Minimum Entropy Generation Rate and Maximum Yield Optimization of Sulfuric Acid Decomposition Process Using NSGA-II
Abstract
1. Introduction
2. Modeling of the Sulfuric Acid Decomposition Process
2.1. Reference Reactor
2.2. Models of Kinetics and Thermodynamics
3. Parameter Analyses of Sulfuric Acid Decomposition Reactor
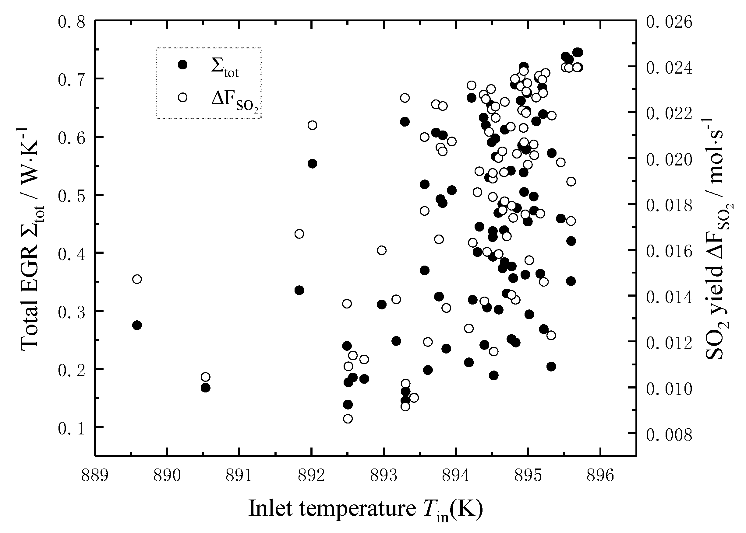
4. Multi-Objective Optimization and Result Analyses
5. Conclusions
- (1)
- When the Tin increases from 750 °C to 900 °C, the total EGR decreases by 43% and the SO2 yield increases by 0.4%. When the Pin increases from 0.4 MPa to 1 MPa, the curve of the total EGR versus the Pin is a concave parabolic-like, the minimum value of the total EGR is 0.224 W/K when the Pin equals to 0.85 MPa, and the corresponding SO2 yield decreases by 11%. When the Ftot,in increases from 0.027mol/s to 0.10mol/s, the total EGR and the SO2 yield increase by 4.8 times and 1.8 times, respectively.
- (2)
- The reference reactor can be Pareto improvement, one of the non-inferior solutions can reduce the total EGR by 9% and increase the SO2 yield by 14% compared to those of the reference reactor.
- (3)
- FTT is a powerful theoretical tool for the performance analysis and optimization of tubular plug-flow sulfuric acid decomposition reactor. The NSGA-II algorithm is an effective mathematical tool for the multi-objective optimization of tubular plug-flow sulfuric acid decomposition reactor. The Pareto-optimal fronts obtained in this paper has a certain theoretical guiding significance for the optimal designs of the actual sulfuric acid decomposition reactors.
