A Giga-Stable Oscillator with Hidden and Self-Excited Attractors: A Megastable Oscillator Forced by His Twin
Abstract
1. Introduction
2. The Main System
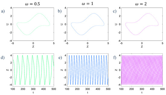
3. The Proposed System by Coupling Two Oscillators
4. Numerical Stability Analysis
5. The Attractors and Their Basins of Attraction
6. Entropy Analysis
6.1. The Entropy of Attractors
6.2. The Energy of Attractors
6.3. The Homogeneity of Attractors
6.4. The Entropy of Basins of Attraction
6.5. The Energy of Basins of Attraction
6.6. The Homogeneity of Basins of Attraction
7. Discussion and Conclusions
Author Contributions
Conflicts of Interest
References
- Danca, M.-F.; Kuznetsov, N.; Chen, G. Unusual dynamics and hidden attractors of the Rabinovich–Fabrikant system. Nonlinear Dyn. 2017, 88, 791–805. [Google Scholar] [CrossRef]
- Dudkowski, D.; Jafari, S.; Kapitaniak, T.; Kuznetsov, N.V.; Leonov, G.A.; Prasad, A. Hidden attractors in dynamical systems. Phys. Rep. 2016, 637, 1–50. [Google Scholar] [CrossRef]
- Leonov, G.; Kuznetsov, N.; Vagaitsev, V. Localization of hidden Chua’s attractors. Phys. Lett. A 2011, 375, 2230–2233. [Google Scholar] [CrossRef]
- Wei, Z.; Wang, R.; Liu, A. A new finding of the existence of hidden hyperchaotic attractors with no equilibria. Math. Comput. Simul. 2014, 100, 13–23. [Google Scholar] [CrossRef]
- Cafagna, D.; Grassi, G. Elegant chaos in fractional-order system without equilibria. Math. Probl. Eng. 2013, 2013. [Google Scholar] [CrossRef]
- Cafagna, D.; Grassi, G. Chaos in a new fractional-order system without equilibrium points. Commun. Nonlinear Sci. Numer. Simul. 2014, 19, 2919–2927. [Google Scholar] [CrossRef]
- Cafagna, D.; Grassi, G. Fractional-order systems without equilibria: The first example of hyperchaos and its application to synchronization. Chin. Phys. B 2015, 24, 080502. [Google Scholar] [CrossRef]
- Wang, X.; Chen, G. A chaotic system with only one stable equilibrium. Commun. Nonlinear Sci. Numer. Simul. 2012, 17, 1264–1272. [Google Scholar] [CrossRef]
- Kingni, S.; Jafari, S.; Simo, H.; Woafo, P. Three-dimensional chaotic autonomous system with only one stable equilibrium: Analysis, circuit design, parameter estimation, control, synchronization and its fractional-order form. Eur. Phys. J. Plus 2014, 129, 1–16. [Google Scholar] [CrossRef]
- Nazarimehr, F.; Rajagopal, K.; Kengne, J.; Jafari, S.; Pham, V.-T. A new four-dimensional system containing chaotic or hyper-chaotic attractors with no equilibrium, a line of equilibria and unstable equilibria. Chaos Solitons Fractals 2018, 111, 108–118. [Google Scholar] [CrossRef]
- Jafari, S.; Sprott, J.C.; Pham, V.-T.; Volos, C.; Li, C. Simple chaotic 3D flows with surfaces of equilibria. Nonlinear Dyn. 2016, 86, 1349–1358. [Google Scholar] [CrossRef]
- Petrzela, J.; Gotthans, T.; Guzan, M. Current-mode network structures dedicated for simulation of dynamical systems with plane continuum of equilibrium. J. Circuits Syst. Comput. 2018, 27, 1830004. [Google Scholar] [CrossRef]
- Gotthans, T.; Petržela, J. New class of chaotic systems with circular equilibrium. Nonlinear Dyn. 2015, 81, 1143–1149. [Google Scholar] [CrossRef]
