Next Article in Journal
Effective Surface Nano-Crystallization of Ni2FeCoMo0.5V0.2 Medium Entropy Alloy by Rotationally Accelerated Shot Peening (RASP)
Next Article in Special Issue
Filtering Statistics on Networks
Previous Article in Journal
Statistical Surveillance of Structural Breaks in Credit Rating Dynamics
Previous Article in Special Issue
A Veritable Zoology of Successive Phase Transitions in the Asymmetric q-Voter Model on Multiplex Networks
 
 
Font Type:
Arial Georgia Verdana
Font Size:
Aa Aa Aa
Line Spacing:
Column Width:
Background:
Article

Modeling User Reputation in Online Social Networks: The Role of Costs, Benefits, and Reciprocity

1
Chair of Systems Design, ETH Zurich, Weinbergstrasse 58, 8092 Zurich, Switzerland
2
Complexity Science Hub Vienna, Josefstädter Strasse 39, 1080 Vienna, Austria
3
Section for Science of Complex Systems, CeMSIIS, Medical University of Vienna, Spitalgasse 23, 1090 Vienna, Austria
*
Author to whom correspondence should be addressed.
Entropy 2020, 22(10), 1073; https://doi.org/10.3390/e22101073
Submission received: 28 July 2020 / Revised: 8 September 2020 / Accepted: 11 September 2020 / Published: 24 September 2020
(This article belongs to the Special Issue Dynamic Processes on Complex Networks)

Abstract

We analyze an agent-based model to estimate how the costs and benefits of users in an online social network (OSN) impact the robustness of the OSN. Benefits are measured in terms of relative reputation that users receive from their followers. They can be increased by direct and indirect reciprocity in following each other, which leads to a core-periphery structure of the OSN. Costs relate to the effort to login, to maintain the profile, etc. and are assumed as constant for all users. The robustness of the OSN depends on the entry and exit of users over time. Intuitively, one would expect that higher costs lead to more users leaving and hence to a less robust OSN. We demonstrate that an optimal cost level exists, which maximizes both the performance of the OSN, measured by means of the long-term average benefit of its users, and the robustness of the OSN, measured by means of the lifetime of the core of the OSN. Our mathematical and computational analyses unfold how changes in the cost level impact reciprocity and subsequently the core-periphery structure of the OSN, to explain the optimal cost level.

1. Introduction

Online social networks (OSN), like other types of social organizations, undergo a steady evolution. This is not only caused by the behavior of users while using the network [1], but even more if new users enter the network, while other users may decide to leave. New links between users are formed online, based on shared information, friendship, common interests, etc., and existing links may be deleted if users leave, or commonalities have changed. Under normal circumstances, such events may not jeopardize the existence of the OSN, in particular if the OSN is still popular and growing. However, losing users and links can pose a serious risk to OSN, even for large and successful ones on the scale of Twitter and Facebook. As a recent empirical study [2] has shown, the dropout of some users can trigger cascades of other users leaving, which quickly accumulates to a level that threatens the existence of the OSN.
To investigate the emergence and the impact of such cascades analytically and numerically, we propose a model that explicitly considers the costs and benefits of users of an OSN. Benefits are measured in terms of relative reputation (see Section 2.1), that is we take into account (i) the number and the direction of links between users, and (ii) the impact of the reputation of the counterparts on the reputation of a given user. A gain of reputation can be seen as a benefit of being part of a social network. However, there are also costs involved in being a member of an OSN, even if they are implicit. These include, among others, the efforts to login, to maintain the individual profile, to learn how to efficiently use the GUI of the provider, or the effort to adapt to changes in the GUI.
Our model extends previous notions of reputation in social networks which are based on the degree or the centrality of a user, measured by traditional centrality metrics [3]. In contrast to such topological metrics, we define the reputation of a user based on the reputation of those users that are linked to it. That means there is a value assigned to incoming and outgoing links, as they increase either the own reputation or that of others. This motivates us to consider (i) a directed network and (ii) a self-consistent dynamics of how reputation changes with the reputation of others.
The assumption that individual reputation increases with the reputation of connected users is quite common in different ranking schemes. For example, the earliest version of Google’s PageRank algorithm calculates the rank of a website as a function of the ranks of the sites linking to it. Similarly, the vulnerability of financial institutions can be calculated dependent on the vulnerability of the counterparties connected to it [4]. In more general terms, such an assumption follows (hetero)catalytic models of prebiotic evolution or foodweb interactions, e.g., from chemistry and biology, where the concentration of a particular (chemical) species depends on the concentration of those species that produce, or feed, it [5].
Jain and Krishna [6] have combined these dynamics with a network dynamic that runs on a different time scale. At each time step (measured in network time), the system was perturbed by an extremal dynamic where the least performing node in the network was replaced by a new node that randomly rewires itself back to the system. This model was already analyzed in detail [7,8] and extended to cover other phenomena, such as strategic link formation between economic agents [9].
In this paper, we build on the existing model class, but extend it in several important points: (i) In contrast to the simple extremal dynamics (where only one user is removed), we introduce a condition for users to decide to leave, namely we allow many more users to leave dependent on their personal cost-benefit ratio. (ii) We focus on the effects that cascades of users leaving have on the robustness and the performance of the OSN. Performance is quantified using the long-term average reputation of users (see also Section 3.1) and is taken as a systemic measure for the OSN rather than as an individual one. Robustness implies that the decision of users to leave the OSN does not trigger large cascades of other users leaving. We will proxy this by means of the lifetime of the core of the OSN (see also Section 2.3).
Our aim is not to focus on the size of cascades, which was done in different network approaches to systemic risk [10,11], but rather to understand the impact that leaving users have on the OSN. As mentioned, users will leave if their costs exceed their benefits. Different from previous publications we vary this cost, which is the crucial parameter in our model. Interestingly, we find that both the robustness and the performance of the OSN are maximized for a non-zero cost of usage.
To explain this, we must investigate how directed links impact the reputation across the OSN. This leads us to the problem of reciprocity: If a user contributes to the reputation of others, she may expect that these users in return also increase her own reputation. Mutual directed links between two users, e.g., 1 2 1 , would indicate direct reciprocity. However, users can also indirectly increase their reputation if they are part of a cycle, e.g., 1 2 3 1 , which indicates indirect reciprocity.
While direct and indirect reciprocity is advantageous for the OSN from a user perspective, it is not well understood how reciprocity adds to systemic properties such as the robustness of the OSN. We will address this question by a mathematical analysis that explains the impact such cycles on the core-periphery structure of the OSN. Users that are part of a cycle are well integrated in the OSN, maintain a high reputation and have little incentives to leave. However, if users leave because of a negative cost-benefit ratio, this will impact the number and sizes of such cycles, which we need to understand by means of an analytic approach that is complemented by computer simulations.
Our paper is organized as follows: Section 2 introduces the model and the analytical framework to analyze the structure of an OSN. Different Appendices allow the study of this framework by following concrete step-by-step examples. In Section 3 we present the results of computer simulations, to demonstrate the emergence of an optimal cost value, and we discuss the impact of different model parameters on the structure and the performance of the OSN. A discussion of the general insights and concluding remarks are provided in Section 4.

