Perceptual Video Coding Scheme Using Just Noticeable Distortion Model Based on Entropy Filter
Abstract
:1. Introduction
2. The Proposed Transform-Domain Suppressed JND Model
2.1. The Proposed JND Model by GDE Filter and the Saliency Factor
2.1.1. The Basic Framework of the JND Model
2.1.2. The Proposed 10-Bit Luminance Masking Effect
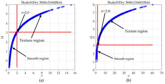
2.2. The Proposed 10-Bit JND Model Is Suppressed by the GDE Filter
2.3. Saliency Factor
2.3.1. Saliency Region Extraction Algorithm Based on DCT Domain
2.3.2. The Proposed JND Model Based on the Saliency Weight Factor
3. A JND-Based HEVC-Complaint PVC Scheme Using Distortion Compensation
3.1. Overall Architecture of the Proposed PVC Scheme
3.2. The Proposed JND-Based HEVC-Complaint PVC Scheme using Distortion Compensation
4. Experimental Results
4.1. Verification of the Proposed JGDE-S Model
4.2. Objective and Subjective Performance Evaluation for the Proposed PVC Scheme
5. Conclusions
Author Contributions
Funding
Conflicts of Interest
References
- Cheon, M.; Lee, J.S. Subjective and objective quality assessment of compressed 4K UHD videos for Immersive Experience. IEEE Trans. Circuits Syst. Video Technol. 2018, 28, 1467–1480. [Google Scholar] [CrossRef]
- Bae, S.-H.; Kim, J.; Kim, M.; Cho, S.; Choi, J.S. Assessments of Subjective Video Quality on HEVC-Encoded 4K-UHD Video for Beyond-HDTV Broadcasting Services. IEEE Trans. Broadcast. 2013, 59, 209–222. [Google Scholar] [CrossRef]
- Wang, M.; Xie, W.; Meng, X.; Zeng, H.; Ngan, K.N.; Chen, Z. UHD Video Coding: A Light-Weight Learning-Based Fast Super-Block Approach. IEEE Trans. Circuits Syst. Video Technol. 2019, 29, 3083–3094. [Google Scholar] [CrossRef]
- Koike, Y.; Inoue, A. High-speed graded-index plastic optical fibers and their simple interconnects for 4K/8K video transmission. J. Lightwave Technol. 2018, 34, 1551–1555. [Google Scholar] [CrossRef]
- Kim, Y.; Choi, J.-S.; Kim, M. 2X Super-Resolution Hardware Using Edge-Orientation-Based Linear Mapping for Real-Time 4K UHD 60 fps Video Applications. IEEE Trans. Circuits Syst. II Express Briefs 2018, 65, 1274–1278. [Google Scholar] [CrossRef]
- Yang, X.; Ling, W.; Lu, Z.; Ong, E.; Yao, S. Just noticeable distortion model and its applications in video coding. Signal Process. Image Commun. 2005, 20, 662–680. [Google Scholar] [CrossRef]
- Chen, Z.; Guillemot, C. Perceptually-Friendly H.264/AVC Video Coding Based on Foveated Just-Noticeable-Distortion Model. IEEE Trans. Circuits Syst. Video Technol. 2010, 20, 806–819. [Google Scholar] [CrossRef]
- Liu, A.; Lin, W.; Paul, M.; Deng, C.; Zhang, F. Just Noticeable Difference for Images With Decomposition Model for Separating Edge and Textured Regions. IEEE Trans. Circuits Syst. Video Technol. 2010, 20, 1648–1652. [Google Scholar] [CrossRef]
- Wu, J.; Shi, G.; Lin, W.; Liu, A.; Qi, F. Just Noticeable Difference Estimation for Images With Free-Energy Principle. IEEE Trans. Multimedia 2013, 15, 1705–1710. [Google Scholar] [CrossRef]
- Zhao, Y.; Chen, Z.; Zhu, C.; Tan, Y.P.; Yu, L. Binocular just noticeable-difference model for stereoscopic images. IEEE Signal. Process. Lett. 2011, 18, 19–22. [Google Scholar] [CrossRef]
- Zhang, L.; Peng, Q.; Wang, Q.H.; Wu, X. Stereoscopic perceptual video coding based on just-noticeable-distortion profile. IEEE Trans. Broadcast. 2011, 57, 572–581. [Google Scholar] [CrossRef]
- Wang, X.; Kwong, S.; Zhang, Y. Considering binocular spatial sensitivity in stereoscopic image quality assessment. In Proceedings of the 2011 Visual Communications and Image Processing (VCIP), Tainan, Taiwan, 6–9 November 2011; p. 36. [Google Scholar]
- Ahumada, A.J.; Peterson, H.A. Luminance-model-based DCT quantization for color image compression. In Proceedings of the SPIE—The International Society for Optical Engineering, San Diego, CA, USA, 30 July–1 August 1997; Volume 1666, pp. 365–374. [Google Scholar]
