A New Fractional Particle Swarm Optimization with Entropy Diversity Based Velocity for Reactive Power Planning
Abstract
1. Introduction
- Novel application of fractional evolutionary strategy with introduction of the velocity based entropy diversity in internal solver of the optimization algorithm for solving RPD problems in standard power systems.
- Effective application of designed scheme to improve the performance of power systems in terms of power loss minimization, operating cost minimization and improving voltage profile index (VPI) while fulfilling the system load demands and operational constraints.
- The endorsement of the algorithm performance through outcomes of statistical analysis in terms of histogram studies, learning curves and probability charts which exhibit the accuracy, reliability, strength and constancy of the proposed optimization strategy.
- Flexibility in degree of freedom is acquirable for solving the optimization assignments by using the variants of FO-PSO based on fractional orders .
- The brilliance of FC along with entropy is exploited in optimization scenarios to design a substitute and feasible algorithm for problem in energy sector related to transmission and distribution segment.
2. Problem Formulation
2.1. System Minimization
2.2. Improvement of Voltage Profile (VPI)
2.3. Operating Cost Minimization
2.4. System Constraints
2.4.1. Equality Constraints
2.4.2. Inequality Constraints
- Shunt Capacitor limits, which are restricted by boundaries as follows:
- Transformer tap setting , which are restricted by boundaries as follows:
- Generator Voltages and output reactive power Q which are restricted by boundaries as follows:
3. Methodology
3.1. Overview of FO-PSO with Entropy Metric
3.1.1. Fractional PSO
3.1.2. Entropy
3.2. Application of FO-PSO with Entropy Metric in ORPD
| Algorithm 1 Pseudo-code for FO-PSO with entropy metric to solve Optimal Reactive Power Dispatch (ORPD) problem. |
|
4. Simulation Results and Discussion
| Parameters | Parameters Setting Value of Standard 30 Bus System (13 Variables) | ||
|---|---|---|---|
| Minimization of | Improvement of VPI | Operating Cost Minimization | |
| Fractional Order | 0.3 | 0.4 | 0.7 |
| Vmx | 2.04 | 2.04 | 2.04 |
| Factor of Local Acceleration | 0.90–0.10 | 0.90–0.10 | 0.90–0.10 |
| Factor of Global Acceleration | 0.10–0.90 | 0.10–0.90 | 0.10–0.90 |
| Inertia Weight | 0.90–0.20 | 0.90–0.20 | 0.90–0.20 |
| Particle Size or Decision Variables | 13 | 13 | 13 |
| Iterations During Statistics | 60 | 30 | 80 |
| Swarm Size | 20 | 20 | 20 |
| Parameters | Parameters Setting Value of Standard 57 Bus System (25 Variables) | ||
|---|---|---|---|
| Minimization of | Improvement of VPI | Operating Cost Minimization | |
| Fractional Order | 0.9 | 0.3 | 0.7 |
| Vmx | 2.04 | 2.04 | 2.04 |
| Factor of Local Acceleration | 0.90–0.10 | 0.90–0.10 | 0.90–0.10 |
| Factor of Global Acceleration | 0.10–0.90 | 0.10–0.90 | 0.10–0.90 |
| Inertia Weight | 0.90–0.20 | 0.90–0.20 | 0.90–0.20 |
| Particle Size or Decision Variables | 25 | 25 | 25 |
| Iterations During Statistics | 60 | 30 | 100 |
| Swarm Size | 13 | 13 | 5 |
4.1. ORPD for Standard 30-Bus System with 13 Variables
| Control or Decision Variables | Lower Limit | Upper Limit |
|---|---|---|
| IEEE 30-Test Bus System | ||
| Shunt VAR Compensators (MVar) | −12 | 36 |
| Generator Voltages (p.u) | 0.9 | 1.1 |
| Setting of Transformer Tap Changer (p.u) | 0.950 | 1.050 |
| IEEE 57-Test Bus System | ||
| Shunt VAR Compensators (MVar) | 0 | 20 |
| Generator Voltages (p.u) | 0.94 | 1.06 |
| Setting of Transformer Tap Changer (p.u) | 0.900 | 1.100 |
| Decision Variables | Published Outcomes | Present | |||||||||||
|---|---|---|---|---|---|---|---|---|---|---|---|---|---|
| PSO [77] | HSA [14] | GA [17] | IWO [18] | SGA [77] | ICA [78] | MICA-IWO [78] | DE [23,79] | R-DE [80] | C-PSO [80] | SFLA [81] | PSO- TVAC [82] | FO-PSO with Entropy | |
