforms. Eur. J. Oper. Res. 2018, 264, 149–164. [Google Scholar] [CrossRef]
- Chui, F.; Elkamel, A.; Surit, R.; Croiset, E.; Douglas, P. Long-term electricity demand forecasting for power system planning using economic, demographic and climatic variables. Eur. J. Ind. Eng. 2009, 3, 277–304. [Google Scholar] [CrossRef]
- Truong, N.V.; Wang, L.; Wong, P.K. Modelling and short-term forecasting of daily peak power demand in Victoria using two-dimensional wavelet based SDP models. Int. J. Electr. Power Energy Syst. 2008, 30, 511–518. [Google Scholar] [CrossRef]
- Mestekemper, T.; Kauermann, G.; Smith, M.S. A comparison of periodic autoregressive and dynamic factor models in intraday energy demand forecasting. Int. J. Forecast. 2013, 29, 1–12. [Google Scholar] [CrossRef]
- Massidda, L.; Marrocu, M. Use of Multilinear Adaptive Regression Splines and numerical weather prediction to forecast the power output of a PV plant in Borkum, Germany. Sol. Energy 2017, 146, 141–149. [Google Scholar] [CrossRef]
- Duan, L.; Niu, D.; Gu, Z. Long and medium term power load forecasting with multi-level recursive regression analysis. In Proceedings of the 2008 Second International Symposium on Intelligent Information Technology Application, Washington, DC, USA, 20–22 December 2008; Volume 1, pp. 514–518. [Google Scholar]
- Guo, H.; Chen, Q.; Xia, Q.; Kang, C.; Zhang, X. A monthly electricity consumption forecasting method based on vector error correction model and self-adaptive screening method. Int. J. Electr. Power Energy Syst. 2018, 95, 427–439. [Google Scholar] [CrossRef]
- Elamin, N.; Fukushige, M. Modeling and forecasting hourly electricity demand by SARIMAX with interactions. Energy 2018, 165, 257–268. [Google Scholar] [CrossRef]
- Sigauke, C. Forecasting medium-term electricity demand in a South African electric power supply system. J. Energy S. Afr. 2017, 28, 54–67. [Google Scholar] [CrossRef]
- Tanrisever, F.; Derinkuyu, K.; Heeren, M. Forecasting electricity infeed for distribution system networks: An analysis of the Dutch case. Energy 2013, 58, 247–257. [Google Scholar] [CrossRef]
- Bernardi, M.; Petrella, L. Multiple seasonal cycles forecasting model: The Italian electricity demand. Stat. Methods Appl. 2015, 24, 671–695. [Google Scholar] [CrossRef]
- Angelopoulos, D.; Psarras, J.; Siskos, Y. Long-term electricity demand forecasting via ordinal regression analysis: The case of Greece. In Proceedings of the 2017 IEEE Manchester PowerTech, Manchester, UK, 18–22 June 2017; pp. 1–6. [Google Scholar]
- Bermúdez, J.D. Exponential smoothing with covariates applied to electricity demand forecast. Eur. J. Ind. Eng. 2013, 7, 333–349. [Google Scholar] [CrossRef]
- Sigauke, C.; Chikobvu, D. Peak electricity demand forecasting using time series regression models: An application to South African data. J. Stat. Manag. Syst. 2016, 19, 567–586. [Google Scholar] [CrossRef]
- Angelopoulos, D.; Siskos, Y.; Psarras, J. Disaggregating time series on multiple criteria for robust forecasting: The case of long-term electricity demand in Greece. Eur. J. Oper. Res. 2019, 275, 252–265. [Google Scholar] [CrossRef]
- Kumru, M.; Kumru, P.Y. Calendar-based short-term forecasting of daily average electricity demand. In Proceedings of the 2015 International Conference on Industrial Engineering and Operations Management (IEOM), Hyatt Regency, Dubai, 3–5 March 2015; pp. 1–5. [Google Scholar]
- He, Y.; Zheng, Y.; Xu, Q. Forecasting energy consumption in Anhui province of China through two Box-Cox transformation quantile regression probability density methods. Measurement 2019, 136, 579–593. [Google Scholar] [CrossRef]