- Watson, A.B. DCTune: A technique for visual optimization of DCT quantization matrices for individual images. In Society for Information Display Digest of Technical Papers; XXIV; Society for Information Display: San Jose, CA, USA, 1993; Volume 24, pp. 946–949. [Google Scholar]
- Wei, Z.; Ngan, K.N. Spatio-temporal just noticeable distortion profile for grey scale image/video in DCT domain. IEEE Trans. Circuits Syst. Video Technol. 2009, 19, 337–346. [Google Scholar]
- Ma, L.; Ngan, K.N.; Zhang, F.; Li, S. Adaptive block-size transform based just-noticeable difference model for images/videos. Signal. Process. Image Commun. 2011, 26, 162–174. [Google Scholar] [CrossRef]
- Luo, Z.; Song, L.; Zheng, S.; Ling, N.H. 264/advanced video control perceptual optimization coding based on JND-directed coefficient suppression. IEEE Trans. Circuits Syst. Video Technol. 2013, 23, 935–948. [Google Scholar] [CrossRef]
- Bae, S.H.; Kim, M. A Novel DCT-Based JND Model for Luminance Adaptation Effect in DCT Frequency. IEEE Signal Process. Lett. 2013, 20, 893–896. [Google Scholar]
- Bae, S.H.; Kim, M. A novel generalized DCT-based JND profile based on an elaborate CM-JND model for variable block-sized transforms in monochrome images. IEEE Trans. Image Process. 2014, 23, 3227–3240. [Google Scholar] [PubMed]
- Bae, S.H.; Kim, M. A DCT-based total JND profile for spatiotemporal and foveated masking effects. IEEE Trans. Circuits Syst. Video Technol. 2017, 27, 1196–1207. [Google Scholar] [CrossRef]
- Kim, J.; Bae, S.-H.; Kim, M. An HEVC-Compliant Perceptual Video Coding Scheme based on JND Models for Variable Block-sized Transform Kernels. IEEE Trans. Circuits Syst. Video Technol. 2015, 25, 1786–1800. [Google Scholar] [CrossRef]
- Bae, S.-H.; Kim, J.; Kim, M. HEVC-Based Perceptually Adaptive Video Coding Using a DCT-Based Local Distortion Detection Probability Model. IEEE Trans. Image Process. 2016, 25, 3343–3357. [Google Scholar] [CrossRef]
- Ki, S.; Bae, S.-H.; Kim, M.; Ko, H. Learning-Based Just-Noticeable-Quantization—Distortion Modeling for Perceptual Video Coding. IEEE Trans. Image Process. 2018, 27, 3178–3193. [Google Scholar] [CrossRef]
- Zhang, Y.; Naccari, M.; Agrafiotis, D.; Mrak, M. High dynamic range video compression exploiting luminance masking. IEEE Trans. Circuits Syst. Video Technol. 2016, 26, 950–964. [Google Scholar] [CrossRef]
- Jiang, X.; Song, T.; Zhu, D.; Katayama, T.; Wang, L. Quality-Oriented Perceptual HEVC Based on the Spatiotemporal Saliency Detection Model. Entropy 2019, 21, 165. [Google Scholar] [CrossRef]
- Zeeshan, M.; Majid, M. High Efficiency Video Coding Compliant Perceptual Video Coding Using Entropy Based Visual Saliency Model. Entropy 2019, 21, 964. [Google Scholar] [CrossRef]
- Rust, B.W.; Rushmeier, H.E. A new representation of the contrast sensitivity function for human vision. In Proceedings of the International Conference on Imaging Science, Systems, and Technology, Las Vegas, NV, USA, 30 June–3 July 1997; pp. 1–15. [Google Scholar]
- Zhang, X.; Lin, W.; Xue, P. Improved estimation for just-noticeable visual distortion. Signal Process. 2005, 85, 795–808. [Google Scholar] [CrossRef]
- Thomas, M.C.; Joy, A.T. Elements of Information Theory, 2nd ed.; Wiley-Blackwell: New York, NY, USA, 1991; pp. 224–231. [Google Scholar]
- Hou, X.; Zhang, L. Saliency detection: A spectral residual approach. In Proceedings of the 2007 IEEE Conference on Computer Vision and Pattern Recognition (CVPR), Minneapolis, MN, USA, 17–22 June 2007; pp. 1–8. [Google Scholar]
- HM. HM Reference Software 16.9. Available online: https://hevc.hhi.fraunhofer.de/svn/svn_HEVCSoftware/tags/HM-16.9/ (accessed on 15 June 2018).
