Multiscale Entropy Quantifies the Differential Effect of the Medium Embodiment on Older Adults Prefrontal Cortex during the Story Comprehension: A Comparative Analysis
Abstract
:1. Introduction
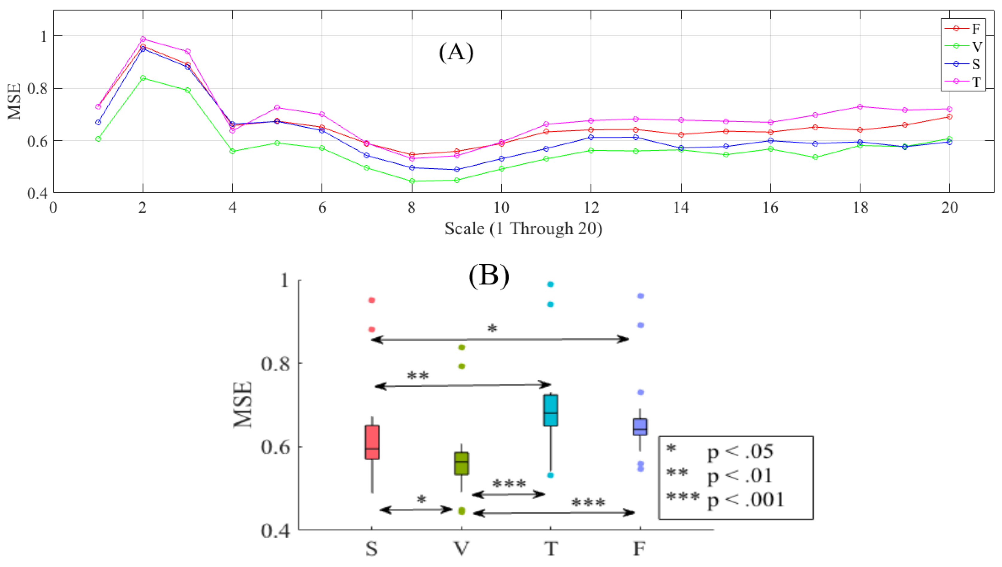
2. Results
Prediction of the Older People Perceived Fatigue Using MSE
3. Discussion
Limitations and Future Direction
4. Materials and Methods
4.1. Participants
4.2. Communication Media
4.3. Sensory Device
4.4. Paradigms
4.5. Data Processing
4.6. Analysis
Author Contributions
Funding
Conflicts of Interest
Abbreviations
| PFC | Prefrontal cortex | 
| MSE | Multiscale entropy | 
| NIRS | Near-infrared spectroscopy | 
| S | Speaker setting | 
| V | Video-chat setting | 
| T | Telenoid setting | 
| F | Face-to-face (in-person) setting | 
| M | Mean of the variable “a” | 
| SD | Standard deviation of the variable “a” | 
Appendix A. Right-Hemispheric PFC


Prediction of the Older People Perceived Fatigue Using Right-Hemispheric MSE


| Medium | Accuracy | TP | TN | FP | FN | Precision | Recall | F1-Score | 
|---|---|---|---|---|---|---|---|---|
| S | 60.00% | 4 | 5 | 2 | 4 | 0.67 | 0.50 | 0.57 | 
| V | 53.33% | 3 | 5 | 4 | 3 | 0.43 | 0.50 | 0.46 | 
| T | 73.33% | 5 | 6 | 2 | 2 | 0.61 | 0.61 | 0.61 | 
| F | 33.33% | 2 | 3 | 4 | 6 | 0.33 | 0.25 | 0.29 | 
References
- Matarić, M.J. Socially assistive robotics: Human augmentation versus automation. Sci. Robot. 2018, 2, eaam5410. [Google Scholar] [CrossRef]
- Matarić, M.J.; Scassellati, B. Socially assistive robotics. In Springer Handbook of Robotics; Scassellati, B., Khatib, O., Eds.; Springer International Publishing: New York, NY, USA, 2016. [Google Scholar]
- Broadbent, E. Interactions with robots: The truths we reveal about ourselves. Annu. Rev. Psychol. 2017, 68, 627–652. [Google Scholar] [CrossRef] [PubMed]
- Mann, J.A.; MacDonald, B.A.; Kuo, I.; Li, X.; Broadbent, E. People respond better to robots than computer tablets delivering healthcare instructions. Comput. Hum. Behav. 2015, 43, 112–117. [Google Scholar] [CrossRef]
- Michaelis, J.E.; Mutlu, B. Reading socially: Transforming the in-home reading experience with a learning-companion robot. Sci. Robot. 2018, 3, eaat5999. [Google Scholar] [CrossRef]
- Keshmiri, S.; Sumioka, H.; Yamazaki, R.; Okubo, M.; Ishiguro, H. Similarity of the Impact of Humanoid and In-Person Communications on Frontal Brain Activity of Older People. In Proceedings of the 2018 IEEE/RSJ International Conference on Intelligent Robots and Systems (IROS), Madrid, Spain, 1–5 October 2018. [Google Scholar]
- Sakamoto, D.; Kanda, T.; Ono, T.; Ishiguro, H.; Hagita, N. Android as a telecommunication medium with a human-like presence. In Proceedings of the Human Robot Interaction (HRI), Arlington, VA, USA, 10–12 March 2007; Volume 3, pp. 193–200. [Google Scholar]
- Valenti, S.M.; Agüera-Ortiz, L.; Olazarán, R.J.; Mendoza, R.C.; Pérez, M.A.; Rodriguez, P.I.; Osa, R.E.; Barrios, S.A.; Herrero, C.V.; Carrasco, C.L.; et al. Social robots in advanced dementia. Front. Aging Neurosci. 2015, 7, 133. [Google Scholar]
- Robinson, H.; MacDonald, B.; Kerse, N.; Broadbent, E. The psychosocial effects of a companion robot: A randomized controlled trial. J. Am. Med. Dir. Assoc. JAMA 2013, 14, 661–667. [Google Scholar] [CrossRef] [PubMed]