2. A Reputation Model

2.1. Costs and Benefits

Why do users leave an online social network (OSN)? A rational answer should be, they leave because their costs of staying in the network exceed, at a given point in time, their benefits of being members. This can be expressed by the dynamics:
s i ( t ) = Θ b i ( t ) c i ( t )
Here, s i ( t ) characterizes the current state of user i at time t as a binary variable: s i = 1 means that the user is part of the network and s i = 0 means that at time t the user leaves. Θ [ z ] is the Heavyside function which returns 1 if z 0 and 0 if z < 0 . Thus, the current state of user i depends on the difference between its benefits b i ( t ) and costs c i ( t ) .
In the following, we assume that the benefits of a user to join, and to stay, in the OSN result from the reputation X i ( t ) that the user receives from being connected to other users in the OSN. There are many social networks that operate this way: in Twitter users get a reputation from the number of their followers, in product review communities like Amazon or YouTube users earn their reputation from the votes of other users. In our model, we particularly assume that the reputation of a user, i, does not just depend on the sheer number of other users that follow i, but also on their reputation. In other words, if a user j with a high reputation x j ( t ) connects to user i, the latter receives more reputation than from a follower with low reputation.
Such a reputation measure can be explicitly displayed on the site, like the Reddit karma or the RG score of Researchgate, which increases with the reputation of followers and the feedback of the community. On the other hand, user reputation can be implicit and not part of a user profile, but can still be perceived through the activity of other users. Examples of this implicit reputation are retweets in Twitter and likes in Facebook.
We can express the impact of the followers on the reputation of a user by the following dynamics:
d X i d t = j = 1 N a i j ( t ) X j ( t ) ϕ X i ( t )
The coefficients a i j ’s are elements of the adjacency matrix of the OSN, A. They represent the link between users j and i in the OSN at time t. These are unweighted, but directed links, because it makes a difference whether user j follows user i, or the other way round. If a i j ( t ) = 1 then there is a link from j to i, in which case j is called a follower of i. a i j ( t ) = 0 indicates the absence of directed connection from j to i. Since a user cannot follow herself, we set a i i ( t ) = 0 for all t.
The sum in Equation (2) is over all users that can potentially link to i. That means if several users leave the OSN, they are replaced by the same number of new users joining the OSN. This way the total number of users, N, is kept constant. This is a first, and not necessarily the most realistic, approximation to consider an entry and exit dynamics, which can be refined in subsequent investigations. The second term on the r.h.s. of Equation (2) takes into account the effort to keep a certain level of reputation. Without several followers, the reputation of user i cannot be maintained and thus decays exponentially over time with a rate ϕ . The larger ϕ , the higher the effort to maintain the reputation.
To relate reputation to the benefits of users in the OSN, we could simply assume that benefits grow in proportion to reputation. On the other hand, the costs to stay in the OSN can be assumed to be a constant τ equal for all users, which can be seen as the effort to login and stay active. Please note that there is no cost involved in maintaining links. According to Equation (2) and dependent on the specific social network, the reputation of users can grow to large numbers, while on the other hand it can become infinitely small, but never zero. Because we are more interested in the reputation of users relative to others, we will rescale the benefits from the reputation by the largest value X max ( t ) , which makes different networks more comparable. Hence, the benefits and costs are specified in this model as follows:
b i ( t ) = X i ( t ) X max ( t ) ( 0 , 1 ) ; c i ( t ) = τ [ 0 , 1 )
Please note that in contrast to Equation (3), it is common to express the relative reputation in terms of the sum of the individual reputations, X i ( t ) :
x i ( t ) = X i ( t ) j X j ( t )
In the context of an OSN, however, this is unrealistic, as it requires that either the total reputation or everyone’s reputation is public knowledge. For this reason, we posit that users compare their reputation to the most reputable individual, who is often visible in rankings of user reputation. We note that despite the conceptual difference, a solution to Equation (3) can be mapped directly to a corresponding solution to Equation (4), by normalizing x i with respect to x max as follows:
x i ( t ) x max ( t ) = X i ( t ) / j X j ( t ) X max ( t ) / j X j ( t ) = X i ( t ) X max ( t ) = b i ( t )
In Appendix A, we further show that an equilibrium solution to Equation (2) is also an equilibrium for b i ( t ) and x i ( t ) up to a scaling factor. This means that the entry/exit dynamics introduced in Section 2.3 is invariant to the particular way in which users evaluate their relative reputation.
According to Equation (1), users leave the OSN at time t if their relative reputation is lower than a fixed threshold. Their links a i j ( t ) are then set to zero, which according to Equation (2) reduces the reputation of other users j at the next time step. This can lead to cascades of users leaving the OSN at consecutive time steps. The aim of our paper is to understand how a decrease of users’ motivation to stay because of an increase in their fixed costs τ will impact the OSN. Therefore, as a next step, in Section 2.2 we first investigate how the reputation depends on the social network, before turning to the entry/exit dynamics in Section 2.3.

2.2. Quasi-Stationary Equilibrium

Let us first discuss the reputation dynamics of users for a fixed social network. Expressing the dynamics of b i ( t ) from Equation (3) yields (see Appendix A):
d b i d t = j = 1 N a i j b j ( t ) b i ( t ) j = 1 N a z j b j ( t )
where z is the index of the individual with highest absolute reputation X max . The first term describes the reputation boost that individual i obtains from all her followers. The second term is a scaling factor and represents the reputation decay with strength equal to the total boost in reputation that user z receives.

2.2.1. Eigenvalues and Eigenvectors

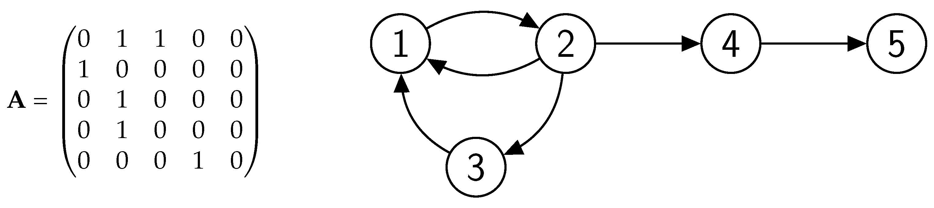
The set of Equations (6) forms a linear dynamical system of coupled first-order differential equations with the initial conditions described by the vector b ( 0 ) = { b 1 ( 0 ) , b 2 ( 0 ) , . . . , b N ( 0 ) } . The (constant in time) a i j forms the elements of an adjacency matrix A of size N × N (see Figure 1).
At equilibrium we require b i ˙ = 0 , hence
j = 1 N a i j b j ( t ) = b i ( t ) j = 1 N a z j b j ( t )
In matrix form, this equation becomes
A b ( t ) = b ( t ) j = 1 N a z j b j ( t )
If X λ is an eigenvector of A with a corresponding eigenvalue λ , then rescaling X λ will also produce an eigenvector, i.e., b λ = X λ / X max λ is a solution to Equation (8). In this case the scaling factor j a z j b j ( t ) gives the z th component, ( λ b λ ) z , of the vector λ b λ . Since ( λ b λ ) z = X z λ / X max λ = 1 , it follows that j a z j b j ( t ) = λ .
The dynamics of Equation (8) are dominated by the largest eigenvalue of A and the corresponding eigenvector gives us the steady-state reputation values. Let us illustrate this by the didactical example of a rather small network shown in Figure 1.
The characteristic polynomial determining the eigenvalues of the corresponding adjacency matrix A given in Figure 1 is
λ 5 + λ 3 + λ 2 = 0
and the largest eigenvalue is λ 1 = 1.32 . The corresponding eigenvector gives us the absolute reputation: X λ 1 = { 2.32 , 1.75 , 1.32 , 1.32 , 1 } . Rescaling this eigenvector by 1 / X max λ 1 gives the relative reputation in equilibrium: b λ 1 = { 1 , 0.75 , 0.57 , 0.57 , 0.43 } .