- İlseven, E.; Göl, M. Medium-term electricity demand forecasting based on MARS. In Proceedings of the 2017 IEEE PES Innovative Smart Grid Technologies Conference Europe (ISGT-Europe), Torino, Italy, 26–29 September 2017; pp. 1–6. [Google Scholar]
- Lebotsa, M.E.; Sigauke, C.; Bere, A.; Fildes, R.; Boylan, J.E. Short term electricity demand forecasting using partially linear additive quantile regression with an application to the unit commitment problem. Appl. Energy 2018, 222, 104–118. [Google Scholar] [CrossRef] [Green Version]
- Cho, H.; Goude, Y.; Brossat, X.; Yao, Q. Modeling and forecasting daily electricity load curves: A hybrid approach. J. Am. Stat. Assoc. 2013, 108, 7–21. [Google Scholar] [CrossRef] [Green Version]
- Sigauke, C.; Chikobvu, D. Prediction of daily peak electricity demand in South Africa using volatility forecasting models. Energy Econ. 2011, 33, 882–888. [Google Scholar] [CrossRef]
- Li, S.; Yang, X.; Li, R. Forecasting China’s coal power installed capacity: A comparison of MGM, ARIMA, GM-ARIMA, and NMGM models. Sustainability 2018, 10, 506. [Google Scholar] [CrossRef] [Green Version]
- He, Y.; Zheng, Y. Short-term power load probability density forecasting based on Yeo-Johnson transformation quantile regression and Gaussian kernel function. Energy 2018, 154, 143–156. [Google Scholar] [CrossRef]
- Cheng, C.T.; Miao, S.M.; Luo, B.; Sun, Y.J. Forecasting monthly energy production of small hydropower plants in ungauged basins using grey model and improved seasonal index. J. Hydroinform. 2017, 19, 993–1008. [Google Scholar] [CrossRef] [Green Version]
- Monteiro, C.; Ramirez-Rosado, I.J.; Fernandez-Jimenez, L.A. Short-term forecasting model for electric power production of small-hydro power plants. Renew. Energy 2013, 50, 387–394. [Google Scholar] [CrossRef]
- Moreno, J. Hydraulic plant generation forecasting in Colombian power market using ANFIS. Energy Econ. 2009, 31, 450–455. [Google Scholar] [CrossRef]
- Perez-Mora, N.; Canals, V.; Martinez-Moll, V. Short-term Spanish aggregated solar energy forecast. In International Work-Conference on Artificial Neural Networks; Springer: Berlin/Heidelberg, Germany, 2015; pp. 307–319. [Google Scholar]
- Lahouar, A.; Mejri, A.; Slama, J.B.H. Importance based selection method for day-ahead photovoltaic power forecast using random forests. In Proceedings of the 2017 International Conference on Green Energy Conversion Systems (GECS), Hammamet, Tunisia, 23–25 March 2017; pp. 1–7. [Google Scholar]
- Jung, Y.; Jung, J.; Kim, B.; Han, S. Long short-term memory recurrent neural network for modeling temporal patterns in long-term power forecasting for solar PV facilities: Case study of South Korea. J. Clean. Prod. 2020, 250, 119476. [Google Scholar] [CrossRef]
- Lahouar, A.; Slama, J.B.H. Hour-ahead wind power forecast based on random forests. Renew. Energy 2017, 109, 529–541. [Google Scholar] [CrossRef]
- Rana, M.; Koprinska, I.; Troncoso, A. Forecasting hourly electricity load profile using neural networks. In Proceedings of the 2014 International Joint Conference on Neural Networks (IJCNN), Beijing, China, 6–11 July 2014; pp. 824–831. [Google Scholar]
- Lu, S.L. Integrating heuristic time series with modified grey forecasting for renewable energy in Taiwan. Renew. Energy 2019, 133, 1436–1444. [Google Scholar] [CrossRef]
- Colombo, T.; Koprinska, I.; Panella, M. Maximum Length Weighted Nearest Neighbor approach for electricity load forecasting. In Proceedings of the 2015 International Joint Conference on Neural Networks (IJCNN), Killarney, Ireland, 12–17 July 2015; pp. 1–8. [Google Scholar]
- Wang, C.H.; Lin, K.P.; Lu, Y.M.; Wu, C.F. Deep Belief Network with Seasonal Decomposition for Solar Power Output Forecasting. Int. J. Reliab. Qual. Saf. Eng. 2019, 26, 1950029. [Google Scholar] [CrossRef]