- Petrinšak, L.; Grbić, R.; Kaprocki, Z.; Subotić, M. Challenges in 4K UHD multimedia device testing. In Proceedings of the 2017 Zooming innovation in Consumer Electronics International Conference (ZINC), Novi Sad, Serbia, 31 May–1 June 2017; pp. 5–8. [Google Scholar]
- Series, B.T. Methodology for the Subjective Assessment of the Quality of Television Pictures. Recommendation ITU-R BT. Available online: http://www.itu.int/dms_pubrec/itu-r/rec/bt/R-REC-BT.500-12-200909-S!!PDF-E.pdf (accessed on 28 December 2018).
- Parameter Values for Ultra-High Definition Television Systems for Production and International Programme Exchange. Recommendation ITU-R BT. Available online: https://www.itu.int/dms_pubrec/itu-r/rec/bt/R-REC-BT.2020-2-201510-I!!PDF-E.pdf (accessed on 2 March 2019).


















| Symbol | Description |
|---|---|
| HCSF(wi,j, φi,j) | Basic contrast sensitivity function (CSF) model |
| MFLM(wi,j, μp) | Luminance masking effects |
| JLM | The proposed luminance masking effects |
| HGDE | The proposed Gauss differential entropy (GDE) filter |
| S(wi,j) | Modulation factor for saliency |
| JGDE-S | The proposed JND model |
| wi,j, φi,j, μp | Cycles per degree, Directional angle, Average pixel intensity of N × N TU block |
| Display Information | Display | CHANGHONG (55Q3R) |
|---|---|---|
| Type and Size | LED 55’’ | |
| Resolution | 3840 × 2160 | |
| Dynamic contrast ratio | 7000:1 | |
| Number of subjects | 15 subjects (male: 10, female: 5, average age: 25, min: 22, max age: 33) | |
| Viewing distance | 1.2 m | |
| Ambient illuminance | 200 lux | |
| DCT transform option | Floating point, 8 × 8 block size | |
| Test image size (P2) | 256 × 256 pixels (covering a parafovea region) | |
| Test patch size (P1) | 32 × 32 pixels (resided in a fovea region) | |
| One Frame of Ultra-High Definition (UHD) Video Sequence | Texture > σth | Smooth ≤ σth |
|---|---|---|
| Bosphorus (1920 × 1080-8bit) | 10.9% | 89.1% |
| Bosphorus (3840 × 2160-8bit) | 3.9% | 96.1% |
| Bosphorus (3840 × 2160-10bit) | 96.0% | 4.0% |
| ShakeNDry (1920 × 1080-8bit) | 36.8% | 63.2% |
| ShakeNDry (3840 × 2160-8bit) | 11.9% | 88.1% |
| ShakeNDry (3840 × 2160-10bit) | 95.6% | 4.4% |
| HoneyBee (1920 × 1080-8bit) | 12.6% | 87.4% |
| HoneyBee (3840 × 2160-8bit) | 3.4% | 96.6% |