2.2.2. Core-Periphery Structure

To facilitate the interpretation of the relative reputation values in Figure 1, let us take a look at the corresponding network structure. This toy network already shows a topological feature typical for many social networks, known as a core-periphery structure [12,13,14,15,16,17,18]. Following Borgatti and Everett [19], Everett and Borgatti [20], the core is defined as a cohesive subgroup (e.g., a clique, n-clique, n-club or n-clan, k-plex) and the periphery is everything else.
Accordingly, and accounting for the directionality in reputation-based OSNs, we define the core, Q, as the largest strongly connected component (SCC) in the OSN. Each node in the SCC is reachable from all other nodes in the SCC. The periphery consists of all nodes that do not belong to the core. In Appendix B we characterize the structure of the code Q as it depends on the largest eigenvalue of the adjacency matrix of the OSN λ 1 . In Figure 1, the core is the SCC formed by users 1, 2, 3, who mutually boost each other’s reputations. The periphery consists of users 4 and 5 who only benefit from being connected to the core. The periphery usually contains simple chains of users (45) which emanate from the core, in this case from user 2. The core itself does not contain simple chains, but cycles, that is closed directed chains that involve n 2 users [7]. In the example, we observe two cycles, 121 and 1231, i.e., users can be part of more than one cycle. Moreover, all users have one follower each, except for user 1 who has two followers, thus her reputation can be expected to be higher than that of the others. Please note that even though users 4 and 5 have the same number of followers, their reputation is different, as user 4 has a more reputable follower belonging to the core.
More formally, a cycle is defined as a subgraph in which there is a closed path from every node of the subgraph back to itself. Cycles and structures of interlocking cycles represent irreducible subgraphs. The core Q must always contain at least one cycle to qualify as a strongly connected component. In Appendix B we show the dependency between the largest eigenvalue of the adjacency matrix of the network and the length and number of the cycles in the core.

2.2.3. Direct and Indirect Reciprocity

The shortest cycle, n = 2 , expresses direct reciprocity. In the example in Figure 1 users 1 and 2 mutually follow each other and boost each other’s reputations. For n 3 , we have indirect reciprocity, i.e., user 2 follows 3; however, 3 does not follow 2, but follows 1 instead, and only 1 may follow 2, thus closing the loop.
Direct reciprocity is very common in OSN, e.g., in twitter or google+ it is seen as good practice to link back to someone that has chosen to follow you or to have you as his/her friend. Likewise, likes, +1, or shared posts often take reciprocity into account. Compared to this, indirect reciprocity is more difficult to detect. To boost interaction along a chain of followers, and to hopefully close the loop, some OSN, e.g., google+ or researchgate, indicate for each follower the number of additional users that the user and the follower both have in common. This may increase the likelihood of creating shortcuts and shorter cycles.

2.2.4. Length of Simple Chains

At equilibrium, d b i / d t = 0 , we can insert the eigenvector b λ 1 corresponding to λ 1 into Equation (6) to get
j a i j b j λ 1 = λ 1 b i λ 1 ; b i λ 1 = 1 λ 1 j a i j b j λ 1
This means that in the long run, the reputation b i of user i is equal to the sum of the reputations of all users j that follow i, attenuated by a factor 1 / λ 1 [6,7].
Equation (10) allows us to draw some conclusions about the maximum length of simple chains involving peripheral users. In the example discussed, we note that the reputations of users 4 and 5 are related by the attenuation factor in Equation (10) such that b 4 = b 2 / λ 1 , b 5 = b 2 / λ 1 2 , and in general b n = b 2 / λ 1 n 1 for a chain of length n. If we require a simple chain to be exactly of length n, b n > τ and b n + 1 τ must hold. In other words, the n th peripheral user finds it beneficial to stay while the ( n + 1 ) th leaves. Hence, we obtain for n:
n ln ( b 2 / τ ) ln λ 1 , ln ( b 2 / τ ) ln λ 1 + 1 ; n = ln ( b 2 / τ ) ln λ 1
since we require n to be an integer value. The maximum length of a simple chain in a core-periphery network thus depends on the cost level τ , the connectedness within the core Q expressed by the largest eigenvalue λ 1 , and the relative reputation of the core user who connects the core to the chain (in our example user 2).

2.2.5. Unstable Cores

Imposing the condition n > 0 in Equation (11) requires that λ 1 > 1 and b 2 > τ which holds only if the OSN contains cycles. Without these cycles, λ 1 = 0 and the core-periphery structure breaks down. The condition, b 2 > τ , requires that the core user 2, who connects to the simple chain, needs to obtain a net gain from participating in the OSN. Otherwise, due to the attenuation factor in Equation (10), none of the users in the chain would have an incentive to stay in the network.
The special case of λ 1 = 1 represents an important exception. In this case, and provided that b 2 > τ , the length of the simple chain is no longer bounded, since all users in the chain would have the same relative reputation. More importantly, however, network structures like these are very unstable, because core users have a reputation comparable to the periphery. In fact, peripheral users can often obtain a higher reputation from multiple connections to the core, which reduces the benefit of the core users and increases their likelihood of leaving. In contrast to peripheral users, the leave of core users considerably affects other core users that are part of the same cycle. This starts cascades of users leaving and thus destroys the core. Without the core, the periphery would not be able to sustain its reputation and would break down as well.

2.2.6. Number and Length of Cycles

Unstable core-periphery structures can be avoided as long as interlocking cycles appear in the core. These contain users involved in multiple cycles which in turn receive a much higher reputation and increase the benefit (the relative reputation), also for others. Both the number of cycles in a network and their length have an impact on the largest eigenvalue λ 1 as illustrated in Appendix B. In general, we can conclude that λ 1 increases with the number of cycles, but decreases with the length of the cycle (keeping all other variables constant).
The number of cycles in the network further depends on the average density m (average number of links per user), a parameter discussed in the next section when we introduce the dynamics for the network.

2.3. Network Dynamics

In the previous section, we have explained that the reputation dynamics of Equation (2), for a fixed network, converges to an equilibrium state in which the relative reputations of users are fixed. This convergence time defines the time scale for the reputation dynamics. Dependent on their stationary reputation value that defines their benefit in relation to their costs τ , Equation (3), users can decide to leave the OSN, Equation (1), and will be replaced by new users joining the OSN. As described above, we assume that N exit ( T ) = N entry ( T ) , to keep N constant. T is the time at which entry and exit happen. We assume that the time scale for entry and exit, i.e., for changing the network structure, can be separated from the time scale of the reputation dynamics which is much shorter. This means that users make their decision based on the quasi-stationary benefit, which can only change after the network has changed.
If a user leaves the OSN, all her (incoming and outgoing) links are set to zero. The newcomer will establish the same number of incoming and outgoing links on average but, assuming that she does not know all other users, these links will be distributed at random. We assume that each user follows on average m other users. Precisely, there is a constant probability p that a new user links to the ( N 1 ) other users, and m = p ( N 1 ) is a constant related to the average density of a random OSN.
Our major interest in this paper is in the role of the cost τ that according to Equations (1), (3) defines the level at which users will leave the OSN, measured in terms of the relative reputation. The latter is between zero and one, so τ gives the fractional benefit that must be reached to stay in the OSN. In our computer simulations, we will vary this level from zero to 0.5 to study the impact of increasing costs.
τ = 0 would imply no costs. To still allow for a network dynamics in this case, we apply the so-called extremal dynamics. In this case, we choose the user with the lowest relative reputation, and force her to leave the OSN, to allow a new user to enter. In case of several users with the same low b value, we choose one of them randomly. The other limiting case τ = 1 would imply that all N users will leave and be replaced by a completely new cohort. Then, the network at every time T starts as a new random network, which has no chance to evolve. Hence, small or intermediate values of τ would be most appropriate.