- Kim, G.H.; Jeon, S.; Im, K.; Kwon, H.; Lee, B.H.; Kim, G.Y.; Jeong, H.; Han, N.E.; Seo, S.W.; Cho, H.; et al. Structural brain changes after traditional and robot-assisted multi-domain cognitive training in community-dwelling healthy elderly. PLoS ONE 2015, 10, e0123251. [Google Scholar] [CrossRef] [PubMed]
- Reeves, B.; Nass, C. The Media Equation: How People Treat Computers, Television, and New Media Like Real People and Places, 1st ed.; CSLI Publications: Stanford, CA, USA, 2002. [Google Scholar]
- Nass, C.; Moon, Y.; Green, N. Are machines gender neutral? Gender-stereotypic responses to computers with voices. J. Appl. Soc. Psychol. 1997, 27, 864–876. [Google Scholar] [CrossRef]
- Nass, C.; Moon, Y.; Carney, P. Are respondents polite to computers? Social desirability and direct responses to computers. J. Appl. Soc. Psychol. 1999, 29, 1093–1110. [Google Scholar] [CrossRef]
- Goldberger, A.L.; Amaral, L.A.N.; Hausdorff, J.M.; Ivanov, P.C.; Peng, C.-K.; Stanley, H.E. Fractal dynamics in physiology: Alterations with disease and aging. Proc. Natl. Acad. Sci. USA 2002, 99, 2466–2472. [Google Scholar] [CrossRef] [PubMed]
- Zhang, Y.-C. Complexity and noise. A phase space approach. J. Phys. I 1991, 7, 971–977. [Google Scholar]
- McLuhan, M.; Quentin, F. The Medium Is the Message: An Inventory of Effects; Agel, J., Ed.; Pinguin Group: New York, NY, USA, 1967. [Google Scholar]
- Costa, M.; Goldberger, A.L.; Peng, C.K. Multiscale entropy analysis of complex physiologic time series. Phys. Rev. E 2002, 86, 068102. [Google Scholar] [CrossRef] [PubMed]
- Costa, M.; Goldberger, A.L.; Peng, C.K. Multiscale entropy analysis of biological signals. Phys. Rev. E 2005, 71, 021906. [Google Scholar] [CrossRef] [PubMed]
- Humeau-Heurtier, A. Evaluation of systems’ irregularity and complexity: Sample entropy, its derivatives, and their applications across scales and disciplines. Entropy 2018, 20, 794. [Google Scholar] [CrossRef]
- Gao, Y.; Villecco, F.; Li, M.; Song, W. Multi-Scale permutation entropy based on improved LMD and HMM for rolling bearing diagnosis. Entropy 2017, 19, 176. [Google Scholar] [CrossRef]
- McIntosh, A.R.; Kovacevic, N.; Itier, R.J. Increased brain signal variability accompanies lower behavioral variability in development. PLoS Comput. Biol. 2008, 4, e1000106. [Google Scholar] [CrossRef] [PubMed]
- McDonough, I.M.; Nashiro, K. Network complexity as a measure of information processing across resting-state networks: Evidence from the Human Connectome Project. Front. Hum. Neurosci. 2014, 8, 409. [Google Scholar] [CrossRef] [PubMed]
- Manor, B.; Lipsitz, L.A. Physiologic complexity and aging: Implications for physical function and rehabilitation. Prog. Neuro-Psychopharmacol. Biol. Psychiatry 2013, 45, 287–293. [Google Scholar] [CrossRef] [PubMed]
- Takahashi, T.; Cho, R.Y.; Murata, T.; Mizuno, T.; Kikuchi, M.; Mizukami, K.; Kosaka, H.; Takahashi, K.; Wada, Y. Age-related variation in EEG complexity to photic stimulation: A multiscale entropy analysis. Clin. Neurophysiol. 2009, 120, 476–483. [Google Scholar] [CrossRef] [PubMed]
- McIntosh, A.R.; Vakorin, V.; Kovacevic, N.; Wang, H.; Diaconescu, A.; Protzner, A.B. Spatiotemporal dependency of age-related changes in brain signal variability. Cereb. Cortex 2013, 24, 1806–1817. [Google Scholar] [CrossRef] [PubMed]