- Gotthans, T.; Sprott, J.C.; Petrzela, J. Simple chaotic flow with circle and square equilibrium. Int. J. Bifurc. Chaos 2016, 26, 1650137. [Google Scholar] [CrossRef]
- Petrzela, J.; Gotthans, T. New chaotic dynamical system with a conic-shaped equilibrium located on the plane structure. Appl. Sci. 2017, 7, 976. [Google Scholar] [CrossRef]
- He, S.; Sun, K.; Zhu, C.-X. Complexity analyses of multi-wing chaotic systems. Chin. Phys. B 2013, 22, 050506. [Google Scholar] [CrossRef]
- Cafagna, D.; Grassi, G. New 3D-scroll attractors in hyperchaotic Chua’s circuits forming a ring. Int. J. Bifurc. Chaos 2003, 13, 2889–2903. [Google Scholar] [CrossRef]
- Cafagna, D.; Grassi, G. Decomposition method for studying smooth Chua’s equation with application to hyperchaotic multiscroll attractors. Int. J. Bifurc. Chaos 2007, 17, 209–226. [Google Scholar] [CrossRef]
- Cafagna, D.; Grassi, G. Fractional-order chaos: A novel four-wing attractor in coupled Lorenz systems. Int. J. Bifurc. Chaos 2009, 19, 3329–3338. [Google Scholar] [CrossRef]
- Peng, D.; Sun, K.; He, S.; Alamodi, A.O. What is the lowest order of the fractional-order chaotic systems to behave chaotically? Chaos Solitons Fractals 2019, 119, 163–170. [Google Scholar] [CrossRef]
- Peng, D.; Sun, K.H.; Alamodi, A.O. Dynamics analysis of fractional-order permanent magnet synchronous motor and its DSP implementation. Int. J. Mod. Phys. B 2019, 33, 1950031. [Google Scholar] [CrossRef]
- Cafagna, D.; Grassi, G. Bifurcation and chaos in the fractional-order Chen system via a time-domain approach. Int. J. Bifurc. Chaos 2008, 18, 1845–1863. [Google Scholar] [CrossRef]
- Cafagna, D.; Grassi, G. Fractional-order Chua’s circuit: Time-domain analysis, bifurcation, chaotic behavior and test for chaos. Int. J. Bifurc. Chaos 2008, 18, 615–639. [Google Scholar] [CrossRef]
- Li, C.; Sprott, J.C.; Akgul, A.; Iu, H.H.; Zhao, Y. A new chaotic oscillator with free control. Chaos Interdiscip. J. Nonlinear Sci. 2017, 27, 083101. [Google Scholar] [CrossRef]
- Li, C.; Sprott, J.C.; Yuan, Z.; Li, H. Constructing chaotic systems with total amplitude control. Int. J. Bifurc. Chaos 2015, 25, 1530025. [Google Scholar] [CrossRef]
- Wei, Z.; Zhang, W.; Yao, M. On the periodic orbit bifurcating from one single non-hyperbolic equilibrium in a chaotic jerk system. Nonlinear Dyn. 2015, 82, 1251–1258. [Google Scholar] [CrossRef]
- Cafagna, D.; Grassi, G. Hyperchaotic coupled Chua circuits: An approach for generating new n×m-scroll attractors. Int. J. Bifurc. Chaos 2003, 13, 2537–2550. [Google Scholar] [CrossRef]
- Cafagna, D.; Grassi, G. Hyperchaos in the fractional-order Rössler system with lowest-order. Int. J. Bifurc. Chaos 2009, 19, 339–347. [Google Scholar] [CrossRef]
- Li, C.; Sprott, J.C.; Xing, H. Constructing chaotic systems with conditional symmetry. Nonlinear Dyn. 2017, 87, 1351–1358. [Google Scholar] [CrossRef]
- Petrzela, J. Multi-valued static memory with resonant tunneling diodes as natural source of chaos. Nonlinear Dyn. 2018, 94, 1867–1887. [Google Scholar] [CrossRef]