3. Results of Computer Simulations

3.1. Performance

How should one measure the “performance” of an OSN? Users join the OSN for a purpose and, as we have explained in Section 2.1, here we assume that the benefits of users can be measured in terms of their relative reputation, which should be possibly increased. This implies that not only the number of followers is taken into account, but also their “value” in terms of their own reputation. Hence, it would be obvious to use the long-term average over all users’ relative reputation as a systemic measure whether or not the OSN fulfills the expectation of its users. This will serve as a proxy for the performance of the OSN.
Specifically, we build on the relative reputation, b i ( T ) , Equation (3) of a user i, obtained in the quasi-stationary limit at time T. Then, both X i ( t ) and X max ( t ) can be expressed by the corresponding values X i λ 1 ( T ) and X max λ 1 ( T ) from the eigenvector X λ 1 and we find for the average reputation of all N users
b ¯ ( T ) = 1 N i = 1 N b i ( T ) = 1 N i = 1 N X i λ 1 ( T ) X max λ 1 ( T ) ; b = 1 R r = 1 R b ¯ r ( T max )
b ¯ ( T ) refers to the population average at a given time T which can considerably fluctuate because of stochastic influences when changing the network structure at every time step T. Therefore, we define the long-term average benefit b which is a system average taken over a large number of independent runs R = 100 , where the average satisfaction was measured after considerable long time T max = 12,000 .
The results of our simulations are shown in Figure 2 for various values of the costs τ and the average number of links m. The most remarkable observation, prominently shown on the left side of Figure 2, is the maximum average benefit b max for a non-zero cost at τ max = 0.2 . Counterintuitively, this result implies that adding a cost for participating in an OSN maximizes the average reputation in the system.
The right part of Figure 2 demonstrates how this effect depends on the other important model parameter, the average number m of users, a new user tends to follow. Here, we clearly observe that for costs below τ max , m has almost no influence on the performance, which is interesting enough because one would assume that a larger number of potential followers would always improve the situation. Note, however, that the performance relates to the relative reputation, i.e., X i may increase with m but so does X max . For costs above τ max , we see a drastic decrease in the performance which depends on m in a much more pronounced way. In fact, there is a non-monotonous dependence—increasing m in the range of small values will further decrease the performance.
To better understand these interesting results about the improvement of performance with increasing costs, we have to refer to the robustness of the OSN, which is inherently related to the stability of the core-periphery structure already discussed in Section 2.2.

3.2. Robustness

An OSN is said to be robust if the decision of users to leave the OSN will not trigger large cascades of further users leaving. Hence, we could use the sheer fraction of users remaining in the OSN at time T, Y ( T ) = 1 N exit ( T ) / N , as a measure of its robustness. However, because this dropout is always compensated by a number of new users entering the OSN, we will need a different robustness measure.
We recall that the robustness of the OSN depends on the existence of a distinct core-periphery structure for which the stability conditions are explained in Section 2.2 and Appendix C. This core-periphery structure is challenged at every time T because of the entry and exit of users and the corresponding formation and deletion of links. Therefore, cascades of users leaving can generally not be avoided, as exemplified in Appendix C. However, such cascades should not destroy the whole OSN, in particular not the core of the network that contributes the most to the average benefit of its users and prevents the periphery from leaving the OSN.
Consequently, we will use the lifetime Ω Q of the core Q (measured in network time T) as a proxy for the robustness of the OSN. Because of considerable fluctuations, similar to performance, we will use the average Ω Q . In a similar fashion to performance, Ω Q is averaged over T max = 12,000 network time steps, allowing for sufficient cycles of core creations and destructions.
Figure A1 in Appendix D illustrates, for a sample network, that the robustness measure Ω Q is maximized for the optimal cost level τ max = 0.2 . Specifically, we notice a non-monotonous behavior. The lifetime of the core-periphery structure is mostly threatened by peripheral users attracting followers, without reciprocally contributing to the benefit of others (see Appendix C). A non-zero cost, 0 < τ < τ max , prevents this “behavior” to some extent, but a cost too high, τ max < τ < 1 , rather destroys the core and, hence, the depending periphery.
Because both performance and robustness are maximized for the optimal cost level τ max = 0.2 , one could argue that performance is simply a substitute of robustness. This simplified explanation, however, does not hold. As Appendix C shows in detail, the core can be destroyed by cascades that involve core users. However, the replacement of users leaving by new users at each time step T also bears the chance that random rewiring leads to the recovery of the core, thanks to new users linked to the core.
That means, to maximize performance not only the lifetime of the core matters, but also the recovery time Π Q it takes to rebuild the core. The OSN should recover quickly, to not affect the long-term benefit of its users. As Figure A1 in Appendix D shows for a sample network, the averaged recovery time Π Q of the core-periphery structure becomes shorter if τ increases, i.e., if more new users enter the OSN, and new links increase the chance of establishing reciprocal relations. However, again, if the randomness associated with this process becomes too high, favorable structures may get destroyed. A small, but considerable cost τ max = 0.2 can balance these counteracting processes.
In conclusion, the cost value τ max =0.2 optimizes the ratio between these two time spans, the average lifetime of the core, Ω Q , and the average recovery time of the core, Π Q . It is only their combined impact of maximizing Ω Q while minimizing Π Q that explains the maximum of performance b , as discussed in detail in Appendix D.

3.3. Core Size and Largest Eigenvalue

In Section 2.2 we already shortly discussed how an increase in cost τ affects the structure of the OSN. In particular, the length of both simple chains and of cycles of followers will be reduced (Equation (11)). This results in a decreasing size Q of the core built by users that belong to one or more cycles. Figure 3 shows the histogram of the core sizes, P ( Q ) for two different costs, τ = 0 and τ = 0.25 , where the first one is only used as a reference case. For each value of τ we ran R = 100 simulations. The end of each simulation occurred at the time step T max = 12,000 at which point we measured the core size and the largest eigenvalue of the corresponding adjacency matrix.
One recognizes that with increasing cost, the distribution gets more skewed, with its maximum shifted to smaller values of Q. To allow for a real comparison of the different simulations, we have taken into account only those realizations where the core-periphery structure encompasses the whole network (i.e., one connected component, and no isolated users, or groups of users). Figure A2 shown in Appendix E also illustrates the structure of the resulting OSN. One clearly observes that with increasing costs there is a tendency of users in the core to follow more other users.
The second structural insight comes from the histogram of the largest eigenvalue, P ( λ 1 ) , shown in the right part of Figure 3. Compared to the case with no costs, we observe a considerably broader distribution, with the maximum shifted to a larger value of λ 1 . The latter indicates that with increasing costs there is a much larger likelihood to find larger values of λ 1 . This, in turn, implies shorter simple chains and shorter cycles. In line with the argumentation in Appendix B, we can also confirm that larger λ 1 correspond to more cycles inside the core, and thus larger average reputation, which can be verified by comparing the snapshots of Figure A2.
We remind that the condition (11) only refers to simple cycles and simple chains, i.e., chains in which each user has exactly one follower. If users have several followers, their benefit-to-cost difference can overcome the condition (11) even if their position in the chain or in the cycle would not allow for this. In addition, such users automatically boost the reputation of all other users downstream. As the cost τ increases, having more than one follower becomes crucial in particular for peripheric users to stay. Having more than one follower, on the other hand, also increases the chance of creating new cycles, which in turn increases λ 1 . This again feeds back both on the core and the periphery of the OSN, increasing the pressure towards a more compact core and shorter chains. Hence, it is in fact the relation with λ 1 that facilitates the role of the cost τ in shaping the network.

4. Discussion

In this paper, we have extended previous works on online social networks (OSN) in different respect: (a) we have studied directed networks of users and their followers; (b) users are characterized by a dynamic variable, their reputation, which is quantified not by simple topological centrality measures, but by a non-local measure, eigenvector centrality; (c) to model changes in reputation, we use the idea of hetero-catalytic processes, i.e., cycle-related feedback, which is not often used in describing the dynamics of online social networks. These features are reflected in an agent-based model, which captures several generic aspects of OSN. We summarize some of these in the following.

4.1. Core-Periphery Structure

Most OSNs are characterized by a core of active users that are closely linked to each other, and a periphery of less active users that are loosely connected to the core. Empirical studies have shown [2,21] that the core of OSN is not only quite large, compared to the size of the OSN, but also “deep”, i.e., most users are well integrated in the OSN. Our model can reproduce such a structure, but also to explain its origin, as a combination of direct and indirect reciprocity. The former implies mutual directed links between two users, whereas the latter occurs if users are part of closed cycles and thus benefit from others through the cycle.