| Transformer Tap Ratio (T) | |||||||||||||
| T6-9 | 0.970 | 1.010 | 1.022 | 1.050 | 0.950 | 1.080 | 1.030 | 1.018 | 1.050 | 0.990 | 0.984 | 0.975 | 1.022 |
| T6-10 | 1.020 | 1.000 | 0.991 | 0.960 | 0.980 | 0.950 | 0.990 | 0.979 | 0.900 | 1.050 | 1.020 | 0.927 | 1.046 |
| T4-12 | 1.010 | 0.990 | 0.996 | 0.970 | 1.040 | 1.000 | 1.000 | 0.977 | 1.000 | 0.990 | 0.987 | 0.999 | 1.015 |
| T27-28 | 0.990 | 0.970 | 0.971 | 0.970 | 1.020 | 0.970 | 0.980 | 1.009 | 0.970 | 0.960 | 1.008 | 0.964 | 1.011 |
| Generator Voltages (Vg) | |||||||||||||
| V1 | 1.031 | 1.072 | 1.072 | 1.069 | 1.100 | 1.078 | 1.079 | 1.095 | 1.100 | 1.100 | 1.095 | 1.097 | 1.103 |
| V2 | 1.011 | 1.062 | 1.063 | 1.060 | 1.042 | 1.069 | 1.070 | 1.085 | 1.094 | 1.100 | 1.091 | 1.087 | 1.101 |
| V5 | 1.022 | 1.039 | 1.037 | 1.036 | 1.032 | 1.069 | 1.048 | 1.062 | 1.070 | 1.074 | 1.079 | 1.066 | 1.076 |
| V8 | 1.003 | 1.042 | 1.044 | 1.038 | 0.981 | 1.047 | 1.048 | 1.065 | 1.073 | 1.086 | 1.070 | 1.070 | 1.080 |
| V11 | 0.974 | 1.031 | 1.013 | 1.029 | 0.976 | 1.034 | 1.075 | 1.026 | 1.065 | 1.100 | 1.084 | 1.067 | 1.1083 |
| V13 | 0.998 | 1.068 | 1.089 | 1.055 | 1.100 | 1.071 | 1.070 | 1.014 | 1.096 | 1.100 | 1.099 | 1.099 | 1.1076 |
| Capacitor Banks (Qc) | |||||||||||||
| Qc3 | 17 | 34 | 5.350 | 8 | 12 | −6 | −7 | 20.223 | 10 | 9 | NP | NP | 4.7645 |
| Qc10 | 13 | 12 | 36 | 35 | −10 | 36 | 23 | 9.5843 | 0.26 | 0.30 | 3.965 | 1.0303 | 4.182 |
| Qc24 | 23 | 10 | 12.417 | 11 | 30 | 11 | 12 | 13.029 | 0.12 | 8 | 4.205 | 4.653 | 11.458 |
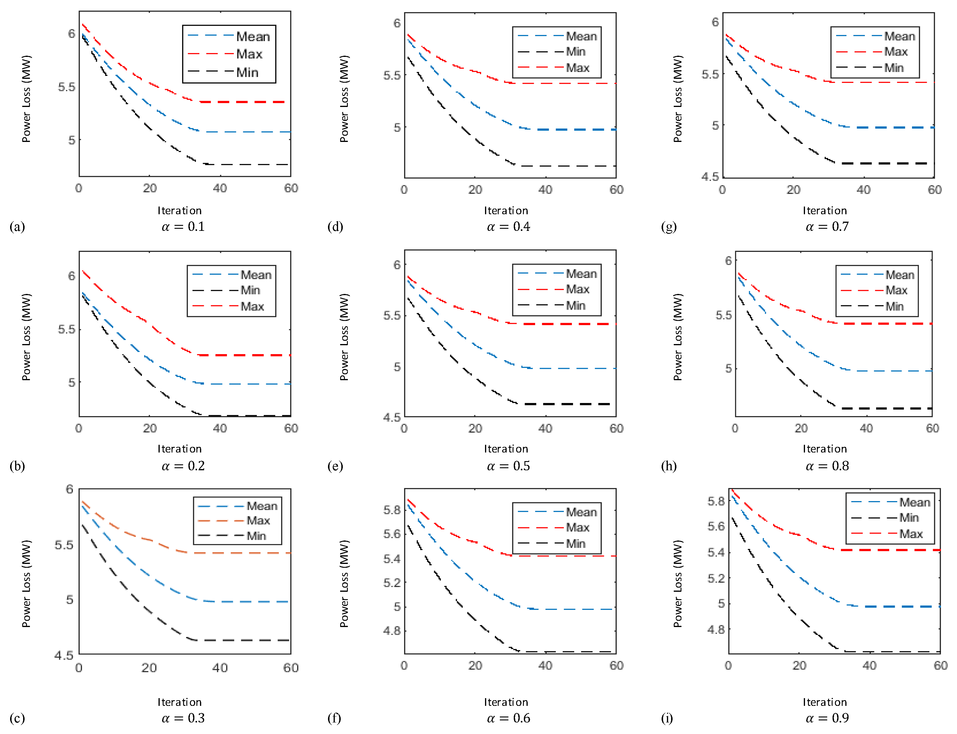
| Ploss | 5.881 | 5.109 | 4.877 | 4.92 | 6.531 | 4.849 | 4.846 | 4.888 | 4.667 | 4.680 | 4.686 | 4.648 | 4.628 |
| Items | Base Case | DE [23,79] | HSA [14] | C-PSO [80] | R-DE [80] | GA [17] | IWO [18] | MICA-IWO [78] | ICA [78] | SFLA [81] | PSO-TVAC [82] | FO-PSO with Entropy |
|---|---|---|---|---|---|---|---|---|---|---|---|---|
| Ploss (MW) | 5.663 | 4.888 | 5.109 | 4.680 | 4.667 | 4.877 | 4.920 | 4.846 | 4.849 | 4.686 | 4.648 | 4.628 |
| Loss reduction (%) | - | 13.680 | 9.780 | 17.350 | 17.580 | 13.870 | 13.120 | 14.420 | 14.370 | 17.250 | 18.23 | 18.280 |
| Items | Published Outcomes | Present | ||||||||
|---|---|---|---|---|---|---|---|---|---|---|
| SGA [77] | PSO [77] | NGBWCA [15] | HSA [77] | FA [33] | BFOA [33] | GWO [77] | MFO [77] | OGSA [15] | FO-PSO with Entropy | |
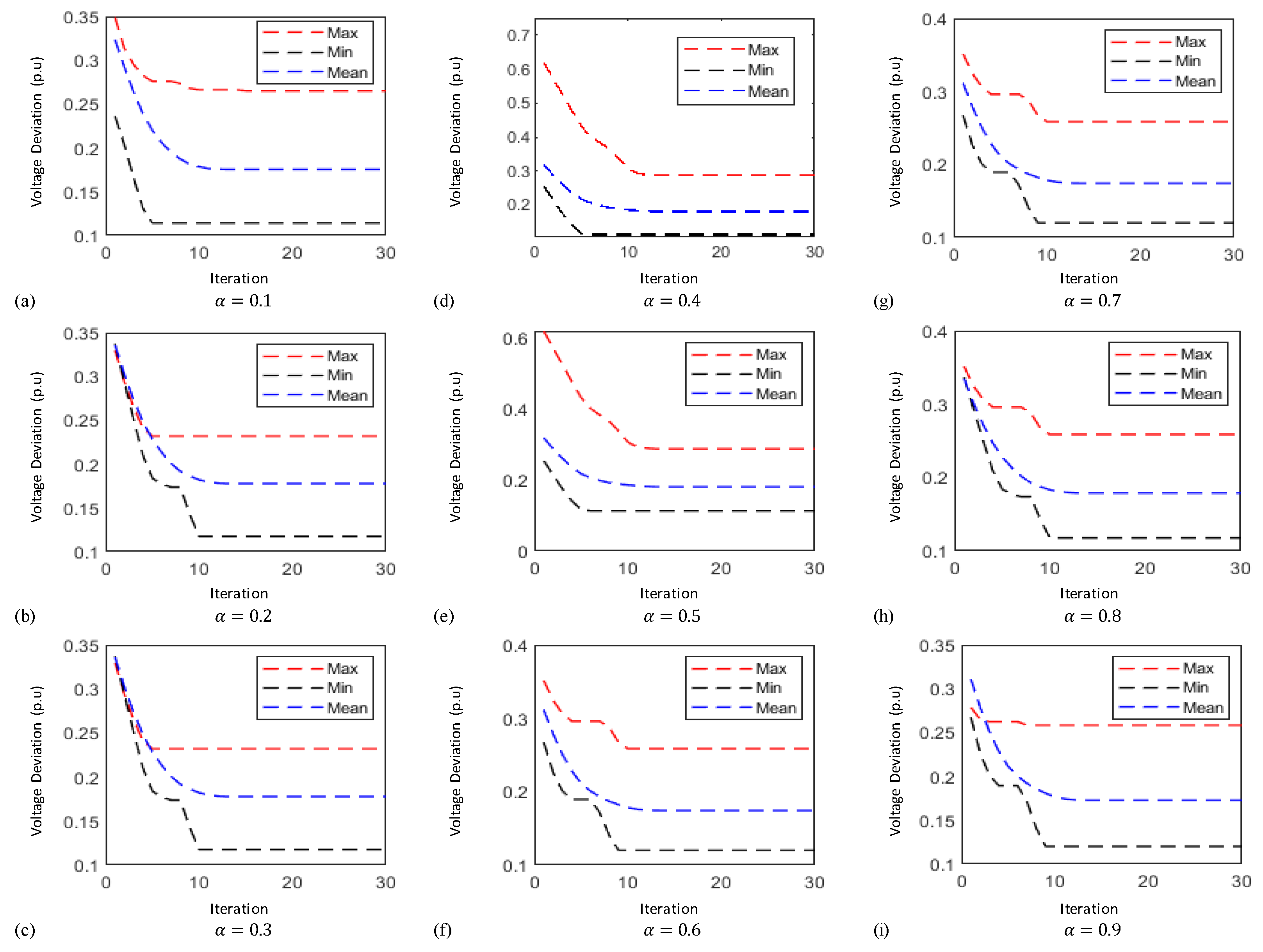
| VPI (p.u) | 0.1501 | 0.1424 | 0.4773 | 0.1349 | 0.1157 | 0.1490 | 0.1260 | 0.1215 | 0.8085 | 0.1131 |
4.2. ORPD for Standard 57-Bus System Having 25 Variables
| Decision Variables | Published Outcomes | Present | |||||||
|---|---|---|---|---|---|---|---|---|---|
| PSO [75] | OGSA [15] | WCA [15] | ICA [75] | Hybrid [75] | NGBWCA [15] | FO-DPSO [6] | DSA [83] | FO-PSO with Entropy | |
| Transformer Tap Ratio (T) | |||||||||
| T4-18 | 0.97543 | 0.9833 | 1.0217 | 0.9584 | 0.9265 | 1.0185 | 0.9 | 0.9480 | 1.0459 |
| T4-18 | 0.9716 | 0.9503 | 0.9614 | 0.9309 | 0.9532 | 0.9601 | 0.9209 | 1.0230 | 1.0252 |
| T21-20 | 1.0286 | 0.9523 | 0.9496 | 1.0269 | 1.0165 | 0.9458 | 1.0268 | 1.0210 | 1.0230 |
| T24-26 | 1.0183 | 1.0036 | 0.9901 | 1.0085 | 1.0071 | 0.9919 | 1.0075 | 0.9660 | 1.0231 |
| T7-29 | 0.9401 | 0.9778 | 0.9986 | 0.9 | 0.9414 | 0.9951 | 0.9070 | 0.9270 | 1.0289 |
| T34-32 | 0.94 | 0.9146 | 0.9000 | 0.9872 | 0.9555 | 0.9000 | 0.9871 | 0.9000 | 1.0415 |
| T11-41 | 0.9761 | 0.9454 | 0.9634 | 0.9097 | 0.9032 | 0.9622 | 0.9010 | 0.9000 | 1.0100 |
| T15-45 | 0.9211 | 0.9265 | 0.9063 | 0.9377 | 0.9356 | 0.9058 | 0.9 | 0.9770 | 1.0213 |
| T14-46 | 0.9165 | 0.9960 | 0.9801 | 0.9166 | 0.9172 | 0.9764 | 0.9 | 0.9920 | 1.0283 |
| T10-51 | 0.9044 | 1.0386 | 1.0631 | 0.9057 | 0.9337 | 1.0600 | 0.9165 | 0.9000 | 1.0094 |
| T13-49 | 0.9118 | 0.9060 | 0.9131 | 0.9 | 0.9 | 0.9100 | 0.9 | 0.9530 | 1.0359 |
| T11-43 | 0.92 | 0.9234 | 0.9294 | 0.9 | 0.9206 | 0.9302 | 0.9 | 0.9530 | 1.0302 |
