Fault Diagnosis for Rolling Bearings Based on Fine-Sorted Dispersion Entropy and SVM Optimized with Mutation SCA-PSO
Abstract
1. Introduction
2. Fundamental Theories
2.1. Variational Mode Decomposition
2.2. Support Vector Machine
3. Fault Diagnosis for Rolling Bearings by Fine-sorted Dispersion Entropy and Mutation SCA-PSO Optimized SVM
3.1. Fine-Sorted Dispersion Entropy
3.1.1. Dispersion Entropy
3.1.2. Fine-Sorted Dispersion Entropy
3.2. Mutation SCA-PSO Optimization
3.2.1. Sine Cosine Algorithm
3.2.2. Particle Swarm Optimization
3.2.3. Mutation SCA-PSO Optimization
3.3. Fault Diagnosis by FSDE and MSCAPSO Optimized SVM
4. Engineering Application
4.1. Data Collection
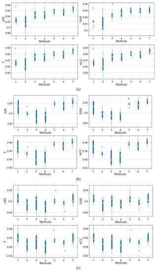
4.2. Application to Fault Diagnosis of Rolling Bearings
5. Discussion
6. Conclusions
Author Contributions
Funding
Conflicts of Interest
Nomenclature
| Symbols | Abbreviations | ||
| K | mode number | ApEn | approximate entropy |
| mk | set of K mode functions | ANN | artificial neural network |
| ωk | set of central frequencies | ASA | artificial sheep algorithm |
| ∂t | partial derivative of time t | BFA | bacterial foraging algorithm |
| δt | unit pulse function of time t | BPNN | back-propagation neural network |
| f(t) | real valued input signal | CWRU | Case Western Reserve University |
| α | penalty factor for VMD | CQSCA | chaos quantum sine cosine algorithm |
| β(t) | Lagrange multiplier for VMD | DE | dispersion entropy |
| w | weight vector | EMD | empirical mode decomposition |
| b | bias parameter | EEMD | ensemble empirical mode decomposition |
| ξ | slack term | EWT | empirical wavelet transforms |
| C | penalty factor for SVM | ELM | extreme learning machine |
| g | kernel parameter | FE | fuzzy entropy |
| μi | Lagrange multiplier for SVM | FSDE | fine-sorted dispersion entropy |
| x | time series | GCMPE | generalized composite multiscale permutation entropy |
| n | length of time series | HGSA | hybrid gravitational search algorithm |
| σ | variance of the normal distribution | IMPE | improved multiscale permutation entropy |
| μ | expectation of the normal distribution | IMDE | improved multiscale dispersion entropy |
| reconstruction matrix of x | IMF | intrinsic mode function | |
| m | embedding dimension | KNN | k-nearest neighbour |
| τ | time delay | LapSVM | Laplacian support vector machine |
| c | number of class | LSSVM | least squares support vector machine |
| class sequence of DE | MSCAPSO | mutation sine cosine algorithm and particle swarm optimization | |
| dispersion pattern of DE | MHGWOSCA | mutation hybrid grey wolf optimizer and sine cosine algorithm | |
| f | factor of FSDE | mRMR | max-relevance min-redundancy |
| ρ | precision parameter | MAR | multivariate autoregressive |
| class sequence of DE | MAE | mean absolute error | |
| dispersion pattern of FSDE | MAPE | root mean square error | |
| Zi | position of individual | PSO | particle swarm optimization |
| Pi | best position of individual | PE | permutation entropy |
| vi | velocity of particle | QPSO | quantum behaved particle swarm optimization |
| si | position of particle | RMSE | mean absolute percentage error |
| Pibest | individual extreme value | SCA | sine cosine algorithm |
| Pigbest | global extreme value | SVM | support vector machine |
| c1, c2 | learning factor | SSKMFA | semi-supervised kernel Marginal Fisher analysis |
| Zijl | position of bottom layer individual | TSMFE | time shift multiscale fuzzy entropy |
| sil | position of top layer particle | VMD | variational mode decomposition |
| M | number of top layer particle | ||
| N | number of bottom layer individual | ||
| G | mutation amplitude | ||
| l | current number of iterations | ||
References