4.2. Reputation Dynamics

Many models of OSN take the number of “friends”, i.e., direct links between users into account and take degree and traditional centrality metrics as proxies of a user’s reputation [22,23,24]. Our model, in contrast, not only considers that such social relations are directional (i.e., a link from user j to i does not necessarily implies a link from i to j), but also explicitly takes the different impact of users into account, weighting it by means of a (generalized) reputation. Notably, reputation is not determined by the user herself, instead it results from the interaction with others. A user is said to have a high reputation if it is followed by many other users with high reputation. In this way, the value or "quality" of one’s followers is taken into account, in addition to the sheer number. Reputation that is not actively maintained will fade out in the course of time, so that users that are not able to attract followers automatically lose in impact.

4.3. Cost-Benefit Analysis

In our model, users join the OSN for a purpose. That means they bear costs, to obtain some benefit. If their costs are higher than their benefits, users leave the OSN. Hence, our model includes an entry-exit dynamics which is motivated by rational arguments. We have assumed that a user’s benefit increases with the number of followers it attracted, which in turn boost its reputation. Hence, benefits are measured by the relative reputation of a user, scaled by the maximum reputation in the OSN. The latter allows us to better compare OSNs of different sizes and link densities. Costs, on the other hand, are assumed to be fixed, they include for example the effort of using the website or to maintain a profile.
Our main focus in this paper was on the role of the cost τ incurred for every active user. Increasing τ would imply a pressure on users to leave because it worsens their cost-benefit relation. This short-term negative effect, however, has a positive influence on the core-periphery structure of the OSN. As we demonstrate in this paper, an optimal cost level can increase the long-term benefit of users in terms of a higher relative reputation.

4.4. Performance

To estimate the impact of increasing costs, we have defined the long-term benefit averaged over the whole OSN, b , as a performance measure. Intuition would suggest that b monotonously decreases with increasing costs up to a point where the whole OSN collapses. Interestingly, this picture does not hold for comparably small cost values. On the contrary, a small cost up to τ max = 0.2 improves the situation, i.e., the long-term benefit increases compared to a reference case without any cost (where no user would leave). In other words, a small cost forces those users to leave which were never able to attract any follower. This, in our model, gives way to new users that might be more successful in this respect.

4.5. Robustness

As a second important insight, we analyze both mathematically and by means of computer simulations how increasing costs change the structure, and hence the robustness, of the OSN. Our model is set up in a way that it allows the expression of the outcome of the reputation dynamics by λ 1 , the largest eigenvalue of the adjacency matrix that describes the interaction between users. We verified that an increasing cost τ leads to higher values of λ 1 , which means a smaller, but more compact core and, most remarkably, in an increasing likelihood to have more than one follower. This, on the other hand, increases the direct and indirect reciprocity that characterizes the core.
Robustness implies that cascades of users leaving will not destroy the core, i.e., the lifetime of the core can be used as a proxy measure of robustness. We have shown that this lifetime is maximized for the optimal cost value τ max = 0.2 .
We emphasize that the above conclusions are obtained from a model that, as with every model, only captures part of the features of real OSN. The value of the model is in what it can produce despite some of the simplified assumptions. Our insights now allow us to specifically search for optimal cost-benefit relations, or to test other assumptions to calculate the benefit.
Why is this issue important? First, there are costs involved in being a member of an OSN, even if they are implicit. These include, among others, the efforts to login and to retain one’s own social network (e.g., by maintaining regular information stream), the effort of learning how to efficiently use the GUI of the provider, or the effort to adapt to changes in the GUI. The latter can make it harder to maintain social contacts, at least temporarily. As Garcia et al. [2] argued, it was ill-timed interface changes that caused the massive dropout of users from Friendster, which came at a time when new competitors, such as Facebook, were ramping up in popularity.
There is a second issue involved in this discussion. Even if most users enjoy participating in an OSN free of charge, companies would like to know these users would respond, if at some point in time costs such as monthly membership fees are introduced. Will members remain loyal, or will this lead to a massive exodus of users, making the OSN less attractive for investors? Subsequently, if users leave how would this affect the OSN? What will be the impact of less active users leaving compared to core users leaving? What incentives should be introduced to keep power users engaged?
With our agent-based modeling framework that consider both entry-exit dynamics and cost-benefit considerations of users, we can address such questions. It also helps to better understand the relation between the integration of users and the overall performance of the OSN, which allows to the formal consideration of issues such as user satisfaction and service quality.

Author Contributions

Conceptualization, F.S. and A.M.S.; computer simulations, A.M.S. and P.M.; formal analysis, A.M.S. and P.M.; writing—original draft preparation, F.S., A.M.S., P.M., D.G.; writing—review and editing, F.S., P.M. and D.G.; supervision, F.S. All authors have read and agreed to the published version of the manuscript.

Funding

This research received no external funding.

Conflicts of Interest

The authors declare no conflict of interest.

Appendix A. Absolute and Relative Reputation

In this Appendix, we show that the equilibrium absolute reputations given by a stationary solution to Equation (2) are a scaled representation of the equilibrium relative reputations x and b .
Let us rewrite Equation (2) in matrix form:
d X ( t ) d t = A X ( t ) ϕ X ( t )
If we normalize the absolute reputation, X i ( t ) , with respect to the total reputation in the system, we can easily remove the free parameter ϕ , provided it is the same for all users. More importantly, using such relative reputation is more plausible in an OSN where individuals tend to evaluate their benefit with respect to others, rather than to an arbitrary absolute scale.
Let x i ( t ) = X i ( t ) / j X j ( t ) . Then we can express the dynamics of x i ( t ) as follows:
d x i ( t ) d t = d X i ( t ) d t j X j ( t ) j X j ( t ) 2 X i ( t ) d j X j ( t ) d t j X j ( t ) 2 = d X i ( t ) / d t j X j ( t ) x i ( t ) d j X j ( t ) / d t j X j ( t ) = j a i j X j ( t ) ϕ X i ( t ) j X j ( t ) x i ( t ) j k a j k X k ( t ) ϕ X j ( t ) j X j ( t ) = j a i j x j ( t ) ϕ x i ( t ) / + ϕ x i ( t ) / x i ( t ) j k a j k x k ( t ) = j a i j x j ( t ) x i ( t ) j k a j k x k ( t )
In matrix form Equation (A2) becomes:
d x ( t ) d t = A x ( t ) x ( t ) j k a j k x k ( t )
The equilibrium solutions to Equation (A3) are given by the eigenvectors of A . If X λ is one such eigenvector with a corresponding eigenvalue λ , then the rescaled vector x λ = X λ / i X i λ is also an eigenvector, and the constant, j k a j k x k ( t ) , equals λ .
However, defining relative reputation in this way, presumes that either everyone’s reputation or the total reputation in the system is common knowledge. This is unlikely to be the case in any OSN. For this reason, we normalize X i ( t ) with respect to the individual with maximum absolute reputation X max ( t ) .
Let b i ( t ) = X i ( t ) / X max ( t ) . The dynamics of b i ( t ) becomes:
d b i ( t ) d t = d X i ( t ) d t X max ( t ) X max ( t ) 2 X i ( t ) d X max ( t ) d t X max ( t ) 2 = = d X i ( t ) d t 1 X max ( t ) b i ( t ) 1 X max ( t ) d X max ( t ) d t = j a i j X j ( t ) X max ( t ) ϕ X i ( t ) X max ( t ) b i ( t ) 1 X max ( t ) j a z j X j ( t ) ϕ X max ( t ) = j a i j b j ( t ) ϕ b i ( t ) / + ϕ b i ( t ) / b i ( t ) j a z j b j ( t ) = j a i j b j ( t ) b i ( t ) j a z j b j ( t )
where z is the index of the individual with the highest absolute reputation X max ( t ) .
In a similar manner, a rescaled eigenvector of A , b λ = X λ / X max λ , is an equilibrium solution to Equation (A4). In this case the constant, j a z j b j ( t ) again equals λ .
To summarize, an eigenvector X λ of A is a solution to both Equation (A3) and Equation (A4). This shows that the two ways of defining relative information are in fact equivalent, up to a scaling factor.