| T40-56 | 0.9891 | 0.9871 | 0.9782 | 0.9575 | 1.0042 | 0.9770 | 0.9980 | 1.0160 | 1.0315 |
| T39-57 | 0.943 | 1.0132 | 1.0286 | 1.0476 | 1.0297 | 1.0271 | 0.9945 | 0.9000 | 1.0395 |
| T9-55 | 0.9998 | 0.9372 | 0.9053 | 0.9 | 0.9294 | 0.9000 | 0.9 | 0.9800 | 1.0409 |
| Generator Voltages (Vg) | |||||||||
| V1 | 1.0284 | 1.0138 | 1.0242 | 1.06 | 1.0395 | 1.0151 | 1.04 | 1.0170 | 1.088 |
| V2 | 1.0044 | 0.9608 | 0.9953 | 1.0388 | 1.0259 | 0.9810 | 1.0298 | 0.9500 | 1.0805 |
| V3 | 0.9844 | 1.0173 | 1.0098 | 1.0078 | 1.0077 | 1.0002 | 1.0099 | 1.0600 | 1.0825 |
| V6 | 0.9872 | 0.9898 | 1.0176 | 0.9688 | 0.9982 | 1.0039 | 0.9776 | 1.0340 | 1.0802 |
| V8 | 1.0262 | 1.0362 | 1.0268 | 0.9715 | 1.0158 | 1.0198 | 0.9855 | 1.0140 | 1.0862 |
| V9 | 0.9834 | 1.0241 | 1.0283 | 0.9556 | 0.985 | 1.0254 | 0.9676 | 1.0600 | 1.0799 |
| V12 | 0.9844 | 1.0136 | 1.0125 | 0.9891 | 0.9966 | 1.0081 | 0.9081 | 1.0090 | 1.0824 |
| Capacitor Banks (Qc) | |||||||||
| Qc18 | 9 | 0.0463 | 0.0593 | 0 | 9.9846 | 0.0550 | 4 | 0.0063 | 4.8939 |
| Qc25 | 7.0185 | 0.0590 | 0.0591 | 10 | 10 | 0.0590 | 15 | 0.1000 | 4.8324 |
| Qc53 | 5.0387 | 0.0628 | 0.0382 | 9.5956 | 10 | 0.0381 | 11.678 | 0.0948 | 6.4528 |
| Ploss | 27.842 | 32.34 | 30.02 | 27.125 | 27.195 | 29.20 | 26.680 | 27.700 | 26.3956 |
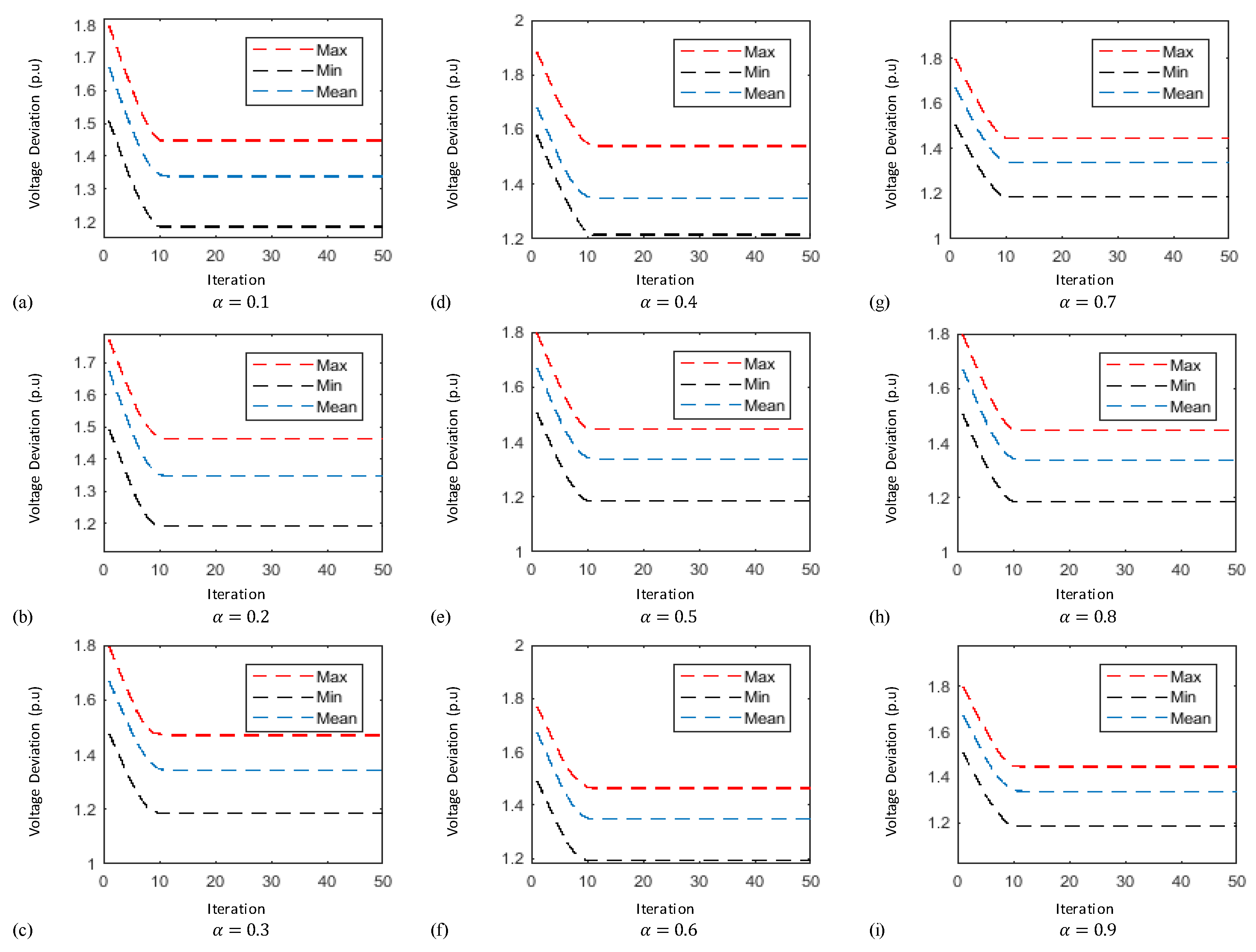
4.3. Comparative Study through Statistics
5. Conclusions
Author Contributions
Funding
Conflicts of Interest
References
- El Ela, A.A.; Abido, M.A.; Spea, S.R. Optimal power flow using differential evolution algorithm. Electr. Eng. 2009, 91, 220–224. [Google Scholar]
- Vaisakh, K.; Kanta, R.P. Differential Evolution Based Optimal Reactive Power Dispatch for Voltage Stability Enhancement. J. Theor. Appl. Inf. Technol. 2008, 638–646. Available online: http://citeseerx.ist.psu.edu/viewdoc/download;jsessionid=9108925C8D1F3102090A85E8B4B3515B?doi=10.1.1.208.2692&rep=rep1&type=pdf (accessed on 18 August 2020).
- Liu, Y.; Shang, T.; Wu, D. Improved differential evolution for solving optimal reactive power flow. In Proceedings of the 2009 Asia-Pacific Power and Energy Engineering Conference, Wuhan, China, 28–30 March 2009; pp. 1–4. [Google Scholar]
- Balamurugan, R.; Subramanian, S. Self-adaptive differential evolution based power economic dispatch of generators with valve-point effects and multiple fuel options. Fuel 2007, 1, 543–550. [Google Scholar]
- Bakare, G.A.; Krost, G.; Venayagamoorthy, G.K.; Aliyu, U.O. Differential evolution approach for reactive power optimization of Nigerian grid system. In Proceedings of the 2007 IEEE Power Engineering Society General Meeting, Tampa, FL, USA, 24–28 June 2007; pp. 1–6. [Google Scholar]
- Muhammad, Y.; Khan, R.; Ullah, F.; ur Rehman, A.; Aslam, M.S.; Raja, M.A.Z. Design of fractional swarming strategy for solution of optimal reactive power dispatch. Neural Comput. Appl. 2020, 32, 10501–10518. [Google Scholar] [CrossRef]
- Kirschen, D.S.; Van Meeteren, H.P. MW/voltage control in a linear programming based optimal power flow. IEEE Trans. Power Syst. 1988, 3, 481–489. [Google Scholar] [CrossRef]
- Sergio, G. Optimal reactive dispatch through interior point methods. IEEE Trans. Power Syst. 1994, 9, 136–146. [Google Scholar]
- Quintana, V.H.; Santos-Nieto, M. Reactive-power dispatch by successive quadratic programming. IEEE Trans. Energy Convers. 1989, 4, 425–435. [Google Scholar] [CrossRef]
- Durairaj, S.; Devaraj, D.; Kannan, P.S. Genetic algorithm applications to optimal reactive power dispatch with voltage stability enhancement. J. Inst. Eng. India Part Electr. Eng. Div. 2006, 87, 42. [Google Scholar]
- James, K.; Russell, E. Particle swarm optimization. In Proceedings of the ICNN’95—International Conference on Neural Networks, Perth, Australia, 27 November–1 December 1995; Volume 4, pp. 1942–1948. [Google Scholar]
- Zhao, B.; Guo, C.X.; Cao, Y.J. A multiagent-based particle swarm optimization approach for optimal reactive power dispatch. IEEE Trans. Power Syst. 2005, 20, 1070–1078. [Google Scholar] [CrossRef]