| HoneyBee (3840 × 2160-10bit) | 99.9% | 0.1% |
| Test Image (3840 × 2160) | 10-Bit Depth | |||
|---|---|---|---|---|
| Kim | Pro. | |||
| PSNR (dB) | Differential Mean Opinion Score (DMOS) | PSNR (dB) | DMOS | |
| Beauty | 50.42 | −0.1 | 48.25 | −0.1 |
| Bosphorus | 53.56 | −0.1 | 50.82 | −0.0 |
| HoneyBee | 53.28 | −0.0 | 49.05 | −0.0 |
| Jockey | 53.03 | −0.1 | 49.40 | −0.1 |
| ReadySetGo | 52.75 | −0.0 | 49.95 | −0.1 |
| ShakeNDry | 52.78 | −0.0 | 48.71 | −0.0 |
| YachtRide | 53.62 | −0.1 | 50.66 | −0.1 |
| TrafficFlow | 52.74 | −0.1 | 49.48 | −0.1 |
| Campfire | 52.74 | −0.0 | 52.08 | −0.0 |
| Avg. | 52.77 | −0.1 | 49.82 | −0.1 |
| Sequence | QP | Bitrates (kpbs) | ∆R (%) | ∆T (%) | ||||
|---|---|---|---|---|---|---|---|---|
| HM | Kim | Pro. | Kim | Pro. | Kim | Pro. | ||
| Tango2 | 22 | 37,173 | 25,339 | 13,945 | −31.83 | −62.49 | 9.92 | 4.68 |
| 27 | 11,282 | 9327 | 7441 | −17.33 | −34.05 | 17.61 | 8.70 | |
| 32 | 5715 | 5485 | 5150 | −4.02 | −9.89 | 24.93 | 22.54 | |
| 37 | 3205 | 3150 | 3139 | −1.72 | −2.06 | 24.94 | 23.95 | |
| Drums100 | 22 | 152,613 | 55,726 | 37,854 | −63.49 | −75.20 | 5.44 | −12.7 |
| 27 | 37,861 | 26,516 | 17,501 | −29.96 | −53.78 | 15.33 | 8.01 | |
| 32 | 15,041 | 13,747 | 12,419 | −8.60 | −17.43 | 24.39 | 20.10 | |
| 37 | 7441 | 7225 | 6850 | −2.90 | −7.94 | 25.62 | 22.19 | |
| Campfire | 22 | 100,798 | 51,279 | 34,100 | −49.13 | −66.17 | 10.68 | −6.70 |
| 27 | 29,612 | 24,236 | 15,683 | −18.15 | −47.04 | 15.65 | 5.47 | |
| 32 | 13,141 | 12,453 | 11,208 | −5.24 | −14.71 | 29.09 | 18.88 | |
| 37 | 7359 | 7152 | 6585 | −2.81 | −10.52 | 30.24 | 22.13 | |
| Toddler-Fountain2 | 22 | 272,351 | 184,980 | 175,151 | −32.08 | −35.69 | 13.12 | 8.91 |
| 27 | 133,188 | 79,831 | 78,904 | −40.06 | −40.76 | 16.49 | 10.88 | |
| 32 | 60,899 | 38,526 | 51,470 | −36.74 | −15.48 | 19.65 | 24.38 | |
| 37 | 26,596 | 18,690 | 24,087 | −29.73 | −9.43 | 22.75 | 27.09 | |
| CatRobot | 22 | 44,763 | 25,649 | 14,713 | −42.70 | −67.13 | 7.62 | −1.80 |
| 27 | 12,316 | 9980 | 7414 | −18.97 | −39.80 | 10.76 | 10.24 | |
| 32 | 6082 | 5692 | 5097 | −6.41 | −16.20 | 25.85 | 21.83 | |
| 37 | 3306 | 3222 | 2930 | −2.54 | −11.37 | 26.01 | 23.85 | |
| Traffic-Flow | 22 | 9848 | 6094 | 3448 | −38.12 | −64.99 | 9.63 | 1.49 |
| 27 | 2855 | 2363 | 1616 | −17.23 | −43.40 | 15.54 | 15.54 | |