Appendix B. Impact of Cycles on λ1

To further illustrate the impact of the network structure, in particular the number and the length of cycles, on the largest eigenvalue of the adjacency matrix, we present some didactical examples in Table A1.
Table A1. Examples of how the network structure affects the adjacency matrix.
Table A1. Examples of how the network structure affects the adjacency matrix.
Adjacency MatrixCorresponding Network
[1]A = 0 0 1 1 0 0 0 1 0
λ 1 = 1
b λ 1 = ( 1 , 1 , 1 )
Entropy 22 01073 i001
[2]A = 0 0 1 0 1 0 0 0 0 1 0 1 0 1 0 0
λ 1 = 1.22
b λ 1 = ( 0.819 , 0.671 , 1 , 0.55 )
Entropy 22 01073 i002 
[3]A = 0 0 1 0 0 1 0 0 0 0 0 1 0 1 0 0 1 0 0 1 0 0 0 1 0
λ 1 = 1.36904
b λ 1 = ( 0.73 , 0.533 , 1 , 0.835 , 0.61 )
Entropy 22 01073 i003  
[4]A = 0 0 1 0 0 1 0 0 0 0 0 1 0 0 1 0 1 0 0 0 0 0 0 1 0
λ 1 = 1.194
b λ 1 = ( 0.838 , 0.702 , 1 , 0.588 , 0.492 )
Entropy 22 01073 i004 
[5]A = 0 0 1 0 0 0 1 0 0 0 0 0 0 1 0 1 0 0 0 1 0 0 0 1 0 0 0 1 0 0 0 0 0 0 1 0
λ 1 = 1.325
b λ 1 = ( 0.755 , 0.57 , 1 , 0.755 , 0.57 , 0.43 )
Entropy 22 01073 i005 
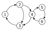
The example [ 1 ] has the largest eigenvalue of λ 1 = 1 , and the corresponding eigenvector gives the same relative reputation for every user. A possible next step in the evolution of the core structure is shown in [ 2 ] where a new user 4 joins the network. User 2 follows this newcomer, who in turn links itself back to user 3. The core is now composed of two cycles of length 3 and 4. As a consequence, λ 1 jumps up from 1 to a new value 1.22 . Hence, the addition of a cycle to the core increases λ 1 . With this, the reputation of the users in the core is no longer homogeneous. Because of her two followers, user 3 has the highest relative reputation, where user 4, being the last in the cycle starting with user 3 has the lowest reputation.
If a new user 5 joins the core structure, this time adding a 2-cycle, as shown in [ 3 ] , this results in a further increase of λ 1 and a re-shuffling in the reputation vector. User 3 is still dominant, but now user 4 can boost her own reputation thanks to user 5. This leaves user 2 as the loser in this new configuration.
To illustrate the effect of cycle sizes on the core structure, imagine that user 5 joined the network in a different way. Instead of creating a 2-cycle, she might have extended an existing one, as shown in [ 4 ] . The core now consists of a 3-cycle and a 5-cycle, everything else being the same (user 2 still follows two other users and user 3 still has two followers). Yet, this alternative addition of user 5 has the effect of reducing the value of λ 1 : it is now λ 1 = 1.194 , down from 1.22 before. User 3 is still dominant, but now user 5, being the last in the cycle starting at user 3, has the lowest population. This core structure would be unfeasible in a system with a cost level τ = 0.5 , since user 5 would decide to leave.
Let us go back to the sustainable core structure shown in [ 3 ] . Imagine that the 2-cycle is expanded by user 6 following user 4 and being followed by user 5 (shown in [ 5 ] ). Again, the effect of increasing the length of the cycle was to reduce λ 1 .
To summarize these observations, we conclude that adding a cycle to an existing core while keeping all else equal increases the value of λ 1 . On the other hand, if the number of cycles is kept constant, then increasing the length of a cycle decreases the value of λ 1 .

Appendix C. Cascades of Users Leaving the OSN

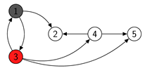
Table A2 shows consecutive steps without cost ( τ 1 = 0, left column) and with optimal cost ( τ 2 = 0.2, right column), to illustrate how cascades of users leaving the OSN emerge. The initial configuration (STEP T 0 ) shown in Table A2 has a core-periphery structure (users 1, 2, 3 belong to the core colored in red, and users 4, 5 to the periphery). Users colored in grey leave the OSN at the given time step. In the initial configuration user 5 has the lowest relative reputation of 0.24 and will leave the network because, according to Section 2.3, it is assumed that even with b > τ at least one user, the one with the least benefit, will leave to ensure the network dynamics for both cost levels. In the next time step, it will be replaced by another user 5 with a different connection to the network. Because of the tightly connected core, most dropout events during subsequent time steps (not shown) will likely affect only the periphery, replacing users 4 and 5. However, due to the random rewiring of m incoming and outgoing links for each new user, configurations like the ones shown at a later STEP T 1 of Table A2 can appear. In fact, the consecutive steps T 1 - T 4 are drawn from real simulations of this small OSN (see also Appendix D).
Interestingly, in STEP T 1 the peripheral users attract several incoming links. This may not happen immediately at their entry, but we assume that within one time step T, after a short relaxation time users become known to at least part of the network and then are able to receive incoming links, as well as they get to know part of the network to establish outgoing links to existing users. Because of this link structure, the peripheral users can receive the same relative reputation (printed below each snapshot) as the core users, which means that all users become susceptible to drop out in the same manner. In the example user 1 (left column) and user 2 (right column) will leave because, among users with the same low reputation, one is chosen at random. Their dropout leads to a smaller core and, consequently, to a lower relative reputation of core users which becomes even lower than the one of peripheral users. This in turn determines further core users to leave as shown at STEP T 2 . In the right column, user 1, which was a follower of the previous user 2, leaves now. In the left column, a new user 1 has entered the OSN, but (because of the random rewiring process) fails to establish links to other users, or to attract other links. Hence, this user is also determined to leave at the current time step. In the consecutive STEP T 3 , the cascade of core users leaving further erodes the structure of the core and hence also affects the peripheral users as shown in STEP T 4 . In conclusion, after the core was affected by the cascades in STEP T 1 , the OSN could no longer remain resilient.
As the snapshots of Table A2 come from real computer simulations, we can also tell that it took a considerable time before, because of random rewiring, a new core of users emerged. Precisely, the recovery time was T recovery = 492 in the case of τ 1 = 0, but only T recovery = 297 in the case of τ 2 = 0.2. As this example indicates, the emergence of cascades of users leaving is largely independent of the precise cost level. However, the time for the OSN to recover and the average lifetime of the core significantly depends on it. This is quantitatively analyzed in Appendix D.
Table A2. Examples of emerging cascades of users leaving (obtained from computer simulations, see also Appendix D). The top row shows the initial configuration of a sample OSN. Subsequent rows show consecutive time steps of the evolution of the OSN, measured in network time T 1 - T 4 for two different cost levels: (left column) τ 1 = 0 , (right column) τ 2 = 0.2 . (red) indicates core users, (grey) indicates users leaving at the given time step. The relative reputation b λ 1 of users and the average reputation b , Equation (12), is given for each configuration.
Table A2. Examples of emerging cascades of users leaving (obtained from computer simulations, see also Appendix D). The top row shows the initial configuration of a sample OSN. Subsequent rows show consecutive time steps of the evolution of the OSN, measured in network time T 1 - T 4 for two different cost levels: (left column) τ 1 = 0 , (right column) τ 2 = 0.2 . (red) indicates core users, (grey) indicates users leaving at the given time step. The relative reputation b λ 1 of users and the average reputation b , Equation (12), is given for each configuration.
STEP T 0
Entropy 22 01073 i006
b λ 1 = ( 1 , 1 , 1 , 0.49 , 0.24 )
b = 0.74
τ 1 = 0 τ 2 = 0 . 2
STEP T 1
Entropy 22 01073 i007
b λ 1 = ( 1 , 1 , 1 , 1 , 1 )
b = 1
Entropy 22 01073 i008
b λ 1 = ( 1 , 1 , 1 , 1 , 1 )
b = 1
STEP T 2
Entropy 22 01073 i009
b λ 1 = ( 0 , 0.5 , 0.5 , 1 , 0.5 )
b = 0.5
Entropy 22 01073 i010
b λ 1 = ( 0.5 , 1 , 0.5 , 0.5 , 1 )
b = 0.7
STEP T 3
Entropy 22 01073 i011
b λ 1 = ( 1 , 0.5 , 0.5 , 1 , 0.5 )
b = 0.7
Entropy 22 01073 i012
b λ 1 = ( 0.5 , 1 , 0.5 , 0.5 , 1 )
b = 0.7
STEP T 4
Entropy 22 01073 i013
b λ 1 = ( 1 , 0 , 0 , 0 , 0 )
b = 0.2
Entropy 22 01073 i014
b λ 1 = ( 0 , 1 , 0 , 0 , 0 )
b = 0.2