- Mollazei, S.; Farsangi, M.M.; Nezamabadi-pour, H.; Lee, K.Y. Multi-objective optimization of power system performance with TCSC using the MOPSO algorithm. In Proceedings of the 2007 IEEE Power Engineering Society General Meeting, Tampa, FL, USA, 24–28 June 2007; pp. 1–8. [Google Scholar]
- Khazali, A.H.; Kalantar, M. Optimal reactive power dispatch based on harmony search algorithm. Int. J. Electr. Power Energy Syst. 2011, 33, 684–692. [Google Scholar] [CrossRef]
- Asghar, H.A.; Ali, A.R.; Rezaee, J.A. Gaussian bare-bones water cycle algorithm for optimal reactive power dispatch in electrical power systems. Appl. Soft Comput. 2017, 57, 657–671. [Google Scholar]
- Abido, M.A. Optimal power flow using tabu search algorithm. Electr. Power Components Syst. 2002, 30, 469–483. [Google Scholar] [CrossRef]
- Mahadevan, K.; Kannan, P.S. Comprehensive learning particle swarm optimization for reactive power dispatch. Appl. Soft Comput. 2010, 10, 641–652. [Google Scholar] [CrossRef]
- Barun, M.; Kumar, R.P. Optimal reactive power dispatch using quasi-oppositional teaching learning based optimization. Int. J. Electr. Power Energy Syst. 2013, 53, 123–134. [Google Scholar]
- Wu, Q.H.; Cao, Y.J.; Wen, J.Y. Optimal reactive power dispatch using an adaptive genetic algorithm. Int. J. Electr. Power Energy Syst. 1998, 20, 563–569. [Google Scholar] [CrossRef]
- Dai, C.; Chen, W.; Zhu, Y.; Zhang, X. Reactive power dispatch considering voltage stability with seeker optimization algorithm. Electr. Power Syst. Res. 2009, 79, 1462–1471. [Google Scholar] [CrossRef]
- Das, T.; Roy, R.; Mandal, K.K.; Mondal, S.; Mondal, S.; Hait, P.; Das, M.K. Optimal Reactive Power Dispatch Incorporating Solar Power Using Jaya Algorithm. Comput. Adv. Commun. Circuits Syst. 2020, 575, 37–48. [Google Scholar]
- Dharmbir, P.; Abhik, B.; Pratap, S.R. Optimal Reactive Power Dispatch Using Modified Differential Evolution Algorithm. Adv. Comput. Commun. Control. 2019, 41, 275–283. [Google Scholar]
- Abou El Ela, A.A.; Abido, M.A.; Spea, S.R. Differential evolution algorithm for optimal reactive power dispatch. Electr. Power Syst. Res. 2011, 81, 458–464. [Google Scholar] [CrossRef]
- Cai, H.R.; Chung, C.Y.; Wong, K.P. Application of differential evolution algorithm for transient stability constrained optimal power flow. IEEE Trans. Power Syst. 2008, 23, 719–728. [Google Scholar] [CrossRef]
- Abido, M.A.; Al-Ali, N.A. Multi-objective optimal power flow using differential evolution. Arab. J. Sci. Eng. 2012, 37, 991–1005. [Google Scholar] [CrossRef]
- Ettappan, M.; Vimala, V.; Ramesh, S.; Thiruppathy, K.V. Optimal Reactive Power Dispatch for Real Power Loss Minimization and Voltage Stability Enhancement using Artificial Bee Colony Algorithm. Microprocess. Microsyst. 2020, 76, 103085. [Google Scholar] [CrossRef]
- Aljohani, T.M.; Ebrahim, A.F.; Mohammed, O. Single and multiobjective optimal reactive power dispatch based on hybrid artificial physics–particle swarm optimization. Energies 2019, 12, 2333. [Google Scholar] [CrossRef]
- Li, Z.; Cao, Y.; Dai, L.V.; Yang, X.; Nguyen, T.T. Finding solutions for optimal reactive power dispatch problem by a novel improved antlion optimization algorithm. Energies 2019, 12, 2968. [Google Scholar] [CrossRef]
- Mugemanyi, S.; Qu, Z.; Rugema, F.X.; Dong, Y.; Bananeza, C.; Wang, L. Optimal Reactive Power Dispatch Using Chaotic Bat Algorithm. IEEE Access 2020, 8, 65830–65867. [Google Scholar] [CrossRef]
- Zhang, M.; Li, Y. Multi-objective optimal reactive power dispatch of power systems by combining classification-based Multi-objective evolutionary algorithm and integrated decision making. IEEE Access 2020, 8, 38198–38209. [Google Scholar] [CrossRef]
- Bhagwan, D.D.; Patvardhan, C. A new hybrid evolutionary strategy for reactive power dispatch. Electr. Power Syst. Res. 2003, 65, 83–90. [Google Scholar] [CrossRef]