- Petrzela, J. Strange attractors generated by multiple-valued static memory cell with polynomial approximation of resonant tunneling diodes. Entropy 2018, 20, 697. [Google Scholar] [CrossRef]
- Kapitaniak, T.; Leonov, G.A. Multi-stability: Uncovering hidden attractors. Eur. Phys. J. Spec. Top. 2015, 224, 1405–1408. [Google Scholar] [CrossRef]
- Li, C.; Sprott, J.C. Multi-stability in the Lorenz system: A broken butterfly. Int. J. Bifurc. Chaos 2014, 24, 1450131. [Google Scholar] [CrossRef]
- Hens, C.; Banerjee, R.; Feudel, U.; Dana, S. How to obtain extreme multi-stability in coupled dynamical systems. Phys. Rev. E 2012, 85, 035202. [Google Scholar] [CrossRef]
- Hens, C.; Dana, S.K.; Feudel, U. Extreme multi-stability: Attractor manipulation and robustness. Chaos Interdiscip. J. Nonlinear Sci. 2015, 25, 053112. [Google Scholar] [CrossRef]
- Chen, M.; Sun, M.; Bao, B.; Wu, H.; Xu, Q.; Wang, J. Controlling extreme multi-stability of memristor emulator-based dynamical circuit in flux–charge domain. Nonlinear Dyn. 2018, 91, 1395–1412. [Google Scholar] [CrossRef]
- Sprott, J.C.; Jafari, S.; Khalaf, A.J.M.; Kapitaniak, T. Megastability: Coexistence of a countable infinity of nested attractors in a periodically-forced oscillator with spatially-periodic damping. Eur. Phys. J. Spec. Top. 2017, 226, 1979–1985. [Google Scholar] [CrossRef]
- He, S.; Li, C.; Sun, K.; Jafari, S. Multivariate Multiscale Complexity Analysis of Self-Reproducing Chaotic Systems. Entropy 2018, 20, 556. [Google Scholar] [CrossRef]
- Li, C.; Sprott, J.C.; Mei, Y. An infinite 2-D lattice of strange attractors. Nonlinear Dyn. 2017, 89, 2629–2639. [Google Scholar] [CrossRef]
- Li, C.; Sprott, J.C. An infinite 3-D quasiperiodic lattice of chaotic attractors. Phys. Lett. A 2018, 382, 581–587. [Google Scholar] [CrossRef]
- Li, C.; Thio, W.J.-C.; Sprott, J.C.; Iu, H.H.-C.; Xu, Y. Constructing Infinitely Many Attractors in a Programmable Chaotic Circuit. IEEE Access 2018, 6, 29003–29012. [Google Scholar] [CrossRef]
- Bao, B.; Jiang, T.; Wang, G.; Jin, P.; Bao, H.; Chen, M. Two-memristor-based Chua’s hyperchaotic circuit with plane equilibrium and its extreme multi-stability. Nonlinear Dyn. 2017, 89, 1157–1171. [Google Scholar] [CrossRef]
- Li, C.; Sprott, J.C.; Hu, W.; Xu, Y. Infinite multi-stability in a self-reproducing chaotic system. Int. J. Bifurc. Chaos 2017, 27, 1750160. [Google Scholar] [CrossRef]
- Wei, Z.; Pham, V.-T.; Khalaf, A.J.M.; Kengne, J.; Jafari, S. A Modified Multistable Chaotic Oscillator. Int. J. Bifurc. Chaos 2018, 28, 1850085. [Google Scholar] [CrossRef]
- Tang, Y.-X.; Karthikeyan Rajagopal, A.J.M.K.; Pham, V.-T.; Jafari, S.; Tian, Y. A new nonlinear oscillator with infinite number of coexisting hidden and self-excited attractors. Chin. Phys. B 2018, 27, 040502. [Google Scholar] [CrossRef]
- Mohanaiah, P.; Sathyanarayana, P.; GuruKumar, L. Image texture feature extraction using GLCM approach. Int. J. Sci. Res. Publ. 2013, 3, 1. Available online: http://www.ijsrp.org/research-paper-0513/ijsrp-p1750.pdf (accessed on 24 May 2019).
- Gadkari, D. Image quality analysis using GLCM. Available online: http://etd.fcla.edu/CF/CFE0000273/Gadkari_Dhanashree_U_200412_MS.pdf (accessed on 24 May 2019).