| 32 | 1254 | 1132 | 1085 | −9.73 | −13.48 | 25.35 | 21.52 | |
| 37 | 630 | 628 | 614 | −0.32 | −2.54 | 26.05 | 23.73 | |
| Daylight-Road2 | 22 | 83,299 | 27,497 | 15,922 | −66.99 | −80.89 | 7.84 | −9.72 |
| 27 | 14,549 | 9970 | 7173 | −31.42 | −50.70 | 15.26 | 7.48 | |
| 32 | 6608 | 5831 | 5127 | −11.76 | −22.41 | 26.19 | 21.88 | |
| 37 | 3364 | 3054 | 2881 | −9.22 | −14.36 | 27.49 | 24.45 | |
| Roller-coaster2 | 22 | 31,689 | 22,893 | 12,844 | −27.76 | −59.47 | 4.89 | −2.20 |
| 27 | 11,672 | 10,450 | 6333 | −10.47 | −45.74 | 13.10 | 5.32 | |
| 32 | 5200 | 5040 | 4457 | −3.77 | −14.29 | 23.31 | 19.22 | |
| 37 | 2688 | 2646 | 2528 | −1.56 | −5.95 | 24.89 | 22.84 | |
| Avg. | - | − | − | − | −21.02 | −32.98 | 18.61 | 12.94 |
| Sequence | QP | Bitrates (kpbs) | ∆R (%) | ∆T (%) | ||||
|---|---|---|---|---|---|---|---|---|
| HM | Kim | Pro. | Kim | Pro. | Kim | Pro. | ||
| Tango2 | 22 | 35,848 | 22,115 | 16,659 | −38.31 | −53.53 | 17.74 | 8.34 |
| 27 | 10,511 | 9224 | 7399 | −12.24 | −29.61 | 21.02 | 23.32 | |
| 32 | 5386 | 5067 | 4776 | −5.92 | −11.33 | 38.41 | 32.22 | |
| 37 | 3072 | 3040 | 2917 | −1.04 | −5.05 | 39.08 | 34.53 | |
| Drums100 | 22 | 125,145 | 70,489 | 45,109 | −43.67 | −63.95 | 8.65 | −3.01 |
| 27 | 36,429 | 26,449 | 21,078 | −27.40 | −42.14 | 20.26 | 18.51 | |
| 32 | 15,608 | 14,090 | 13,229 | −9.73 | −15.24 | 41.02 | 29.86 | |
| 37 | 8003 | 7870 | 7414 | −1.61 | −7.36 | 41.44 | 31.83 | |
| Campfire | 22 | 79,100 | 50,370 | 34,004 | −36.32 | −57.01 | 11.22 | 1.93 |
| 27 | 26,395 | 21,733 | 14,980 | −17.66 | −43.25 | 19.63 | 13.85 | |
| 32 | 11,414 | 10,365 | 9655 | −9.19 | −15.41 | 43.84 | 28.96 | |
| 37 | 6485 | 6223 | 5765 | −4.04 | −11.10 | 46.70 | 33.55 | |
| Toddler-Fountain2 | 22 | 236,874 | 171,444 | 151,512 | −27.62 | −36.03 | 25.56 | 10.90 |
| 27 | 109,785 | 78,272 | 67,705 | −28.70 | −38.33 | 24.65 | 15.26 | |
| 32 | 49,085 | 36,675 | 41,910 | −25.28 | −14.62 | 25.54 | 30.67 | |
| 37 | 21,776 | 18,756 | 19,609 | −13.87 | −9.95 | 32.57 | 34.04 | |
| CatRobot | 22 | 46,842 | 35,783 | 20,886 | −23.61 | −55.41 | 11.37 | 8.47 |
| 27 | 13,245 | 11,526 | 9017 | −12.98 | −31.92 | 11.64 | 24.02 | |
| 32 | 6756 | 6242 | 5749 | −7.61 | −14.91 | 41.90 | 33.67 | |
| 37 | 3804 | 3764 | 3409 | −1.05 | −10.38 | 42.06 | 35.20 | |