- Wu, Q.H.; Ma, J.T. Power system optimal reactive power dispatch using evolutionary programming. IEEE Trans. Power Syst. 1995, 10, 1243–1249. [Google Scholar] [CrossRef]
- Abhishek, R.; Malakar, T. Optimal reactive power dispatch using hybrid Nelder–Mead simplex based firefly algorithm. Int. J. Electr. Power Energy Syst. 2015, 66, 9–24. [Google Scholar]
- Duman, S.; Güvenç, U.; Sönmez, Y.; Yörükeren, N. Optimal power flow using gravitational search algorithm. Energy Convers. Manag. 2012, 59, 86–95. [Google Scholar] [CrossRef]
- Taher, N.; Rasoul, N.M.; Rasoul, A.-A.; Bahman, B.-F. Multiobjective optimal reactive power dispatch and voltage control: A new opposition-based self-adaptive modified gravitational search algorithm. IEEE Syst. J. 2013, 7, 742–753. [Google Scholar]
- Tripathy, M.; Mishra, S. Bacteria foraging-based solution to optimize both real power loss and voltage stability limit. IEEE Trans. Power Syst. 2007, 22, 240–248. [Google Scholar] [CrossRef]
- Aniruddha, B.; Kumar, C.P. Solving complex economic load dispatch problems using biogeography-based optimization. Expert Syst. Appl. 2010, 37, 3605–3615. [Google Scholar]
- Herwan, S.M.; Zuriani, M.; Rusllim, M.M.; Omar, A. Using the gray wolf optimizer for solving optimal reactive power dispatch problem. Appl. Soft Comput. 2015, 32, 286–292. [Google Scholar]
- Amin, K.; Reza, E.M.; Mosayeb, B. Optimal coordinated design of UPFC and PSS for improving power system performance by using multi-objective water cycle algorithm. Int. J. Electr. Power Energy Syst. 2016, 83, 124–133. [Google Scholar]
- Abedi, P.S.M.; Alireza, A.; Ali, S.; Hoon, K.J. Gradient-based water cycle algorithm with evaporation rate applied to chaos suppression. Appl. Soft Comput. 2017, 53, 420–440. [Google Scholar]
- Asghar, H.A.; Ali, A.R.; Rezaee, J.A. An efficient chaotic water cycle algorithm for optimization tasks. Neural Comput. Appl. 2017, 28, 57–85. [Google Scholar]
- Pedram, G.; Micael, S.C.; Atli, B.J. A novel feature selection approach based on FODPSO and SVM. IEEE Trans. Geosci. Remote Sens. 2014, 53, 2935–2947. [Google Scholar]
- Yang, Q.; Chen, D.; Zhao, T.; Chen, Y. Fractional calculus in image processing: A review. Fract. Calc. Appl. Anal. 2016, 19, 1222–1249. [Google Scholar] [CrossRef]
- Ghamisi, P.; Couceiro, M.S.; Martins, F.M.; Benediktsson, J.A. Multilevel image segmentation based on fractional-order Darwinian particle swarm optimization. IEEE Trans. Geosci. Remote Sens. 2013, 52, 2382–2394. [Google Scholar] [CrossRef]
- Couceiro, M.S.; Martins, F.M.; Rocha, R.P.; Ferreira, N.M. Introducing the fractional order robotic Darwinian PSO. Aip Conf. Proc. 2012, 1493, 242–251. [Google Scholar]
- Haji, H.V.; Concepción, A.M. Fractional order fuzzy-PID control of a combined cycle power plant using Particle Swarm Optimization algorithm with an improved dynamic parameters selection. Appl. Soft Comput. 2017, 58, 256–264. [Google Scholar] [CrossRef]
- Wang, Y.-Y.; Huan, Z.; Qiu, C.-H.; Xia, S.-R. A Novel Feature Selection Method Based on Extreme Learning Machine and Fractional-Order Darwinian PSO. Comput. Intell. Neurosci. 2018, 2018, 5078268. [Google Scholar] [CrossRef] [PubMed]
- Zhu, Q.; Yuan, M.; Liu, Y.-L.; Chen, W.-D.; Chen, Y.; Wang, H.-R. Research and application on fractional-order Darwinian PSO based adaptive extended Kalman filtering algorithm. IAES Int. J. Robot. Autom. 2014, 3, 245. [Google Scholar] [CrossRef]
- Akbar, S.; Zaman, F.; Asif, M.; Rehman, A.U.; Raja, M.A.Z. Novel application of FO-DPSO for 2-D parameter estimation of electromagnetic plane waves. Neural Comput. Appl. 2019, 31, 3681–3690. [Google Scholar] [CrossRef]
- Paliwal, K.K.; Singh, S.; Gaba, P. Feature selection approach of hyperspectral image using GSA-FODPSO-SVM. In Proceedings of the 2017 International Conference on Computing, Communication and Automation (ICCCA), Greater Noida, India, 5–6 May 2017; pp. 1070–1075. [Google Scholar]