- Lahouar, A. Gaussian Process Based Method for Point and Probabilistic Short-Term Wind Power Forecast. In International Conference on the Sciences of Electronics, Technologies of Information and Telecommunications; Springer: Berlin/Heidelberg, Germany, 2018; pp. 134–147. [Google Scholar]
- da Silva Fonseca, J.G., Jr.; Oozeki, T.; Takashima, T.; Koshimizu, G.; Uchida, Y.; Ogimoto, K. Use of support vector regression and numerically predicted cloudiness to forecast power output of a photovoltaic power plant in Kitakyushu, Japan. Prog. Photovoltaics Res. Appl. 2012, 20, 874–882. [Google Scholar] [CrossRef]
- Koprinska, I.; Rana, M.; Agelidis, V.G. Correlation and instance based feature selection for electricity load forecasting. Knowl. Based Syst. 2015, 82, 29–40. [Google Scholar] [CrossRef]
- Taylor, J.W. An evaluation of methods for very short-term load forecasting using minute-by-minute British data. Int. J. Forecast. 2008, 24, 645–658. [Google Scholar] [CrossRef]
- Taylor, J.W. Short-term load forecasting with exponentially weighted methods. IEEE Trans. Power Syst. 2012, 27, 458–464. [Google Scholar] [CrossRef]
- Lotufo, A.; Minussi, C. Electric power systems load forecasting: A survey. In Proceedings of the PowerTech Budapest 99. Abstract Records., (Cat. No. 99EX376), Budapest, Hungary, 29 August–2 September 1999; p. 36. [Google Scholar]
- Shumway, R.H.; Stoffer, D.S. Time Series Analysis and Its Applications: With R Examples; Springer: Berlin/Heidelberg, Germany, 2017. [Google Scholar]
- Whittle, P. Hypothesis Testing in Time Series Analysis; Almqvist & Wiksells boktr.: Stockholm, Sweden, 1951; Volume 4. [Google Scholar]
- Box, G.E.; Jenkins, G.M.; Reinsel, G.C. Time Series Analysis: Forecasting and Control; John Wiley & Sons: Hoboken, NJ, USA, 2011; Volume 734. [Google Scholar]
- Makridakis, S.; Spiliotis, E.; Assimakopoulos, V. Statistical and Machine Learning forecasting methods: Concerns and ways forward. PLoS ONE 2018, 13, e0194889. [Google Scholar] [CrossRef] [PubMed] [Green Version]
- Murphy, K.P. Machine Learning: A Probabilistic Perspective; MIT press: Cambridge, MA, USA, 2012. [Google Scholar]
- Tosh, C.R.; Ruxton, G.D. Modelling Perception with Artificial Neural Networks; Cambridge University Press: Cambridge, UK, 2010. [Google Scholar]
- Azadeh, A.; Ghaderi, S.; Sohrabkhani, S. A simulated-based neural network algorithm for forecasting electrical energy consumption in Iran. Energy Policy 2008, 36, 2637–2644. [Google Scholar] [CrossRef]
- Hamzaçebi, C.; Es, H.A.; Çakmak, R. Forecasting of Turkey’s monthly electricity demand by seasonal artificial neural network. Neural Comput. Appl. 2017, 31, 2217–2231. [Google Scholar] [CrossRef]
- Ma, J.; Oppong, A.; Acheampong, K.N.; Abruquah, L.A. Forecasting renewable energy consumption under zero assumptions. Sustainability 2018, 10, 576. [Google Scholar] [CrossRef] [Green Version]
- Li, G.; Wang, H.; Zhang, S.; Xin, J.; Liu, H. Recurrent neural networks based photovoltaic power forecasting approach. Energies 2019, 12, 2538. [Google Scholar] [CrossRef] [Green Version]
- Tzafestas, S.G. Introduction to Mobile Robot Control; Elsevier: Amsterdam, The Netherlands, 2013. [Google Scholar]
- Efendi, R.; Ismail, Z.; Deris, M.M. A new linguistic out-sample approach of fuzzy time series for daily forecasting of Malaysian electricity load demand. Appl. Soft Comput. 2015, 28, 422–430. [Google Scholar] [CrossRef]
- Marwala, L.; Twala, B. Forecasting electricity consumption in South Africa: ARMA, neural networks and neuro-fuzzy systems. In Proceedings of the 2014 International Joint Conference on Neural Networks (IJCNN), Beijing, China, 6–11 July 2014; pp. 3049–3055. [Google Scholar]