- Brkovic, A.; Gajic, D.; Gligorijevic, J.; Savicgajic, I.; Georgieva, O.; Gennaro, S.D. Early fault detection and diagnosis in bearings for more efficient operation of rotating machinery. Energy 2017, 136, 63–71. [Google Scholar] [CrossRef]
- Zhao, X.; Qin, Y.; He, C.; Jia, L.; Kou, L. Rolling element bearing fault diagnosis under impulsive noise environment based on cyclic correntropy spectrum. Entropy 2019, 21, 50. [Google Scholar] [CrossRef]
- Mbo’O, C.P.; Hameyer, K. Fault diagnosis of bearing damage by means of the linear discriminant analysis of stator current features from the frequency selection. IEEE Trans. Ind. Appl. 2016, 52, 3861–3868. [Google Scholar] [CrossRef]
- Fu, W.; Tan, J.; Li, C.; Zou, Z.; Li, Q.; Chen, T. A hybrid fault diagnosis approach for rotating machinery with the fusion of entropy-based feature extraction and SVM optimized by a chaos quantum sine cosine algorithm. Entropy 2018, 20, 626. [Google Scholar] [CrossRef]
- Yuan, R.; Lv, Y.; Song, G. Fault diagnosis of rolling bearing based on a novel adaptive high-order local projection denoising method. Complexity 2018, 2018, 3049318. [Google Scholar] [CrossRef]
- Gligorijevic, J.; Gajic, D.; Brkovic, A.; Savicgajic, I.; Georgieva, O.; Gennaro, S.D. Online condition monitoring of bearings to support total productive maintenance in the packaging materials industry. Sensors 2016, 16, 316. [Google Scholar] [CrossRef]
- Ali, J.B.; Fnaiech, N.; Saidi, L.; Chebel-Morello, B.; Fnaiech, F. Application of empirical mode decomposition and artificial neural network for automatic bearing fault diagnosis based on vibration signals. Appl. Acoust. 2015, 89, 16–27. [Google Scholar]
- Meng, L.; Li, C.; Zhang, X.; Li, R.; An, X. Compound feature selection and parameter optimization of ELM for fault diagnosis of rolling element bearings. ISA Trans. 2016, 65, 556–566. [Google Scholar]
- Liu, H.; Jing, J.; Jian, M. Fault diagnosis of electromechanical actuator based on VMD multifractal detrended fluctuation analysis and PNN. Complexity 2018, 2018, 9154682. [Google Scholar] [CrossRef]
- Fu, W.; Wang, K.; Zhou, J.; Xu, Y.; Tan, J.; Chen, T. A hybrid approach for multi-step wind speed forecasting based on multi-scale dominant ingredient chaotic analysis, KELM and synchronous optimization strategy. Sustainability 2019, 11, 1804. [Google Scholar] [CrossRef]
- Li, K.; Su, L.; Wu, J.; Wang, H.; Chen, P. A rolling bearing fault diagnosis method based on variational mode decomposition and an improved kernel extreme learning machine. Appl. Sci. 2017, 7, 1004. [Google Scholar] [CrossRef]
- Fu, W.; Tan, J.; Zhang, X.; Chen, T.; Wang, K. Blind parameter identification of MAR model and mutation hybrid GWO-SCA optimized SVM for fault diagnosis of rotating machinery. Complexity 2019, 2019, 3264969. [Google Scholar]
- Pincus, S. Approximate entropy (ApEn) as a complexity measure. Chaos 1995, 5, 110–117. [Google Scholar] [CrossRef] [PubMed]
- Bandt, C.; Pompe, B. Permutation entropy: A natural complexity measure for time series. Phys. Rev. Lett. 2002, 88, 174102. [Google Scholar] [CrossRef] [PubMed]
- Chen, W.; Wang, Z.; Xie, H.; Yu, W. Characterization of surface EMG signal nased on fuzzy entropy. IEEE Trans. Neural Syst. Rehabil. Eng. 2007, 15, 266–272. [Google Scholar] [CrossRef] [PubMed]
- Richman, J.S.; Moorman, J.R. Physiological time-series analysis using approximate entropy and sample entropy. Am. J. Physiol.-Heart Circ. Physiol. 2000, 278, H2039–H2049. [Google Scholar] [CrossRef] [PubMed]
- Rostaghi, M.; Azami, H. Dispersion entropy: A measure for time-series analysis. IEEE Signal Process. Lett. 2016, 23, 610–614. [Google Scholar] [CrossRef]
- Cai, B.; Huang, L.; Xie, M. Bayesian networks in fault diagnosis. IEEE Trans. Ind. Inform. 2017, 13, 2227–2240. [Google Scholar] [CrossRef]