- Wang, Y.-Y.; Peng, W.-X.; Qiu, C.-H.; Jiang, J.; Xia, S.-R. Fractional-order Darwinian PSO-based feature selection for media-adventitia border detection in intravascular ultrasound images. Ultrasonics 2019, 92, 1–7. [Google Scholar] [CrossRef]
- Naoto, Y.; Pedram, G. Land-cover monitoring using time-series hyperspectral data via fractional-order darwinian particle swarm optimization segmentation. In Proceedings of the 2016 8th Workshop on Hyperspectral Image and Signal Processing: Evolution in Remote Sensing (WHISPERS), Los Angeles, CA, USA, 21–24 August 2016; pp. 1–5. [Google Scholar]
- Abdullah, A.; Baykant, A.B.; Gurkan, K.; Celaleddin, Y. Implementation of fractional order filters discretized by modified fractional order darwinian particle swarm optimization. Measurement 2017, 107, 153–164. [Google Scholar]
- Lopes António, M.; Tenreiro Machado, J.A. Entropy analysis of soccer dynamics. Entropy 2019, 21, 187. [Google Scholar] [CrossRef]
- Pires, E.J.S.; Machado, J.A.T.; de Moura Oliveira, P.B. Entropy diversity in multi-objective particle swarm optimization. Entropy 2013, 15, 5475–5491. [Google Scholar] [CrossRef]
- Machado, J.A. Entropy analysis of fractional derivatives and their approximation. J. Appl. Nonlinear Dyn. 2012, 1, 109–112. [Google Scholar] [CrossRef]
- Tenreiro Machado, J.A. Shannon entropy analysis of the genome code. Math. Probl. Eng. 2012, 2012, 132625. [Google Scholar] [CrossRef]
- Pires, E.S.; Machado, J.T.; de Moura Oliveira, P.B.; Cunha, J.B.; Mendes, L. Particle swarm optimization with fractional-order velocity. Nonlinear Dyn. 2010, 61, 295–301. [Google Scholar] [CrossRef]
- Van Den Bergh, F.; Engelbrecht, A.P. A study of particle swarm optimization particle trajectories. Inf. Sci. 2006, 176, 937–971. [Google Scholar] [CrossRef]
- Shi, Y.; Eberhart, R. Monitoring of particle swarm optimization. Front. Comput. Sci. China 2009, 3, 31–37. [Google Scholar] [CrossRef]
- Yasuda, K.; Iwasaki, N.; Ueno, G.; Aiyoshi, E. Particle swarm optimization: A numerical stability analysis and parameter adjustment based on swarm activity. IEEJ Trans. Electr. Electron. Eng. 2008, 3, 642–659. [Google Scholar] [CrossRef]
- Sabatier, J.; Agrawal, O.P.; Machado, J.T. Advances in Fractional Calculus; Springer: Amsterdam, The Netherlands, 2007. [Google Scholar]
- Adam, M. Advances in Fractional Calculus: Theoretical Developments and Applications in Physics and Engineering; SIAM Review; Society for Industrial and Applied Mathematics: Philadelphia, PA, USA, 2008. [Google Scholar]
- Machado, J. Fractional order generalized information. Entropy 2014, 16, 2350–2361. [Google Scholar] [CrossRef]
- Duarte Ortigueira, M.; Tenreiro Machado, J.A. Fractional signal processing and applications. Signal Process. 2003, 83, 11. [Google Scholar] [CrossRef]
- Wakasa, Y.; Tanaka, K.; Nishimura, Y. Control-theoretic analysis of exploitation and exploration of the PSO algorithm. In Proceedings of the 2010 IEEE International Symposium on Computer-Aided Control System Design, Yokohama, Japan, 8–10 September 2010; pp. 1807–1812. [Google Scholar]
- Shi, Y.; Eberhart, R.C. Fuzzy adaptive particle swarm optimization. In Proceedings of the 2001 Congress on Evolutionary Computation (IEEE Cat. No. 01TH8546), Seoul, Korea, 27–30 May 2001; Volume 1, pp. 101–106. [Google Scholar]
- Machado, J.T. Entropy analysis of integer and fractional dynamical systems. Nonlinear Dyn. 2010, 62, 371–378. [Google Scholar]
- Machado, J.T. Entropy analysis of systems exhibiting negative probabilities. Commun. Nonlinear Sci. Numer. Simul. 2016, 36, 58–64. [Google Scholar] [CrossRef]
- Lopes, A.M.; Machado, J.T. Entropy analysis of industrial accident data series. J. Comput. Nonlinear Dyn. 2016, 11, 031006. [Google Scholar] [CrossRef]
- Ben-Naim, A. Entropy and the Second Law: Interpretation and Misss-Interpretationsss; World Scientific: Singapore, 2012. [Google Scholar]
- Shannon, C.E. A mathematical theory of communication. ACM SIGMOBILE Mob. Comput. Commun. Rev. 2001, 5, 3–55. [Google Scholar] [CrossRef]