Author Contributions
Funding
Acknowledgments
Conflicts of Interest
Nomenclature
| area | |
| molar constant-pressure heat capacity, | |
| catalyst pellet diameter, | |
| F | molar flow rate, |
| heat flux density, W/m2 | |
| K | equilibrium constant |
| length, m | |
| pressure, | |
| universal gas constant, | |
| r | reaction rate, |
| temperature, K | |
| v | flow velocity, |
| length, | |
| Greek letters | |
| catalyst bed porosity | |
| dynamic viscosity, | |
| rate constant of chemical reaction | |
| the stoichiometric number of reaction component | |
| density, | |
| local EGR, J/K | |
| total | |
| Gibbs free energy change of chemical reaction, J | |
| enthalpy change of chemical reaction, J | |
| Subscripts | |
| c | cross section of tubular plug-flow reactor |
| cr | chemical reaction |
| f | fluid flow |
| ht | heat transfer |
| i | component |
| in | inlet |
| j | reaction types (I) and (II) |
| out | outlet |
| catalyst pellet | |
| q | quantity of heat |
| r | reaction |
| tot | total |
| wall of tubular plug-flow reactor | |
| Abbreviations | |
| EGR | entropy generation rate |
| FTT | finite-time thermodynamics |
| H-S | hybrid-Sulphur thermochemical cycle |
| NSGA-II | second generation non-dominated solution sequencing genetic algorithm |
| S-I | sulphur-Iodine thermochemical cycle |
Appendix A
| Gas | ||||||||||
|---|---|---|---|---|---|---|---|---|---|---|
| SO2 | 21.430 | 74.351 | −57.752 | 16.355 | 0.087 | −305.769 | 254.887 | 298 | 1200 | |
| O2 | 29.659 | 6.137 | −1.187 | 0.096 | −0.220 | −9.861 | 237.948 | 298 | 6000 | |
| SO3 | 24.025 | 119.461 | −94.387 | 26.926 | −0.118 | −407.853 | 253.51 | 298 | 1200 | |
| H2O | 30.092 | 6.833 | 6.793 | −2.534 | 0.082 | −250.881 | 223.397 | 500 | 1700 | |
| H2SO4 | 47.289 | 190.331 | −148.123 | 43.868 | −0.740 | −758.953 | 301.296 | 298 | 1200 |
References
- Van der Ham, L.V. Minimising Entropy Production in a H2SO4 Decomposer for the Thermochemical Production of H2 from H2O. Master’s Thesis, Delft University of Technology, Delft, Norway, 2008. [Google Scholar]
- Kuchi, G.; Ponyavin, V.; Chen, Y. Numerical modeling of high-temperature shell-and-tube heat exchanger and chemical decomposer for hydrogen production. Int. J. Hydrog. Energy 2008, 33, 5460–5468. [Google Scholar] [CrossRef][Green Version]
- Ponyavin, V.; Chen, Y.; Mohamed, T. Parametric study of sulfuric acid decomposer for hydrogen production. Prog. Nucl. Energy 2008, 50, 427–433. [Google Scholar] [CrossRef]
- Van der Ham, L.V.; Gross, J.; Verkooijen, A. Efficient conversion of thermal energy into hydrogen: Comparing two methods to reduce exergy losses in a sulfuric acid decomposition reactor. Ind. Eng. Chem. Res. 2009, 48, 8500–8507. [Google Scholar] [CrossRef]
- Wang, C.; Chen, L.G.; Xia, S.J.; Sun, F.R. Maximum production rate optimization for sulphuric acid decomposition process in tubular plug-flow reactor. Energy 2016, 99, 152–158. [Google Scholar] [CrossRef]
- Wang, C.; Xia, S.J.; Chen, L.G.; Ge, Y.L.; Zhang, L.; Feng, H.R. Effects of design parameters on entropy generation rate of sulphuric acid decomposition process. Int. J. Ambient Energy 2020, 41. [Google Scholar] [CrossRef]
- Andresen, B.; Berry, R.S.; Ondrechen, M.J.; Salamon, P. Thermodynamics for processes in finite time. Acc. Chem. Res. 1984, 17, 266–271. [Google Scholar] [CrossRef]
- Bejan, A. Entropy generation minimization: The new thermodynamics of finite-size devices and finite-time processes. J. Appl. Phys. 1996, 79, 1191–1218. [Google Scholar] [CrossRef]
- Chen, L.G.; Wu, C.; Sun, F.R. Finite time thermodynamic optimization or entropy generation minimization of energy systems. J. Non-Equilib. Thermodyn. 1999, 24, 327–359. [Google Scholar] [CrossRef]
- Berry, R.S.; Kazakov, V.A.; Sieniutycz, S.; Szwast, Z.; Tsirlin, A.M. Thermodynamic Optimization of Finite Time Processes; Wiley: Chichester, UK, 1999. [Google Scholar]
- Chen, L.G. Finite-Time Thermodynamic Analysis of Irreversible Processes and Cycles; Higher Education Press: Beijing, China, 2005. [Google Scholar]