- Wang, D. K-nearest neighbors based methods for identification of different gear crack levels under different motor speeds and loads: Revisited. Mech. Syst. Signal Process. 2016, 70–71, 201–208. [Google Scholar] [CrossRef]
- Raj, N.; Jagadanand, G.; George, S. Fault detection and diagnosis in asymmetric multilevel inverter using artificial neural network. Int. J. Electron. 2017, 105, 559–571. [Google Scholar] [CrossRef]
- Shi, P.; Liang, K.; Han, D.; Zhang, Y. A novel intelligent fault diagnosis method of rotating machinery based on deep learning and PSO-SVM. J. Vibroeng. 2017, 19, 5932–5946. [Google Scholar] [CrossRef]
- Zhu, X.; Zheng, J.; Pan, H.; Bao, J.; Zhang, Y. Time-shift multiscale fuzzy entropy and laplacian support vector machine based rolling bearing fault diagnosis. Entropy 2018, 20, 602. [Google Scholar] [CrossRef]
- Jiang, M.; Jiang, L.; Jiang, D.; Li, F.; Song, H. A sensor dynamic measurement error prediction model based on NAPSO-SVM. Sensors 2018, 18, 233. [Google Scholar] [CrossRef]
- Xu, Y.; Zheng, Y.; Du, Y.; Yang, W.; Peng, X.; Li, C. Adaptive condition predictive-fuzzy PID optimal control of start-up process for pumped storage unit at low head area. Energy Convers. Manag. 2018, 177, 592–604. [Google Scholar] [CrossRef]
- Xu, Y.; Li, C.; Wang, Z.; Zhang, N.; Peng, B. Load frequency control of a novel renewable energy integrated micro-grid containing pumped hydropower energy storage. IEEE Access 2018, 6, 29067–29077. [Google Scholar] [CrossRef]
- Mirjalili, S. SCA: A sine cosine algorithm for solving optimization problems. Knowl-Based Syst. 2016, 96, 120–133. [Google Scholar] [CrossRef]
- Fu, W.; Wang, K.; Li, C.; Li, X.; Li, Y.; Zhong, H. Vibration trend measurement for a hydropower generator based on optimal variational mode decomposition and an LSSVM improved with chaotic sine cosine algorithm optimization. Meas. Sci. Technol. 2019, 30, 015012. [Google Scholar] [CrossRef]
- Fu, W.; Wang, K.; Li, C.; Tan, J. Multi-step short-term wind speed forecasting approach based on multi-scale dominant ingredient chaotic analysis, improved hybrid GWO-SCA optimization and ELM. Energy Convers. Manag. 2019, 187, 356–377. [Google Scholar] [CrossRef]
- Dragomiretskiy, K.; Zosso, D. Variational mode decomposition. IEEE Trans. Signal Process. 2014, 62, 531–544. [Google Scholar] [CrossRef]
- Vapnik, V.N. The Nature of Statistical Learning Theory; Springer: New York, NY, USA, 1995. [Google Scholar]
- Fadlallah, B.H.; Chen, B.; Keil, A.; Principe, J.C. Weighted-permutation entropy: A complexity measure for time series incorporating amplitude information. Phys. Rev. E 2013, 87, 022911. [Google Scholar] [CrossRef]
- Xiaofeng, L.; Yue, W. Fine-grained permutation entropy as a measure of natural complexity for time series. Chin. Phys. B 2009, 18, 2690–2695. [Google Scholar] [CrossRef]
- Kennedy, J.; Eberhart, R.C. Particle swarm optimization. In Proceedings of the International Symposium on Neural Networks, Perth, WA, Australia, 27 November–1 December 1995; pp. 1942–1948. [Google Scholar]
- Issa, M.; Hassanien, A.E.; Oliva, D.; Helmi, A.; Ziedan, I.; Alzohairy, A.M. ASCA-PSO: Adaptive sine cosine optimization algorithm integrated with particle swarm for pairwise local sequence alignment. Expert Syst. Appl. 2018, 99, 56–70. [Google Scholar] [CrossRef]
- Pehlivanoglu, Y.V. A new particle swarm optimization method enhanced with a periodic mutation strategy and neural networks. IEEE Trans. Evol. Comput. 2013, 17, 436–452. [Google Scholar] [CrossRef]
- Bearing Data Center of the Case Western Reserve University. Available online: http://csegroups.case.edu/bearingdatacenter/pages/download-data-file (accessed on 28 December 2018).