- Solteiro Pires, E.J.; Tenreiro Machado, J.A.; de Moura Oliveira, P.B. PSO Evolution Based on a Entropy Metric. In International Conference on Hybrid Intelligent Systems; Springer: Berlin/Heidelberg, Germany, 2018; pp. 238–248. [Google Scholar]
- Zimmerman, R.D.; Murillo-Sánchez, C.E.; Thomas, R.J. MATPOWER: Steady-state operations, planning, and analysis tools for power systems research and education. IEEE Trans. Power Syst. 2010, 26, 12–19. [Google Scholar] [CrossRef]
- Mehdinejad, M.; Mohammadi-Ivatloo, B.; Dadashzadeh-Bonab, R.; Zare, K. Solution of optimal reactive power dispatch of power systems using hybrid particle swarm optimization and imperialist competitive algorithms. Int. J. Electr. Power Energy Syst. 2016, 83, 104–116. [Google Scholar] [CrossRef]
- Abido, M.A. Optimal power flow using particle swarm optimization. Int. J. Electr. Power Energy Syst. 2002, 24, 563–571. [Google Scholar] [CrossRef]
- Mei, R.N.S.; Sulaiman, M.H.; Mustaffa, Z.; Daniyal, H. Optimal reactive power dispatch solution by loss minimization using moth-flame optimization technique. Appl. Soft Comput. 2017, 59, 210–222. [Google Scholar]
- Ghasemi, M.; Ghavidel, S.; Ghanbarian, M.M.; Habibi, A. A new hybrid algorithm for optimal reactive power dispatch problem with discrete and continuous control variables. Appl. Soft Comput. 2014, 22, 126–140. [Google Scholar] [CrossRef]
- Huang, C.-M.; Huang, Y.-C. Combined differential evolution algorithm and ant system for optimal reactive power dispatch. Energy Procedia 2012, 14, 1238–1243. [Google Scholar] [CrossRef]
- Khorsandi AAlimardani AVahidi, B.; Hosseinian, S.H. Hybrid shuffled frog leaping algorithm and Nelder–Mead simplex search for optimal reactive power dispatch. IET Gener. Transm. Distrib. 2011, 5, 249–256. [Google Scholar] [CrossRef]
- Uney, M.S.; Cetinkaya, N. New Metaheuristic Algorithms for Reactive Power Optimization. Tehnički Vjesnik 2019, 26, 1427–1433. [Google Scholar]
- Ben Oualid Medani, K.; Sayah, S.; Bekrar, A. Whale optimization algorithm based optimal reactive power dispatch: A case study of the Algerian power system. Electr. Power Syst. Res. 2018, 163, 696–705. [Google Scholar] [CrossRef]
- Abaci, K.; Yamaçli, V. Optimal reactive-power dispatch using differential search algorithm. Electr. Eng. 2017, 99, 213–225. [Google Scholar] [CrossRef]

















| Merits | De-Merits |
|---|---|
| Enhanced Power Evacuation Capacity | Cost (Capex & Opex) |
| Improved Load Management | Site Clearance & Security Issues |
| Permits/Right of Way Issues |
| Merits | De-Merits |
|---|---|
| Minimize T&D losses | Marginal Improvement in System Capacity |
| Improvement of Voltage Profile Index (VPI) | |
| Enhanced System Stability | |
| Reduce Overall Cost of Operation |
| Bus # | Load Detail (per unit) | Bus # | Load Detail (per unit) | ||
|---|---|---|---|---|---|
| Q | P | Q | P | ||
| B1 | 0.0000 | 0.0000 | B16 | 0.0180 | 0.0350 |
| B2 | 0.1270 | 0.2170 | B17 | 0.0580 | 0.0900 |
| B3 | 0.0120 | 0.0240 | B18 | 0.0090 | 0.0320 |
| B4 | 0.0160 | 0.0760 | B19 | 0.0340 | 0.0950 |
| B5 | 0.1900 | 0.9420 | B20 | 0.0070 | 0.0220 |
| B6 | 0.0000 | 0.0000 | B21 | 0.1120 | 0.1750 |
| B7 | 0.1090 | 0.2280 | B22 | 0.0000 | 0.0000 |
| B8 | 0.3000 | 0.3000 | B23 | 0.0160 | 0.0320 |
| B9 | 0.0000 | 0.0000 | B24 | 0.0670 | 0.0870 |
| B10 | 0.0200 | 0.0580 | B25 | 0.0000 | 0.0000 |
| B11 | 0.0000 | 0.0000 | B26 | 0.0230 | 0.0350 |
| B12 | 0.0750 | 0.1120 | B27 | 0.0000 | 0.0000 |
| B13 | 0.0000 | 0.0000 | B28 | 0.0000 | 0.0000 |
| B14 | 0.0160 | 0.0620 | B29 | 0.0090 | 0.0240 |
| B15 | 0.0250 | 0.0820 | B30 | 0.0190 | 0.1060 |
| Transmission Line # | Line Impedance (per unit) | To Bus | From Bus | |
|---|---|---|---|---|
| X | R | |||
| L1 | 0.0575 | 0.0192 | 2 | 1 |
| L2 | 0.1852 | 0.0452 | 3 | 1 |
| L3 | 0.1737 | 0.0570 | 4 | 2 |
| L4 | 0.0379 | 0.0132 | 4 | 3 |