- Yang, A.C.; Huang, C.C.; Yeh, H.L.; Liu, M.E.; Hong, C.J.; Tu, P.C.; Chen, J.F.; Huang, N.E.; Peng, C.K.; Lin, C.P.; et al. Complexity of spontaneous BOLD activity in default mode network is correlated with cognitive function in normal male elderly: A multiscale entropy analysis. Neurobiol. Aging 2013, 34, 428–438. [Google Scholar] [CrossRef] [PubMed]
- Liao, F.; Cheing, G.L.; Ren, W.; Jain, S.; Jan, Y.K. Application of multiscale entropy in assessing plantar skin blood flow dynamics in diabetics with peripheral neuropathy. Entropy 2018, 20, 127. [Google Scholar] [CrossRef]
- Gabrieli, J.D.; Poldrack, R.A.; Desmond, J.E. The role of left prefrontal cortex in language and memory. Proc. Natl. Acad. Sci. USA 1998, 95, 906–913. [Google Scholar] [CrossRef] [PubMed]
- Forbes, C.E.; Grafman, J. The role of the human prefrontal cortex in social cognition and moral judgment. Annu. Rev. Neurosci. 2010, 33, 299–324. [Google Scholar] [CrossRef] [PubMed]
- Mar, R.A. The neural bases of social cognition and story comprehension. Annu. Rev. Psychol. 2011, 33, 103–134. [Google Scholar] [CrossRef] [PubMed]
- Molenberghs, P.; Johnson, H.; Henry, J.D.; Mattingley, J.B. Understanding the minds of others: A neuroimaging meta-analysis. Neurosci. Biobehav. Rev. 2016, 65, 276–291. [Google Scholar] [CrossRef] [PubMed]
- Lerner, Y.; Honey, C.J.; Silbert, L.J.; Hasson, U. Topographic mapping of a hierarchy of temporal receptive windows using a narrated story. J. Neurosci. 2011, 31, 2906–2915. [Google Scholar] [CrossRef] [PubMed]
- Clabaugh, C.; Matarić, M.J. Robots for the people, by the people: Personalizing human-machine interaction. Sci. Robot. 2018, 3, eaat7451. [Google Scholar] [CrossRef]
- Yang, G.-Z.; Bellingham, J.; Dupont, P.E.; Fischer, P.; Floridi, L.; Full, R.; Jacobstein, N.; Kumar, V.; McNutt, M.; Merrifield, R.; et al. The grand challenges of Science Robotics. Sci. Robot. 2018, 3, eaar7650. [Google Scholar] [CrossRef]
- Bak, P.; Tang, C.; Wiesenfield, K. Self-organized criticality: An explanation of the 1/f noise. Phys. Rev. Lett. 1987, 5, 381–384. [Google Scholar] [CrossRef] [PubMed]
- Stanley, H.E.; Buldyrev, S.V.; Goldberger, A.L.; Goldberger, Z.D.; Havlin, S.; Mantegna, R.N. Statistical mechanics in biology: How ubiquitous are long-range correlations? Phys. A 1994, 205, 214–253. [Google Scholar] [CrossRef]
- Goldberger, A.I.; Peng, C.K.; Lipsitz, L.A. What is physiologic complexity and how does it change with ageing and disease? Neurobiol. Aging 2002, 23, 23–26. [Google Scholar] [CrossRef]
- Finn, K.E.; Sellen, A.J.; Wilbur, S.B. Video-mediated communication. In Video-Mediated Communication; Lawrence Erlbaum Associates: Hillsdale, NJ, USA, 1997. [Google Scholar]
- De Greef, P.; Ijsselsteijn, W. Social presence in a home tele-application. Cyberpsychol. Behav. 2001, 4, 307–315. [Google Scholar] [CrossRef] [PubMed]
- Bailenson, J.N.; Yee, N.; Merget, D.; Schroeder, R. The effect of behavioral realism and form realism of real-time avatar faces on verbal disclosure, nonverbal disclosure, emotion recognition, and copresence in dyadic interaction. Presence 2006, 15, 359–372. [Google Scholar] [CrossRef]