- Andresen, B. Current trends in finite-time thermodynamics. Angew. Chem. Int. Edition. 2011, 50, 2690–2704. [Google Scholar] [CrossRef]
- Roach, T.N.F.; Salamon, P.; Nulton, J.; Andresen, B.; Felts, B.; Haas, A.; Calhoun, S.; Robinett, N.; Rohwer, F. Application of finite-time and control thermodynamics to biological processes at multiple scales. J. Non-Equilibr. Thermodyn. 2018, 43, 193–210. [Google Scholar] [CrossRef]
- Gonzalez-Ayala, J.; Santillán, M.; Santos, M.J.; Calvo-Hernández, A.; Roco, J.M.M. Optimization and stability of heat engines: The role of entropy evolution. Entropy 2018, 20, 865. [Google Scholar] [CrossRef]
- Fontaine, K.; Yasunaga, T.; Ikegami, Y. OTEC maximum net power output using Carnot cycle and application to simplify heat exchanger selection. Entropy 2019, 21, 1143. [Google Scholar] [CrossRef]
- Feidt, M.; Costea, M. Progress in Carnot and Chambadal modeling of thermomechnical engine by considering entropy and heat transfer entropy. Entropy 2019, 21, 1232. [Google Scholar] [CrossRef]
- Masser, R.; Hoffmann, K.H. Dissipative endoreversible engine with given efficiency. Entropy 2019, 21, 1117. [Google Scholar] [CrossRef]
- Dumitrascu, G.; Feidt, M.; Popescu, A.; Grigorean, S. Endoreversible trigeneration cycle design based on finite physical dimensions thermodynamics. Energies 2019, 12, 3165. [Google Scholar]
- Yasunaga, T.; Ikegami, Y. Finite-time thermodynamic model for evaluating heat engines in ocean thermal energy conversion. Entropy 2020, 22, 211. [Google Scholar] [CrossRef]
- Masser, R.; Hoffmann, K.H. Endoreversible modeling of a hydraulic recuperation system. Entropy 2020, 22, 383. [Google Scholar] [CrossRef]
- De Vos, A. Endoreversible models for the thermodynamics of computing. Entropy 2020, 22, 660. [Google Scholar] [CrossRef]
- Masser, R.; Khodja, A.; Scheunert, M.; Schwalbe, K.; Fischer, A.; Paul, R.; Hoffmann, K.H. Optimized piston motion for an alpha-type Stirling engine. Entropy 2020, 22, 700. [Google Scholar] [CrossRef]
- Wang, C.; Chen, L.G.; Xia, S.J.; Sun, F.R. Optimal concentration configuration of consecutive chemical reaction A⇔B⇔C for minimum entropy generation. J. Non-Equili. Thermodyn. 2016, 41, 313–326. [Google Scholar] [CrossRef]
- Johannessen, E.; Kjelstrup, S. Minimum entropy production rate in plug flow reactors: An optimal control problem solved for SO2 oxidation. Energy 2004, 29, 2403–2423. [Google Scholar] [CrossRef]
- Yang, H.Z.; Wen, J.; Wang, S.M.; Li, Y.Z. Thermal design and optimization of plate-fin heat exchangers based global sensitivity analysis and NSGA-II algorithm. Appl. Thermal Eng. 2018, 136, 444–453. [Google Scholar] [CrossRef]
- Mann, G.W.; Eckels, S. Multi-objective heat transfer optimization of 2D helical micro-fins using NSGA-II algorithm. Int. J. Heat Mass Transf. 2019, 132, 1250–1261. [Google Scholar] [CrossRef]
- Valencia, G.; Núñez, J.; Duarte, J. Multi-objective optimization of a plate heat exchanger in a waste heat recovery organic Rankine cycle system for natural gas engines. Entropy 2019, 21, 655. [Google Scholar] [CrossRef]
- Zhang, L.; Chen, L.G.; Xia, S.K.; Ge, Y.L.; Wang, C.; Feng, H.J. Multi-objective optimization for helium-heated reverse water gas shift reactor by using NSGA-II. Int. J. Heat Mass Transf. 2020, 148, 119025. [Google Scholar] [CrossRef]
- Tang, C.Q.; Feng, H.J.; Chen, L.G.; Wang, W.H. Power density analysis and multi- objective optimization for a modified endoreversible simple closed Brayton cycle with one isothermal heat process. Energy Rep. 2020, 6, 1648–1657. [Google Scholar] [CrossRef]
- Wu, Z.X.; Feng, H.J.; Chen, L.G.; Ge, Y.L. Performance optimization of a condenser in ocean thermal energy conversion (OTEC) system based on constructal theory and multi-objective genetic algorithm. Entropy 2020, 22, 641. [Google Scholar] [CrossRef]
- NIST Chemistry WebBook, NIST Standard Reference Database Number 69. June 2005. Available online: http://webbook.nist.gov/chemistry/ (accessed on 4 April 2020).