| L5 | 0.1983 | 0.0472 | 5 | 2 |
| L6 | 0.1763 | 0.0581 | 6 | 2 |
| L7 | 0.0414 | 0.0119 | 6 | 4 |
| L8 | 0.1160 | 0.0460 | 7 | 5 |
| L9 | 0.0820 | 0.0267 | 7 | 6 |
| L10 | 0.0420 | 0.0120 | 8 | 6 |
| L11 | 0.2080 | 0.0000 | 9 | 6 |
| L12 | 0.5560 | 0.0000 | 10 | 6 |
| L13 | 0.2080 | 0.0000 | 11 | 9 |
| L14 | 0.1100 | 0.0000 | 10 | 9 |
| L15 | 0.2560 | 0.0000 | 12 | 4 |
| L16 | 0.1400 | 0.0000 | 13 | 12 |
| L17 | 0.2559 | 0.1231 | 14 | 12 |
| L18 | 0.1304 | 0.0662 | 15 | 12 |
| L19 | 0.1987 | 0.0945 | 16 | 12 |
| L20 | 0.1997 | 0.2210 | 15 | 14 |
| L21 | 0.1932 | 0.0824 | 17 | 16 |
| L22 | 0.2185 | 0.1070 | 18 | 15 |
| L23 | 0.1292 | 0.0639 | 19 | 18 |
| L24 | 0.0680 | 0.0340 | 20 | 19 |
| L25 | 0.2090 | 0.0936 | 20 | 10 |
| L26 | 0.0845 | 0.0324 | 17 | 10 |
| L27 | 0.0749 | 0.0348 | 21 | 10 |
| L28 | 0.1499 | 0.0727 | 22 | 10 |
| L29 | 0.0236 | 0.0116 | 22 | 21 |
| L30 | 0.2020 | 0.1000 | 23 | 15 |
| L31 | 0.1790 | 0.1150 | 24 | 22 |
| L32 | 0.2700 | 0.1320 | 24 | 23 |
| L33 | 0.3292 | 0.1885 | 25 | 24 |
| L34 | 0.3800 | 0.2544 | 26 | 25 |
| L35 | 0.2087 | 0.1093 | 27 | 25 |
| L36 | 0.3960 | 0.0000 | 27 | 28 |
| L37 | 0.4153 | 0.2198 | 29 | 27 |
| L38 | 0.6027 | 0.3202 | 30 | 27 |
| L39 | 0.4533 | 0.2399 | 30 | 29 |
| L40 | 0.2000 | 0.6360 | 28 | 8 |
| L41 | 0.0599 | 0.0169 | 28 | 6 |
| Bus # | Cost Coefficients | ||
|---|---|---|---|
| x | y | z | |
| B1 | 0.0000 | 2.0000 | 0.003750 |
| B2 | 0.0000 | 1.7500 | 0.017500 |
| B5 | 0.0000 | 1.0000 | 0.062500 |
| B8 | 0.0000 | 3.2500 | 0.008340 |
| B11 | 0.0000 | 3.0000 | 0.025000 |
| B13 | 0.0000 | 3.0000 | 0.025000 |
| Decision Variables | |||
|---|---|---|---|
| Min | Max | Initial | |
| T11 | 0.9000 | 1.1000 | 1.0780 |
| T12 | 0.9000 | 1.1000 | 1.0690 |
| T15 | 0.9000 | 1.1000 | 1.0320 |
| T36 | 0.9000 | 1.1000 | 1.0680 |
| P1 | 50.00 | 200.00 | 99.24 |
| P2 | 20.00 | 80.00 | 80.00 |
| P5 | 15.00 | 50.00 | 50.00 |
| P8 | 10.00 | 35.00 | 20.00 |
| P11 | 10.00 | 30.00 | 20.00 |
| P13 | 12.00 | 40.00 | 20.00 |
| V1 | 0.9500 | 1.1000 | 1.0500 |
| V2 | 0.9500 | 1.1000 | 1.0400 |
| V5 | 0.9500 | 1.1000 | 1.0100 |
| V8 | 0.9500 | 1.1000 | 1.0100 |
| V11 | 0.9500 | 1.1000 | 1.0500 |
| V13 | 0.9500 | 1.1000 | 1.0500 |
| Qx10 | 0.0000 | 5.0000 | 0.00 |
| Qx12 | 0.0000 | 5.0000 | 0.00 |
| Qx15 | 0.0000 | 5.0000 | 0.00 |
| Qx17 | 0.0000 | 5.0000 | 0.0000 |
| Qx20 | 0.0000 | 5.0000 | 0.0000 |
| Qx21 | 0.0000 | 5.0000 | 0.0000 |
| Qx23 | 0.0000 | 5.0000 | 0.0000 |
| Qx24 | 0.0000 | 5.0000 | 0.0000 |
| Qx29 | 0.0000 | 5.0000 | 0.0000 |
| Power losses (MW) | 5.8420 | ||
| Voltage deviations (VPI) | 1.16060 | ||
| Lmax | 0.21440 | ||
© 2020 by the authors. Licensee MDPI, Basel, Switzerland. This article is an open access article distributed under the terms and conditions of the Creative Commons Attribution (CC BY) license (http://creativecommons.org/licenses/by/4.0/).
Share and Cite
Khan, M.W.; Muhammad, Y.; Raja, M.A.Z.; Ullah, F.; Chaudhary, N.I.; He, Y. A New Fractional Particle Swarm Optimization with Entropy Diversity Based Velocity for Reactive Power Planning. Entropy 2020, 22, 1112. https://doi.org/10.3390/e22101112
Khan MW, Muhammad Y, Raja MAZ, Ullah F, Chaudhary NI, He Y. A New Fractional Particle Swarm Optimization with Entropy Diversity Based Velocity for Reactive Power Planning. Entropy. 2020; 22(10):1112. https://doi.org/10.3390/e22101112
Chicago/Turabian StyleKhan, Muhammad Waleed, Yasir Muhammad, Muhammad Asif Zahoor Raja, Farman Ullah, Naveed Ishtiaq Chaudhary, and Yigang He. 2020. "A New Fractional Particle Swarm Optimization with Entropy Diversity Based Velocity for Reactive Power Planning" Entropy 22, no. 10: 1112. https://doi.org/10.3390/e22101112
APA StyleKhan, M. W., Muhammad, Y., Raja, M. A. Z., Ullah, F., Chaudhary, N. I., & He, Y. (2020). A New Fractional Particle Swarm Optimization with Entropy Diversity Based Velocity for Reactive Power Planning. Entropy, 22(10), 1112. https://doi.org/10.3390/e22101112