- Haralick, R.M.; Shanmugam, K. Textural features for image classification. IEEE Trans. Syst. Man Cybern. 1973, SMC-3, 610–621. [Google Scholar] [CrossRef]
- Bo, H.; Liu, B.; Lv, S.; Gu, H.; Ren, L. A novel ocean wind field estimation method SAR images based. In Artificial Intelligence and Computational Intelligence; Springer: Berlin/Heidelberg, Germany, 2012; pp. 484–491. [Google Scholar]
- Kekre, H.; Thepade, S.D.; Sarode, T.K.; Suryawanshi, V. Image Retrieval using Texture Features extracted from GLCM, LBG and KPE. Int. J. Comput. Theory Eng. 2010, 2, 695. [Google Scholar] [CrossRef]
- Song, X.; Li, Y.; Chen, W. A textural feature-based image retrieval algorithm. In Proceedings of the 2008 Fourth International Conference on Natural Computation, Jinan, China, 18–20 October 2008; pp. 71–75. [Google Scholar]
- Kahn, P.B.; Zarmi, Y. Nonlinear Dynamics: Exploration Through Normal Forms; Dover Publications, Inc.: Mineola, NY, USA, 2014. [Google Scholar]
- Sprott, J.C. Elegant Chaos: Algebraically Simple Chaotic Flows; World Scientific: Singapore, 2010. [Google Scholar]
- Haralick, R.M.; Shanmugam, K. Computer classification of reservoir sandstones. IEEE Trans. Geosci. Electron. 1973, 11, 171–177. [Google Scholar] [CrossRef]
- He, D.-C.; Wang, L.; Guibert, J. Texture feature extraction. Pattern Recognit. Lett. 1987, 6, 269–273. [Google Scholar] [CrossRef]
- Iizuka, M. Quantitative evaluation of similar images with quasi-gray levels. Comput. Vision Gr. Image Process. 1987, 38, 342–360. [Google Scholar] [CrossRef]
- Trivedi, M.M.; Harlow, C.A.; Conners, R.W.; Goh, S. Object detection based on gray level cooccurrence. Comput. Vision Gr. Image Process. 1984, 28, 199–219. [Google Scholar] [CrossRef]
- Atitallah, M.B.; Kachouri, R.; Kammoun, M.; Mnif, H. An efficient implementation of GLCM algorithm in FPGA. In Proceedings of the 2018 International Conference on Internet of Things, Embedded Systems and Communications (IINTEC), Hamammet, Tunisia, 20–21 December 2018; pp. 147–152. [Google Scholar]














© 2019 by the authors. Licensee MDPI, Basel, Switzerland. This article is an open access article distributed under the terms and conditions of the Creative Commons Attribution (CC BY) license (http://creativecommons.org/licenses/by/4.0/).
Share and Cite
Vo, T.P.; Shaverdi, Y.; Khalaf, A.J.M.; Alsaadi, F.E.; Hayat, T.; Pham, V.-T. A Giga-Stable Oscillator with Hidden and Self-Excited Attractors: A Megastable Oscillator Forced by His Twin. Entropy 2019, 21, 535. https://doi.org/10.3390/e21050535
Vo TP, Shaverdi Y, Khalaf AJM, Alsaadi FE, Hayat T, Pham V-T. A Giga-Stable Oscillator with Hidden and Self-Excited Attractors: A Megastable Oscillator Forced by His Twin. Entropy. 2019; 21(5):535. https://doi.org/10.3390/e21050535
Chicago/Turabian StyleVo, Thoai Phu, Yeganeh Shaverdi, Abdul Jalil M. Khalaf, Fawaz E. Alsaadi, Tasawar Hayat, and Viet-Thanh Pham. 2019. "A Giga-Stable Oscillator with Hidden and Self-Excited Attractors: A Megastable Oscillator Forced by His Twin" Entropy 21, no. 5: 535. https://doi.org/10.3390/e21050535
APA StyleVo, T. P., Shaverdi, Y., Khalaf, A. J. M., Alsaadi, F. E., Hayat, T., & Pham, V.-T. (2019). A Giga-Stable Oscillator with Hidden and Self-Excited Attractors: A Megastable Oscillator Forced by His Twin. Entropy, 21(5), 535. https://doi.org/10.3390/e21050535