Appendix D. Optimal Cost Level

To illustrate how the cost, τ , affects the average reputation in the network, we simulated the dynamics of a small network of five nodes over T max = 10 4 network time steps. The left part of Figure A1, which should be compared with the left part of Figure 2, shows the average reputation of the OSN. We observe again that for our small network the maximum average benefit is attained for a non-zero cost. More precisely, we confirm that the optimal cost is τ max = 0.2, as it was for the much larger network simulated in Figure 2, so this cannot be attributed to a size effect. Furthermore, at this optimal cost level, the network is not considerably disturbed as the average number of new users is less than 40% of the network size. This shows that the maximum average benefit is not concentrated in a minority of core users, at the expense of a large and sparsely connected periphery.
The right part of Figure A1 explains why this particular value of τ appears to be the optimal one. Here, we have plotted two different time spans, the average lifetime of a core, Ω Q , and the average time to establish a core, Π Q , both measured in network time T, as a function of the cost τ .
For each value of τ we ran the entry/exit dynamics for T max = 10 4 network time steps. The moment a strongly connected component emerged was marked as the creation of a new core. If at a later time step t < T max , a larger strongly connected component emerged and it was not connected to the existing core, we recorded this component as the new core with a creation timestamp of t. We note that for the small network in question, the emergence of a larger strongly connected component, separated from the existing core, never happened. Instead, the existing core constantly expanded with new cycles coming from the periphery. Once the core had been destroyed, we recorded the time difference between its destruction and creation, which represents the lifetime of that particular core. Similarly, we recorded the time difference between the creation of a new core and the destruction of the old one as the time to establish a new core. Over the course of T max = 10 4 time steps there were multiple cores that were created and destroyed - the average lifetime and average time to establish a new core are hence calculated as the time averages of all these individual measurements.
Referring back to Figure A1 we see that except for τ =0, which only serves as a reference case, the time Π Q to establish a core in the OSN monotonously increases with τ until it reaches a saturation value at high levels of τ 1 . As explained in Section 2.3, this increase is due to the increasing number of users that leave the OSN at each time step T. If τ gets too large, a considerable fraction of the OSN is replaced, this way also destroying favorable reciprocal social links. For large τ the average lifetime of the core, Ω Q , decreases for the very same reasons. For small τ , however, we observe a non-monotonous behavior, i.e., the lifetime increases with τ until it reaches a maximum at τ max = 0.2. Hence, the optimal cost level balances two different dynamic effects: (a) the emergence of a core of users that by means of direct or indirect reciprocity, keep a relatively high reputation, and (b) the maintenance of this core by the users. Cascades of users leaving cannot be prevented as we have explained in Appendix B. The question is how fast the OSN can cope with it. At the optimal cost level, the core not only stays alive, but also quickly recovers from the leave of core users. Therefore, the average reputation of most of the users remain high over time.
Figure A1. (Left) Long-term average benefit b , Equation (12) (blue, left scale), and average fraction of rewired users over the whole simulation (red, right scale) . (Right) Average lifetime of a core, Ω Q (blue), and average time to establish a core, Π Q (green), both measured in network time T, as a function of the cost τ . The Wilcoxon-rank test shows that Ω Q τ = 0.2 is significantly different from Ω Q τ = 0.1 (p-value = 0.02 ) and from Ω Q τ = 0.3 (p-value = 10 8 ).
Figure A1. (Left) Long-term average benefit b , Equation (12) (blue, left scale), and average fraction of rewired users over the whole simulation (red, right scale) . (Right) Average lifetime of a core, Ω Q (blue), and average time to establish a core, Π Q (green), both measured in network time T, as a function of the cost τ . The Wilcoxon-rank test shows that Ω Q τ = 0.2 is significantly different from Ω Q τ = 0.1 (p-value = 0.02 ) and from Ω Q τ = 0.3 (p-value = 10 8 ).
Entropy 22 01073 g0a1

Appendix E. Network Structure

Here we present three typical snapshots of the network structure for different values of the cost τ . In all three simulations, the parameter that determines the network density is fixed to m = 0.25 and the system size is N = 100. The most immediate differences in these three snapshots are (i) the core size, which strongly decreases with increasing cost τ and (ii) the maximum out-degree which increases with increasing cost τ . These findings are in agreement with our theoretical discussions in Section 2.2 about changes in the largest eigenvalues λ 1 dependent on the existence of chains and cycles in the network structure.
Figure A2. Sample networks for different cost τ . (top-left) τ = 0.0. λ 1 = 1.133, number of users in the core: 31. The largest out-degree is 5. In total, there are 3 users (71, 28, and 24) with 5 outgoing links. (bottom) τ = 0.2. λ 1 = 1.47, number of users in the core: 21 The largest out-degree is 7. User 7 has 7 outgoing links, user 36 has 6, and at least five users (49, 91, 26, 54, and 45) have 5. (top-right) τ = 0.3. λ 1 = 1.40 , number of users in the core: 7. The largest out-degree is 10. Two users (34 and 76) have out-degree 10, one (49) has out-degree 7 and one (87) has out-degree 6.
Figure A2. Sample networks for different cost τ . (top-left) τ = 0.0. λ 1 = 1.133, number of users in the core: 31. The largest out-degree is 5. In total, there are 3 users (71, 28, and 24) with 5 outgoing links. (bottom) τ = 0.2. λ 1 = 1.47, number of users in the core: 21 The largest out-degree is 7. User 7 has 7 outgoing links, user 36 has 6, and at least five users (49, 91, 26, 54, and 45) have 5. (top-right) τ = 0.3. λ 1 = 1.40 , number of users in the core: 7. The largest out-degree is 10. Two users (34 and 76) have out-degree 10, one (49) has out-degree 7 and one (87) has out-degree 6.
Entropy 22 01073 g0a2