- Zhao, H.; Sun, M.; Deng, W.; Yang, X. A new feature extraction method based on EEMD and multi-scale fuzzy entropy for motor bearing. Entropy 2016, 19, 14. [Google Scholar] [CrossRef]
- Rostaghi, M.; Ashory, M.R.; Azami, H. Application of dispersion entropy to status characterization of rotary machines. J. Sound Vib. 2019, 438, 291–308. [Google Scholar] [CrossRef]
- Nguyen, T.P.Q.; Kuo, R.J. Partition-and-merge based fuzzy genetic clustering algorithm for categorical data. Appl. Soft Comput. 2019, 75, 254–264. [Google Scholar] [CrossRef]
- Fahad, A.; Alshatri, N.; Tari, Z.; Alamri, A.; Khalil, I.; Zomaya, A.Y.; Foufou, S.; Bouras, A. A survey of clustering algorithms for big data: Taxonomy and empirical analysis. IEEE Trans. Emerg. Top. Comput. 2014, 2, 267–279. [Google Scholar] [CrossRef]
- Zhang, Q.; Gao, J.; Dong, H.; Mao, Y. WPD and DE/BBO-RBFNN for solution of rolling bearing fault diagnosis. Neurocomputing 2018, 312, 27–33. [Google Scholar] [CrossRef]
- Yang, Z.; Wang, J. A combination forecasting approach applied in multistep wind speed forecasting based on a data processing strategy and an optimized artificial intelligence algorithm. Appl. Energy 2018, 230, 1108–1125. [Google Scholar] [CrossRef]
- Azami, H.; Escudero, J. Amplitude-aware permutation entropy: Illustration in spike detection and signal segmentation. Comput. Methods Programs Biomed. 2016, 128, 40–51. [Google Scholar] [CrossRef]
- Lai, X.; Li, C.; Zhou, J.; Zhang, N. Multi-objective optimization for guide vane shutting based on MOASA. Renewable Energy 2019, 139, 302–312. [Google Scholar] [CrossRef]
- Li, C.; Wang, W.; Chen, D. Multi-objective complementary scheduling of hydro-thermal-RE power system via a multi-objective hybrid grey wolf optimizer. Energy 2019, 171, 241–255. [Google Scholar] [CrossRef]
- Liu, Y.; Qin, H.; Mo, L.; Wang, Y.; Chen, D.; Pang, S.; Yin, X. Hierarchical flood operation rules optimization using multi-objective cultured evolutionary algorithm based on decomposition. Water Resour. Manag. 2019, 33, 337–354. [Google Scholar] [CrossRef]
- Zhang, C.; Peng, T.; Li, C.; Fu, W.; Xia, X.; Xue, X. Multiobjective optimization of a fractional-order PID controller for pumped turbine governing system using an improved NSGA-III algorithm under multiworking conditions. Complexity 2019, 2019, 5826873. [Google Scholar] [CrossRef]