- Rebala, G.; Ravi, A.; Churiwala, S. An Introduction to Machine Learning; Springer: Berlin/Heidelberg, Germany, 2019. [Google Scholar]
- Al-Musaylh, M.S.; Deo, R.C.; Adamowski, J.F.; Li, Y. Short-term electricity demand forecasting with MARS, SVR and ARIMA models using aggregated demand data in Queensland, Australia. Adv. Eng. Inform. 2018, 35, 1–16. [Google Scholar] [CrossRef]
- Lin, K.P.; Pai, P.F. Solar power output forecasting using evolutionary seasonal decomposition least-square support vector regression. J. Clean. Prod. 2016, 134, 456–462. [Google Scholar] [CrossRef]
- Sood, R.; Koprinska, I.; Agelidis, V.G. Electricity load forecasting based on autocorrelation analysis. In Proceedings of the 2010 International Joint Conference on Neural Networks (IJCNN), Barcelona, Spain, 18–23 July 2010; pp. 1–8. [Google Scholar]
- Mourad, M.; Bouzid, B.; Mohamed, B. A hybrid wavelet transform and ANFIS model for short term electric load prediction. In Proceedings of the 2012 2nd International Conference on Advances in Computational Tools for Engineering Applications (ACTEA), Beirut, Lebanon, 12–15 December 2012; pp. 292–295. [Google Scholar]
- Sudheer, G.; Suseelatha, A. Pronóstico de carga a corto plazo usando la transformación wavelet combinada con Holt—Winters y modelos vecinos más próximos ponderados. Int. J. Electr. Power Energy Syst. 2015. [Google Scholar]
- Guan, C.; Luh, P.B.; Michel, L.D.; Wang, Y.; Friedland, P.B. Very short-term load forecasting: Wavelet neural networks with data pre-filtering. IEEE Trans. Power Syst. 2012, 28, 30–41. [Google Scholar] [CrossRef]
- Hochreiter, S.; Schmidhuber, J. Long short-term memory. Neural Comput. 1997, 9, 1735–1780. [Google Scholar] [CrossRef] [PubMed]












| MAPE (%) | Prediction Capability |
|---|---|
| <10 | Highly accurate prediction (HAP) |
| 10–20 | Good prediction (GPR) |
| 20–50 | Reasonable prediction (RP) |
| >50 | Inaccurate prediction (IPR) |
| MAPE | Type | Multivariate Model | Univariate Model | Total | ||
|---|---|---|---|---|---|---|
| Not Hybrid | Hybrid | Not Hybrid | Hybrid | |||
| HAP | ML | [33,34,35,36,37,38,39,40,41,42,43,44,45,46,47,48,49,50,51,52,53,54,55,56,57,58,59,60,61,62,63,64,65,66,67,68,69,70,71,72] | [6,27,73,74,75,76,77,78,79,80,81,82,83,84,85,86,87,88,89,90,91] | [1,14,17,18,92,93,94,95,96,97,98,99,100,101,102,103,104,105,106,107] | [29,32,85,108,109,110,111,112,113,114,115,116,117,118,119,120,121,122] | 99 |
| HAP | MSC | [15,123,124,125,126,127,128,129,130,131,132,133,134,135,136,137,138,139,140,141,142,143,144,145,146,147] | [148,149] | [1,14,17,18,92,93,94,95,96,97,98,99,100,101,102,103,104,105,106,107] | [19,150,151,152] | 52 |
| GPR | ML | [153,154,155,156,157] | [158] | [159,160,161,162] | − | 10 |
| GPR | MSC | [16,163] | − | − | − | 2 |
| RP | ML | [164] | − | − | − | 1 |
| Total | 74 | 24 | 44 | 22 | 164 | |
| Ref | Year | Country | Energy Type | Technique | Forecast | Other Input | MAPE | N | Scale | Date Sample | |
|---|---|---|---|---|---|---|---|---|---|---|---|
| [73] | 2006 | Australia | No Specific | ERNN; WT | Electricity Load | TM, HM, WS | 0.794 | 26,297 | Hours | 1999 | 2002 |
| [74] | 2013 | Iran | Wind | PSO; ACO | Wind Power | TM, WS | 3.513 | 8736 | Hours | 2010 | 2011 |
| [75] | 2008 | Iran | No Specific | ANN; EA | Peak Load | CI | 1.760 | 26,280 | Hours | 1997 | 1999 |
| [76] | 2008 | EEUU | No Specific | SVR; BT | Electricity Load | CI, TM, HM | 1.960 | 30,144 | Hours | 2001 | 2004 |
| [77] | 2015 | Australia | No specific | ANN | Electrical power | CI | 3.710 | 70,080 | Half-Hour | 2006 | 2009 |