- Bente, G.; Ruggenberg, S.; Kramer, N.C.; Eschenburg, F. Avatar-mediated networking: Increasing social presence and interpersonal trust in net-based collaborations. Hum. Commun. Res. 2008, 34, 287–318. [Google Scholar] [CrossRef]
- Joinson, A.N. Self-disclosure in computer-mediated communication: The role of self-awareness and visual anonymity. Eur. J. Soc. Psychol. 2001, 31, 177–192. [Google Scholar] [CrossRef]
- Joinson, A.N. Effects of computer conferencing on the language use of emotionally disturbed adolescents. Behav. Res. Methods Instrum. Comput. 1987, 19, 224–230. [Google Scholar]
- Holt-Lunstad, J.; Smith, T.B.; Layton, J.B. Computer-mediated communication: Impersonal, Interpersonal, and hyperpersonal integration. Commun. Res. 1996, 23, 3–43. [Google Scholar]
- Tanaka, F.; Cicourel, A.; Movellan, J.R. Socialization between toddlers and robots at an early childhood education center. Proc. Natl. Acad. Sci. USA 2007, 104, 17954–17958. [Google Scholar] [CrossRef] [PubMed]
- Scassellati, B. Theory of mind for a humanoid robot. Auton. Robots 2002, 12, 13–24. [Google Scholar] [CrossRef]
- Sumioka, H.; Nishio, S.; Minato, T.; Yamazaki, R.; Ishiguro, H. Minimal human design approach for sonzai-kan media: Investigation of a feeling of human presence. Cogn. Comput. 2014, 6, 760–774. [Google Scholar] [CrossRef]
- Sakai, K.; Minato, T.; Ishi, C.T.; Ishiguro, H. Novel Speech Motion Generation by Modelling Dynamics of Human Speech Production. Front. Robot. AI 2017, 4, 49. [Google Scholar] [CrossRef]
- Takahashi, T.; Takikawa, Y.; Kawagoe, R.; Shibuya, S.; Iwano, T.; Kitazawa, S. Influence of skin blood flow on near-infrared spectroscopy signals measured on the forehead during a verbal fluency task. NeuroImage 2011, 57, 991–1002. [Google Scholar] [CrossRef] [PubMed]
- Gagnon, L.; Perdue, K.; Greve, D.N.; Goldenholz, D.; Kaskhedikar, G.; Boas, D.A. Improved recovery of the hemodynamic response in diffuse optical imaging using short optode separations and state-space modeling. NeuroImage 2011, 56, 1362–1371. [Google Scholar] [CrossRef] [PubMed]
- Sato, T.; Nambu, I.; Takeda, K.; Aihara, T.; Yamashita, O.; Isogaya, Y.; Inoueand, Y.; Otaka, Y.; Wadaand, Y.; Kawato, M.; et al. Reduction of global interference of scalp-hemodynamic in functional near-infrared spectroscopy using short distance probes. NeuroImage 2016, 141, 120–132. [Google Scholar] [CrossRef] [PubMed]
- Yamada, T.; Umeyama, S.; Matsuda, K. Multidistance probe arrangement to eliminate artifacts in functional near-infrared spectroscopy. J. Biomed. Opt. 2009, 14, 120–132. [Google Scholar] [CrossRef] [PubMed]
- Li, T.; Luo, Q.; Gong, H.; Roebers, C.M.; Rammsayer, T.H. Gender-specific hemodynamics in prefrontal cortex during a verbal working memory task by near-infrared spectroscopy. Behav. Brain Res. 2010, 29, 148–153. [Google Scholar] [CrossRef] [PubMed]
- Haut, K.; Barch, D. Sex influences on material-sensitive functional lateralization in working and episodic memory: Men and women are not all that different. NeuroImage 2006, 32, 411–422. [Google Scholar] [CrossRef] [PubMed]
- Tak, S.; Ye, J.C. Statistical analysis of fNIRS data: A comprehensive review. NeuroImage 2014, 85, 72–91. [Google Scholar] [CrossRef] [PubMed]