- Wang, W.; Tahir, H.; Ren, Z.; Zhou, K. Robust fault detection and diagnosis for uncertain nonlinear systems. J. Syst. Eng. Electron. 2009, 20, 1031–1036. [Google Scholar]
- Yan, X.; Jia, M. Intelligent fault diagnosis of rotating machinery using improved multiscale dispersion entropy and mRMR feature selection. Knowl. Based Syst. 2019, 163, 450–471. [Google Scholar] [CrossRef]
- Zheng, J.; Pan, H.; Yang, S.; Cheng, J. Generalized composite multiscale permutation entropy and laplacian score based rolling bearing fault diagnosis. Mech. Syst. Signal Process. 2018, 99, 229–243. [Google Scholar] [CrossRef]
- Jiang, L.; Xuan, J.; Shi, T. Feature extraction based on semi-supervised kernel marginal fisher analysis and its application in bearing fault diagnosis. Mech. Syst. Signal Process. 2013, 41, 113–126. [Google Scholar] [CrossRef]














| Motor Load (hp) | Position of Fault | Defect Size (Inches) | Label of Classes | Number of Samples |
|---|---|---|---|---|
| 2/1/0 | Inner race | 0.007 | L1 | 59 |
| Inner race | 0.014 | L2 | 59 | |
| Inner race | 0.021 | L3 | 59 | |
| Ball | 0.007 | L4 | 59 | |
| Ball | 0.014 | L5 | 59 | |
| Ball | 0.021 | L6 | 59 | |
| Outer race | 0.007 | L7 | 59 | |
| Outer race | 0.014 | L8 | 59 | |
| Outer race | 0.021 | L9 | 59 |
| Number of Modes | Normalized Central Frequencies | |||||||
|---|---|---|---|---|---|---|---|---|
| 2 | 0.2623 | 0.0438 | ||||||
| 3 | 0.2698 | 0.2227 | 0.0418 | |||||
| 4 | 0.2700 | 0.2246 | 0.1112 | 0.0367 | ||||
| 5 | 0.2760 | 0.2614 | 0.2209 | 0.1107 | 0.0366 | |||
| 6 | 0.2992 | 0.2745 | 0.2606 | 0.2200 | 0.1106 | 0.0366 | ||
| 7 | 0.3301 | 0.2754 | 0.2610 | 0.2206 | 0.1146 | 0.0548 | 0.0315 | |
| 8 | 0.3663 | 0.2847 | 0.2711 | 0.2548 | 0.2180 | 0.1144 | 0.0546 | 0.0314 |
| Fault Label | Sample Number | Fine-Sorted Dispersion Entropy | Dispersion Entropy | ||||||
|---|---|---|---|---|---|---|---|---|---|
| IMF1 | IMF2 | IMF3 | IMF4 | IMF1 | IMF2 | IMF3 | IMF4 | ||
| L1 | 1 | 0.4428 | 0.4126 | 0.3860 | 0.3154 | 0.4110 | 0.3740 | 0.3202 | 0.2509 |
| 2 | 0.4421 | 0.4143 | 0.3854 | 0.3154 | 0.4074 | 0.3734 | 0.3204 | 0.2520 | |
| 3 | 0.4402 | 0.4116 | 0.3862 | 0.3151 | 0.4030 | 0.3700 | 0.3201 | 0.2495 | |
| L2 | 1 | 0.3799 | 0.3671 | 0.3828 | 0.3003 | 0.3486 | 0.3344 | 0.3157 | 0.2370 |
| 2 | 0.3806 | 0.3713 | 0.3849 | 0.2959 | 0.3606 | 0.3520 | 0.3170 | 0.2380 | |
| 3 | 0.3822 | 0.3675 | 0.3864 | 0.3069 | 0.3611 | 0.3347 | 0.3163 | 0.2452 | |