References

  1. Suvakov, M.; Mitrovic, M.; Gligorijevic, V.; Tadic, B. How the online social networks are used: Dialogues-based structure of MySpace. J. R. Soc. Interface 2013, 10, 20120819. [Google Scholar] [CrossRef] [PubMed]
  2. Garcia, D.; Mavrodiev, P.; Schweitzer, F. Social resilience in online communities: The autopsy of friendster. In Proceedings of the 1st ACM Conference in Online Social Networks (COSN ’13), Boston, MA, USA, 7–8 October 2013; pp. 39–50. [Google Scholar] [CrossRef]
  3. Gayo-Avello, D. Nepotistic relationships in Twitter and their impact on rank prestige algorithms. Inf. Process. Manag. 2013, 49, 1250–1280. [Google Scholar] [CrossRef]
  4. Battiston, S.; Puliga, M.; Kaushik, R.; Tasca, P.; Caldarelli, G. DebtRank: Too Central to Fail? Financial Networks, the FED and Systemic Risk. Sci. Rep. 2012, 2, 541. [Google Scholar] [CrossRef] [PubMed]
  5. Eigen, M.; Schuster, P. The Hypercycle: A Principle of Natural Self-Organization; Springer: Berlin, Germany, 1979. [Google Scholar]
  6. Jain, S.; Krishna, S. Autocatalytic Sets and the Growth of Complexity in an Evolutionary Model. Phys. Rev. Lett. 1998, 81, 5684–5687. [Google Scholar] [CrossRef]
  7. Jain, S.; Krishna, S. Crashes, Recoveries, and Core Shifts in a Model of Evolving Networks. Phys. Rev. 2002, 65, 26103–26104. [Google Scholar] [CrossRef] [PubMed]
  8. Seufert, A.M.; Schweitzer, F. Aggregate Dynamics in an Evolutionary Network Model. Int. J. Mod. Phys. C 2007, 18, 1659–1674. [Google Scholar] [CrossRef]
  9. Koenig, M.D.; Battiston, S.; Schweitzer, F. Modeling Evolving Innovation Networks. In Innovation Networks. New Approaches in Modelling and Analyzing; Pyka, A., Scharnhorst, A., Eds.; Springer: Berlin, Germany, 2009; pp. 187–267. [Google Scholar] [CrossRef]
  10. Lorenz, J.; Battiston, S.; Schweitzer, F. Systemic risk in a unifying framework for cascading processes on networks. Eur. Phys. J. B 2009, 71, 441–460. [Google Scholar] [CrossRef]
  11. Tessone, C.J.; Garas, A.; Guerra, B.; Schweitzer, F. How big is too big? Critical shocks for systemic failure cascades. J. Stat. Phys. 2013, 151, 765–783. [Google Scholar] [CrossRef][Green Version]
  12. Holme, P. Core-periphery organization of complex networks. Phys. Rev. E 2005, 72, 046111. [Google Scholar] [CrossRef] [PubMed]
  13. Capocci, A.; Servedio, V.D.P.; Colaiori, F.; Buriol, L.S.; Donato, D.; Leonardi, S.; Caldarelli, G. Preferential attachment in the growth of social networks: The internet encyclopedia Wikipedia. Phys. Rev. E 2006, 74, 036116. [Google Scholar] [CrossRef] [PubMed]
  14. Hojman, D.; Szeidl, A. Core and periphery in networks. J. Econ. Theory 2008, 139, 295–309. [Google Scholar] [CrossRef]
  15. Vitali, S.; Glattfelder, J.B.; Battiston, S. The Network of Global Corporate Control. PLoS ONE 2011, 6, e25995. [Google Scholar] [CrossRef] [PubMed]
  16. Cattani, G.; Ferriani, S. A Core/Periphery Perspective on Individual Creative Performance: Social Networks and Cinematic Achievements in the Hollywood Film Industry. Organ. Sci. 2008, 19, 824–844. [Google Scholar] [CrossRef]
  17. Kumar, R.; Novak, J.; Tomkins, A. Structure and Evolution of Online Social Networks. In Link Mining: Models, Algorithms, and Applications; Yu, P.S., Han, J., Faloutsos, C., Eds.; Springer: New York, NY, USA, 2010; pp. 337–357. [Google Scholar]
  18. Corten, R. Composition and Structure of a Large Online Social Network in the Netherlands. PLoS ONE 2012, 7, e34760. [Google Scholar] [CrossRef] [PubMed]
  19. Borgatti, S.; Everett, M. Models of core/periphery structures. Soc. Netw. 2000, 21, 375–395. [Google Scholar] [CrossRef]
  20. Everett, M.; Borgatti, S. Peripheries of cohesive subsets. Soc. Netw. 2000, 21, 397–407. [Google Scholar] [CrossRef]
  21. Garcia, D.; Mavrodiev, P.; Casati, D.; Schweitzer, F. Understanding popularity, reputation, and social influence in the Twitter society. Policy Internet 2017, 9, 343–364. [Google Scholar] [CrossRef]
  22. Kwak, H.; Lee, C.; Park, H.; Moon, S. What is Twitter, a social network or a news media? In Proceedings of the 19th international conference on World wide web, Raleigh, NC, USA, 26–30 April 2010; pp. 591–600. [Google Scholar]
  23. Magno, G.; Weber, I. International gender differences and gaps in online social networks. In International Conference on Social Informatics; Springer: Cham, Switzerland, 2014; pp. 121–138. [Google Scholar]
  24. Niven, K.; Garcia, D.; Lowe, I.V.D.; Holman, D.; Mansell, W. Becoming popular: Interpersonal emotion regulation predicts relationship formation in real life social networks. Front. Psychol. 2015, 6. [Google Scholar] [CrossRef] [PubMed]
Figure 1. Sketch of an OSN (right) that displays a core-periphery structure (see text) and the corresponding adjacency matrix A (left).
Figure 1. Sketch of an OSN (right) that displays a core-periphery structure (see text) and the corresponding adjacency matrix A (left).
Entropy 22 01073 g001
Figure 2. Long-term average benefit b , Equation (12) for varying costs τ (left) and average number of links m (right). Other parameters m = 0.25 , N = 100 , T max = 12,000 .
Figure 2. Long-term average benefit b , Equation (12) for varying costs τ (left) and average number of links m (right). Other parameters m = 0.25 , N = 100 , T max = 12,000 .
Entropy 22 01073 g002
Figure 3. (left) Distribution P ( Q ) of core sizes Q, (right) Distribution P ( λ 1 ) of the largest eigenvalue λ 1 . (red) τ = 0 , (green τ = 0.25 ). Other parameters N = 100 , m = 0.25 , T max = 12,000 .
Figure 3. (left) Distribution P ( Q ) of core sizes Q, (right) Distribution P ( λ 1 ) of the largest eigenvalue λ 1 . (red) τ = 0 , (green τ = 0.25 ). Other parameters N = 100 , m = 0.25 , T max = 12,000 .
Entropy 22 01073 g003

Share and Cite

MDPI and ACS Style

Schweitzer, F.; Mavrodiev, P.; Seufert, A.M.; Garcia, D. Modeling User Reputation in Online Social Networks: The Role of Costs, Benefits, and Reciprocity. Entropy 2020, 22, 1073. https://doi.org/10.3390/e22101073

AMA Style

Schweitzer F, Mavrodiev P, Seufert AM, Garcia D. Modeling User Reputation in Online Social Networks: The Role of Costs, Benefits, and Reciprocity. Entropy. 2020; 22(10):1073. https://doi.org/10.3390/e22101073

Chicago/Turabian Style

Schweitzer, Frank, Pavlin Mavrodiev, Adrian M. Seufert, and David Garcia. 2020. "Modeling User Reputation in Online Social Networks: The Role of Costs, Benefits, and Reciprocity" Entropy 22, no. 10: 1073. https://doi.org/10.3390/e22101073

APA Style

Schweitzer, F., Mavrodiev, P., Seufert, A. M., & Garcia, D. (2020). Modeling User Reputation in Online Social Networks: The Role of Costs, Benefits, and Reciprocity. Entropy, 22(10), 1073. https://doi.org/10.3390/e22101073

Note that from the first issue of 2016, this journal uses article numbers instead of page numbers. See further details here.

Article Metrics

Back to TopTop