- Zhang, Y.; Brooks, D.H.; Franceschini, M.A.; Boas, D.A. Eigenvector-based spatial filtering for reduction of physiological interference in diffuse optical imaging. J. Biomed. Opt. 2005, 10, 011014. [Google Scholar] [CrossRef] [PubMed]
- Cooper, R.; Selb, J.; Gagnon, L.; Phillip, D.; Schytz, H.W.; Iversen, H.K.; Ashina, M.; Boas, D.A. A systematic comparison of motion artifact correction techniques for functional near-infrared spectroscopy. Front. Neurosci. 2012, 6, 147. [Google Scholar] [CrossRef] [PubMed]
- Goldberger, A.L.; Amaral, L.; Glass, L.; Hausdorff, J.M.; Ivanov, P.C.; Mark, P.G.; Moody, G.B.; Peng, C.-K.; Stanley, H.E. PhysioBank, PhysioToolkit, and PhysioNet: Components of a new research resource for complex physiologic signals. Circulation 2000, 101, e215–e220. [Google Scholar] [CrossRef] [PubMed]
- Donoghue, J.P. Connecting cortex to machines: Recent advances in brain interfaces. Nat. Neurosci. 2002, 5, 1085. [Google Scholar] [CrossRef] [PubMed]
- Rosenthal, R.; DiMatteo, M.R. Meta-analysis: Recent developments n quantitative methods for literature reviews. Annu. Rev. Psychol. 2001, 52, 59–82. [Google Scholar] [CrossRef] [PubMed]
- Tomczak, M.; Tomczak, E. The need to report effect size estimates revisited. An overview of some recommended measures of effect size. Trends Sport Sci. 2014, 1, 19–25. [Google Scholar]
- Morel, P. Gramm: Grammar of Graphics Plotting for Matlab. 2016. Available online: https://github.com/piermorel (accessed on 10 April 2018).






| Medium | Accuracy | TP | TN | FP | FN | Precision | Recall | F1-Score | 
|---|---|---|---|---|---|---|---|---|
| S | 60.00% | 4 | 5 | 2 | 4 | 0.67 | 0.50 | 0.57 | 
| V | 53.33% | 3 | 5 | 4 | 3 | 0.43 | 0.50 | 0.46 | 
| T | 80.00% | 6 | 6 | 1 | 2 | 0.86 | 0.65 | 0.80 | 
| F | 46.67% | 4 | 3 | 4 | 4 | 0.50 | 0.50 | 0.50 | 
© 2019 by the authors. Licensee MDPI, Basel, Switzerland. This article is an open access article distributed under the terms and conditions of the Creative Commons Attribution (CC BY) license (http://creativecommons.org/licenses/by/4.0/).
Share and Cite
Keshmiri, S.; Sumioka, H.; Yamazaki, R.; Ishiguro, H. Multiscale Entropy Quantifies the Differential Effect of the Medium Embodiment on Older Adults Prefrontal Cortex during the Story Comprehension: A Comparative Analysis. Entropy 2019, 21, 199. https://doi.org/10.3390/e21020199
Keshmiri S, Sumioka H, Yamazaki R, Ishiguro H. Multiscale Entropy Quantifies the Differential Effect of the Medium Embodiment on Older Adults Prefrontal Cortex during the Story Comprehension: A Comparative Analysis. Entropy. 2019; 21(2):199. https://doi.org/10.3390/e21020199
Chicago/Turabian StyleKeshmiri, Soheil, Hidenobu Sumioka, Ryuji Yamazaki, and Hiroshi Ishiguro. 2019. "Multiscale Entropy Quantifies the Differential Effect of the Medium Embodiment on Older Adults Prefrontal Cortex during the Story Comprehension: A Comparative Analysis" Entropy 21, no. 2: 199. https://doi.org/10.3390/e21020199
APA StyleKeshmiri, S., Sumioka, H., Yamazaki, R., & Ishiguro, H. (2019). Multiscale Entropy Quantifies the Differential Effect of the Medium Embodiment on Older Adults Prefrontal Cortex during the Story Comprehension: A Comparative Analysis. Entropy, 21(2), 199. https://doi.org/10.3390/e21020199
 
        



 
       