| L3 | 1 | 0.4074 | 0.5448 | 0.4277 | 0.3061 | 0.3730 | 0.5225 | 0.3881 | 0.2514 |
| 2 | 0.4231 | 0.5133 | 0.4222 | 0.3050 | 0.3907 | 0.4924 | 0.3829 | 0.2519 | |
| 3 | 0.3986 | 0.5113 | 0.4246 | 0.3064 | 0.3576 | 0.4859 | 0.3773 | 0.2509 | |
| L4 | 1 | 0.3993 | 0.3838 | 0.3611 | 0.2623 | 0.3146 | 0.3056 | 0.2970 | 0.2031 |
| 2 | 0.4034 | 0.3876 | 0.3555 | 0.2452 | 0.3120 | 0.3041 | 0.2914 | 0.1789 | |
| 3 | 0.4028 | 0.3874 | 0.3622 | 0.2891 | 0.3135 | 0.3108 | 0.2968 | 0.2288 | |
| L5 | 1 | 0.3708 | 0.3707 | 0.3884 | 0.2769 | 0.3063 | 0.3112 | 0.3176 | 0.2218 |
| 2 | 0.3638 | 0.3725 | 0.3861 | 0.2799 | 0.3043 | 0.3129 | 0.3143 | 0.2198 | |
| 3 | 0.3731 | 0.3856 | 0.3873 | 0.2783 | 0.3021 | 0.3203 | 0.3162 | 0.2206 | |
| L6 | 1 | 0.3513 | 0.3916 | 0.3938 | 0.3026 | 0.2897 | 0.3157 | 0.3190 | 0.2397 |
| 2 | 0.3847 | 0.3943 | 0.3944 | 0.3031 | 0.3109 | 0.3153 | 0.3178 | 0.2415 | |
| 3 | 0.3851 | 0.3882 | 0.4021 | 0.3127 | 0.3117 | 0.3135 | 0.3187 | 0.2499 | |
| L7 | 1 | 0.4561 | 0.5815 | 0.4964 | 0.3546 | 0.4372 | 0.5582 | 0.4718 | 0.2926 |
| 2 | 0.4613 | 0.5820 | 0.4910 | 0.3444 | 0.4414 | 0.5569 | 0.4685 | 0.2859 | |
| 3 | 0.4606 | 0.5864 | 0.4960 | 0.3754 | 0.4395 | 0.5632 | 0.4736 | 0.3167 | |
| L8 | 1 | 0.4052 | 0.3892 | 0.3477 | 0.2739 | 0.3282 | 0.3083 | 0.2825 | 0.2159 |
| 2 | 0.4162 | 0.3953 | 0.3324 | 0.2770 | 0.3329 | 0.3159 | 0.2669 | 0.2165 | |
| 3 | 0.4024 | 0.3884 | 0.3539 | 0.2979 | 0.3296 | 0.3140 | 0.2892 | 0.2320 | |
| L9 | 1 | 0.4793 | 0.4115 | 0.3643 | 0.3088 | 0.4746 | 0.4041 | 0.3244 | 0.2656 |
| 2 | 0.4899 | 0.3863 | 0.3996 | 0.3169 | 0.4855 | 0.3758 | 0.3743 | 0.2778 | |
| 3 | 0.4906 | 0.5040 | 0.4291 | 0.3139 | 0.4825 | 0.4966 | 0.4234 | 0.2751 | |
| Motor Load (hp) | Methods | C | g | Evaluation Metrics | |||
|---|---|---|---|---|---|---|---|
| Adjusted Rand Index (ARI) | Normalized Mutual Information (NMI) | F-Measure (F) | Accuracy (ACC) | ||||
| 2 | FE-PSO | 204.766 | 7.978 | 0.9309 [−0.025, 0.043] | 0.9288 [−0.021, 0.038] | 0.9687 [−0.010, 0.020] | 0.9686 [−0.011, 0.020] |
| PE-SCA | 616.339 | 411.111 | 0.9185 [−0.043, 0.046] | 0.9207 [−0.032, 0.048] | 0.9628 [−0.020, 0.022] | 0.9628 [−0.020, 0.022] | |
| DE-PSO | 13.124 | 1024 | 0.9461 [−0.023, 0.028] | 0.9463 [−0.021, 0.033] | 0.9759 [−0.010, 0.013] | 0.9759 [−0.010, 0.013] | |
| DE-SCA | 12.762 | 420.762 | 0.9456 [−0.022, 0.028] | 0.9513 [−0.020, 0.019] | 0.9755 [−0.010, 0.013] | 0.9755 [−0.010, 0.013] | |