| [78] | 2017 | UK | No Specific | PSO; ANN | Load Demand | CI, TM | 1.723 | 8760 | Hours | 2008 | 2008 |
| [79] | 2016 | Algeria | No Specific | HW-ES; KNN; WD; Fuzzy-CM; ANFIS | Peak Electricity | TM | 2.796 | 1064 | Days | 2012 | 2014 |
| [80] | 2010 | Iran | No Specific | ANFIS | Electricity | GDP, POP, EXP, CPI | 2.789 | 37 | Years | 1971 | 2007 |
| [81] | 2017 | Poland | No Specific | ANN; PCA | Power Load | CI, TM | 1.235 | 26,280 | Hours | 2009 | 2012 |
| [82] | 2018 | India | No Specific | ANN; PSO; GA | Electricity Demand | CPI, GDP | 0.220 | 25 | Years | 1991 | 2015 |
| [83] | 2017 | UK | No Specific | ELM; Fuzzy | Electricity Load | CI, TM, DP | 1.435 | 43,852 | Hours | 2004 | 2008 |
| [84] | 2019 | EEUU | Wind | NWP; WD; CNN | Wind Power | CI, TM, WS, DP | 2.550 | 26,280 | Hours | 2015 | 2017 |
| [85] | 2008 | Iran | No Specific | BNN; MCM; Fuzzy | Load | CI, TM | 2.421 | 1460 | Days | 2004 | 2007 |
| [27] | 2018 | Vietnam | No Specific | WT; ANFIS; COA | Electricity | CI, TM, HM, PRS, RFL, RT, WS | 4.330 | 132 | Months | 2003 | 2013 |
| [86] | 2017 | UK | No Specific | ANN; JOA | Electricity Load | CI, TM, DP | 5.710 | 52,560 | Hours | 2004 | 2009 |
| [87] | 2015 | India | No Specific | ANN; BBO | Electrical Energy | GDP, POP | 2.510 | 33 | Years | 1980 | 2012 |
| [88] | 2019 | China | Wind | GM; ERNN; BP | Power Generation | TM, HM, WS, WDD, PRS | 3.730 | 1441 | 15 min | 2016 | 2016 |
| [6] | 2019 | Australia | No Specific | ANN; BOOT | Electricity | 57 Index | 5.290 | 4300 | 6 h | 2014 | 2017 |
| [89] | 2019 | Uganda | No Specific | PSO; ABC | Electricity | POP, GDP, EP, NS | 1.306 | 17 | Years | 1990 | 2016 |
| [90] | 2020 | Australia | Photovoltaic | WD; LSTM | Power | TM, HM, WS, HR | 1.868 | 213,984 | 5 min | 2014 | 2016 |
| [91] | 2018 | Turkey | No Specific | ANFIS | Electrical Load | CI, TM | 8.869 | 8760 | Hours | 2017 | 2017 |
| Variable | Hypothesis | Homogeneity of Variance | Difference in Means | Effect Size (Cohen’s) |
|---|---|---|---|---|
| Model | 0.00386 | 0.07252 | Small | |
| Hybrid | 0.09063 | 0.04321 | Small | |
| Dependency | 0.00125 | 0.00059 | Medium |
| Type | Variable | Date | Set Size | |||
|---|---|---|---|---|---|---|
| Training | Validation | Test | ||||
| Local Energy | Maximum daily electricity demand . | 2006–2019 | 2475 | 1516 | 1062 | |
| Hourly electricity demand . | 2016–2020 | 865 | 371 | 530 | ||
Publisher’s Note: MDPI stays neutral with regard to jurisdictional claims in published maps and institutional affiliations. |
© 2020 by the authors. Licensee MDPI, Basel, Switzerland. This article is an open access article distributed under the terms and conditions of the Creative Commons Attribution (CC BY) license (http://creativecommons.org/licenses/by/4.0/).
Share and Cite
Vivas, E.; Allende-Cid, H.; Salas, R. A Systematic Review of Statistical and Machine Learning Methods for Electrical Power Forecasting with Reported MAPE Score. Entropy 2020, 22, 1412. https://doi.org/10.3390/e22121412
Vivas E, Allende-Cid H, Salas R. A Systematic Review of Statistical and Machine Learning Methods for Electrical Power Forecasting with Reported MAPE Score. Entropy. 2020; 22(12):1412. https://doi.org/10.3390/e22121412
Chicago/Turabian StyleVivas, Eliana, Héctor Allende-Cid, and Rodrigo Salas. 2020. "A Systematic Review of Statistical and Machine Learning Methods for Electrical Power Forecasting with Reported MAPE Score" Entropy 22, no. 12: 1412. https://doi.org/10.3390/e22121412
APA StyleVivas, E., Allende-Cid, H., & Salas, R. (2020). A Systematic Review of Statistical and Machine Learning Methods for Electrical Power Forecasting with Reported MAPE Score. Entropy, 22(12), 1412. https://doi.org/10.3390/e22121412