| Parameter | Symbol | Value |
|---|---|---|
| Overall heat transfer coefficient/ | 170 | |
| Dynamic viscosity | 4 × 10−5 | |
| Catalyst bed porosity | 0.45 | |
| Catalyst pellet density | 4200 | |
| Catalyst pellet diameter/m | 0.003 | |
| Inner diameter of reactor/m | 0.030 | |
| Length of reactor/m | 3.090 | |
| Inlet temperature/K | Tin | 800 |
| Inlet pressure/bar | Pin | 7.1 |
| Inlet total molar flow rate | Ftot,in | 0.034 |
| Molar fraction of inlet H2SO4 | 0.094 | |
| Molar fraction of inlet SO3 | 0.425 | |
| Molar fraction of inlet H2O | 0.481 | |
| Molar fraction of inlet SO2 | 0.000 | |
| Molar fraction of inlet O2 | 0.000 |
| Reactor Inlet Parameters | EGR | SO2 Yield | |||||
|---|---|---|---|---|---|---|---|
| Temperature Tin(K) | Pressure | Molar Rate | |||||
| Reference reactor | 800 | 7.10 | 0.034 | 0.2316 | —— | 0.01100 | —— |
| Maximum yield | 896 | 8.97 | 0.010 | 0.7450 | 0.02395 | ||
| Minimum EGR | 893 | 8.69 | 0.027 | 0.1388 | 0.00862 | ||
| Specific EGR | 900 | 8.62 | 0.030 | 0.1446 | 0.00930 | ||
| Multi-objective optimization | 894 | 9.18 | 0.041 | 0.2111 | 0.01256 | ||
© 2020 by the authors. Licensee MDPI, Basel, Switzerland. This article is an open access article distributed under the terms and conditions of the Creative Commons Attribution (CC BY) license (http://creativecommons.org/licenses/by/4.0/).
Share and Cite
Sun, M.; Xia, S.; Chen, L.; Wang, C.; Tang, C. Minimum Entropy Generation Rate and Maximum Yield Optimization of Sulfuric Acid Decomposition Process Using NSGA-II. Entropy 2020, 22, 1065. https://doi.org/10.3390/e22101065
Sun M, Xia S, Chen L, Wang C, Tang C. Minimum Entropy Generation Rate and Maximum Yield Optimization of Sulfuric Acid Decomposition Process Using NSGA-II. Entropy. 2020; 22(10):1065. https://doi.org/10.3390/e22101065
Chicago/Turabian StyleSun, Ming, Shaojun Xia, Lingen Chen, Chao Wang, and Chenqi Tang. 2020. "Minimum Entropy Generation Rate and Maximum Yield Optimization of Sulfuric Acid Decomposition Process Using NSGA-II" Entropy 22, no. 10: 1065. https://doi.org/10.3390/e22101065
APA StyleSun, M., Xia, S., Chen, L., Wang, C., & Tang, C. (2020). Minimum Entropy Generation Rate and Maximum Yield Optimization of Sulfuric Acid Decomposition Process Using NSGA-II. Entropy, 22(10), 1065. https://doi.org/10.3390/e22101065