| FSDE-PSO | 54.370 | 151.024 | 0.9572 [−0.016, 0.009] | 0.9603 [−0.019, 0.011] | 0.9808 [−0.008, 0.004] | 0.9808 [−0.008, 0.004] | |
| FSDE-SCA | 25.206 | 200.267 | 0.9549 [−0.014, 0.019] | 0.9589 [−0.021, 0.019] | 0.9797 [−0.007, 0.009] | 0.9797 [−0.007, 0.009] | |
| FSDE-MSCAPSO | 6.085 | 390.627 | 0.9637 [−0.019, 0.019] | 0.9646 [−0.016, 0.014] | 0.9839 [−0.007, 0.008] | 0.9839 [−0.007, 0.008] | |
| 1 | FE-PSO | 6.908 | 2.358 | 0.9304 [−0.053, 0.035] | 0.9243 [−0.050, 0.035] | 0.9681 [−0.027, 0.017] | 0.9682 [−0.026, 0.016] |
| PE-SCA | 69.617 | 294.358 | 0.9019 [−0.023, 0.032] | 0.8942 [−0.0433, 0.044] | 0.9537 [−0.012, 0.015] | 0.9544 [−0.012, 0.015] | |
| DE-PSO | 2.217 | 586.466 | 0.8814 [−0.040, 0.051] | 0.8827 [−0.046, 0.041] | 0.9429 [−0.021, 0.027] | 0.9433 [−0.020, 0.026] | |
| DE-SCA | 331.824 | 250.205 | 0.8864 [−0.042, 0.047] | 0.8869 [−0.035, 0.034] | 0.9458 [−0.023, 0.024] | 0.9460 [−0.023, 0.023] | |
| FSDE-PSO | 2.754 | 1024.000 | 0.9483 [−0.023, 0.018] | 0.9468 [−0.024, 0.024] | 0.9765 [−0.011, 0.008] | 0.9766 [−0.011, 0.008] | |
| FSDE-SCA | 4.532 | 690.248 | 0.9386 [−0.029, 0.044] | 0.9387 [−0.025, 0.040] | 0.9718 [−0.015, 0.021] | 0.9720 [−0.014, 0.020] | |
| FSDE-MSCAPSO | 5.004 | 1024.000 | 0.9615 [−0.038, 0.021] | 0.9598 [−0.025, 0.019] | 0.9827 [−0.018, 0.010] | 0.9828 [−0.017, 0.010] | |
| 0 | FE-PSO | 9.453 | 9.781 | 0.9141 [−0.034, 0.052] | 0.9144 [−0.035, 0.051] | 0.9596 [−0.018, 0.025] | 0.9598 [−0.017, 0.025] |
| PE-SCA | 853.002 | 32.932 | 0.8850 [−0.045, 0.031] | 0.8862 [−0.048, 0.038] | 0.9447 [−0.021, 0.018] | 0.9448 [−0.021, 0.017] | |
| DE-PSO | 16.319 | 456.170 | 0.8942 [−0.055, 0.038] | 0.8997 [−0.054, 0.032] | 0.9512 [−0.027, 0.018] | 0.9510 [−0.028, 0.018] | |
| DE-SCA | 155.860 | 163.498 | 0.8753 [−0.037, 0.035] | 0.8855 [−0.025, 0.028] | 0.9396 [−0.020, 0.018] | 0.9398 [−0.020, 0.018] | |
| FSDE-PSO | 16.138 | 549.663 | 0.9036 [−0.020, 0.045] | 0.9111 [−0.034, 0.046] | 0.9554 [−0.010, 0.022] | 0.9556 [−0.009, 0.021] | |
| FSDE-SCA | 1024.000 | 2.400 | 0.8873 [−0.034, 0.022] | 0.8948 [−0.042, 0.024] | 0.9473 [−0.016, 0.011] | 0.9475 [−0.016, 0.010] | |
| FSDE-MSCAPSO | 216.051 | 448.183 | 0.9079 [−0.031, 0.033] | 0.9086 [−0.035, 0.033] | 0.9567 [−0.015, 0.017] | 0.9571 [−0.015, 0.016] | |
| Method | MAE | RMSE | MAPE | ||||||
|---|---|---|---|---|---|---|---|---|---|
| 2 hp | 1 hp | 0 hp | 2 hp | 1 hp | 0 hp | 2 hp | 1 hp | 0 hp | |
| FE-PSO | 0.0314 | 0.0318 | 0.0402 | 0.0324 | 0.0354 | 0.0420 | 0.0325 | 0.0331 | 0.0421 |
| PE-SCA | 0.0372 | 0.0456 | 0.0552 | 0.0390 | 0.0462 | 0.0566 | 0.0388 | 0.0478 | 0.0586 |
| DE-PSO | 0.0241 | 0.0567 | 0.0490 | 0.0253 | 0.0592 | 0.0516 | 0.0248 | 0.0605 | 0.0519 |
| DE-SCA | 0.0245 | 0.0540 | 0.0602 | 0.0256 | 0.0558 | 0.0617 | 0.0252 | 0.0573 | 0.0642 |
| FSDE-PSO | 0.0192 | 0.0234 | 0.0444 | 0.0195 | 0.0240 | 0.0453 | 0.0195 | 0.0240 | 0.0466 |
| FSDE-SCA | 0.0203 | 0.0280 | 0.0525 | 0.0210 | 0.0300 | 0.0531 | 0.0208 | 0.0289 | 0.0555 |
| FSDE-MSCAPSO | 0.0161 | 0.0172 | 0.0429 | 0.0169 | 0.0190 | 0.0443 | 0.0164 | 0.0176 | 0.0450 |
| Reference | Feature Extraction | Classification | Accuracy |
|---|---|---|---|
| [4] | IMFs decomposed by VMD+PE | CQSCA-SVM | 0.9789 |
| [8] | IMFs decomposed by EEMD | HGSA-ELM | 0.9938 |
| [12] | IMFs decomposed by VMD+MAR | HMGWOSCA-SVM | 0.9808 |
| [20] | IMPE | QPSO-LSSVM | 0.9800 |
| [22] | TSMFE | C1: LapSVM C2: SVM | C1: 100 C2: 98.44 |
| [49] | IMDE | C1: mRMR+ELM C2: mRMR+BPNN C3: mRMR+SVM | C1: 0.9056 C2:0.8760 C3: 0.8840 |
| [50] | GCMPE | PSO-SVM | 0.9889 |
| [51] | SSKMFA | KNN | 0.9850 |
© 2019 by the authors. Licensee MDPI, Basel, Switzerland. This article is an open access article distributed under the terms and conditions of the Creative Commons Attribution (CC BY) license (http://creativecommons.org/licenses/by/4.0/).
Share and Cite
Fu, W.; Tan, J.; Xu, Y.; Wang, K.; Chen, T. Fault Diagnosis for Rolling Bearings Based on Fine-Sorted Dispersion Entropy and SVM Optimized with Mutation SCA-PSO. Entropy 2019, 21, 404. https://doi.org/10.3390/e21040404
Fu W, Tan J, Xu Y, Wang K, Chen T. Fault Diagnosis for Rolling Bearings Based on Fine-Sorted Dispersion Entropy and SVM Optimized with Mutation SCA-PSO. Entropy. 2019; 21(4):404. https://doi.org/10.3390/e21040404
Chicago/Turabian StyleFu, Wenlong, Jiawen Tan, Yanhe Xu, Kai Wang, and Tie Chen. 2019. "Fault Diagnosis for Rolling Bearings Based on Fine-Sorted Dispersion Entropy and SVM Optimized with Mutation SCA-PSO" Entropy 21, no. 4: 404. https://doi.org/10.3390/e21040404
APA StyleFu, W., Tan, J., Xu, Y., Wang, K., & Chen, T. (2019). Fault Diagnosis for Rolling Bearings Based on Fine-Sorted Dispersion Entropy and SVM Optimized with Mutation SCA-PSO. Entropy, 21(4), 404. https://doi.org/10.3390/e21040404