| Traffic-Flow | 22 | 14,151 | 11,277 | 5928 | −20.31 | −58.11 | 18.46 | 13.10 |
| 27 | 3965 | 3339 | 2676 | −15.79 | −32.51 | 31.58 | 21.22 | |
| 32 | 1850 | 1754 | 1627 | −5.19 | −12.05 | 44.47 | 34.81 | |
| 37 | 971 | 942 | 923 | −2.97 | −4.94 | 44.17 | 36.76 | |
| Daylight-Road2 | 22 | 80,460 | 43,424 | 27,325 | −46.03 | −66.04 | 11.87 | −2.45 |
| 27 | 15,401 | 12,109 | 9201 | −21.38 | −40.26 | 28.38 | 18.03 | |
| 32 | 7242 | 6142 | 5873 | −15.19 | −18.90 | 37.68 | 28.90 | |
| 37 | 3821 | 3529 | 3365 | −7.64 | −11.93 | 38.57 | 32.01 | |
| Roller-coaster2 | 22 | 28,274 | 20,336 | 14,506 | −28.08 | −48.69 | 16.33 | 9.80 |
| 27 | 11,185 | 9031 | 6887 | −19.26 | −38.43 | 17.73 | 19.30 | |
| 32 | 5319 | 5011 | 4544 | −5.79 | −14.57 | 38.31 | 30.30 | |
| 37 | 2891 | 2838 | 2816 | −1.83 | −2.59 | 40.75 | 30.66 | |
| Avg. | - | - | - | - | −16.79 | −28.61 | 29.14 | 22.45 |
| Configuration | LD | RA | |||||||||
|---|---|---|---|---|---|---|---|---|---|---|---|
| Sequence | QP | PSNR (dB) | DMOS | PSNR (dB) | DMOS | ||||||
| HM | Kim | Pro. | Kim | Pro. | HM | Kim | Pro. | Kim | Pro. | ||
| Tango2 | 22 | 40.46 | 38.93 | 38.91 | −0.1 | −0.1 | 40.31 | 38.80 | 39.26 | −0.1 | −0.1 |
| 27 | 39.59 | 38.01 | 37.85 | −0.6 | −0.2 | 39.57 | 37.94 | 38.40 | −0.6 | −0.3 | |
| 32 | 38.46 | 36.63 | 37.56 | −0.8 | −0.1 | 38.56 | 36.64 | 37.85 | −0.8 | −0.1 | |
| 37 | 36.90 | 35.05 | 36.14 | −0.8 | −0.3 | 37.15 | 35.14 | 36.55 | −0.8 | −0.5 | |
| Drums100 | 22 | 42.31 | 37.08 | 38.05 | 0.0 | 0.0 | 41.47 | 37.21 | 38.63 | 0.0 | 0.0 |
| 27 | 39.30 | 35.57 | 36.31 | −0.2 | −0.1 | 39.10 | 35.86 | 37.13 | −0.2 | −0.1 | |
| 32 | 36.97 | 34.01 | 35.91 | −0.2 | −0.2 | 37.08 | 34.24 | 36.23 | −0.2 | −0.1 | |
| 37 | 34.62 | 32.33 | 33.88 | −0.4 | −0.2 | 34.94 | 32.61 | 34.29 | −0.4 | −0.2 | |
| Campfire | 22 | 40.28 | 36.00 | 36.46 | −0.2 | −0.2 | 39.32 | 35.76 | 36.50 | −0.4 | −0.3 |
| 27 | 37.38 | 34.67 | 35.20 | −0.3 | −0.3 | 37.07 | 34.39 | 35.11 | −0.3 | −0.5 | |
| 32 | 35.67 | 33.24 | 34.86 | −0.4 | −0.4 | 35.43 | 32.94 | 34.59 | −0.5 | −0.5 | |
| 37 | 33.88 | 31.90 | 33.29 | −0.4 | −0.3 | 33.65 | 31.67 | 33.02 | −0.5 | −0.3 | |
| Toddler-Fountain2 | 22 | 40.78 | 32.13 | 36.29 | 0.0 | 0.0 | 39.78 | 31.68 | 35.37 | 0.0 | 0.0 |
| 27 | 37.06 | 29.89 | 32.90 | −0.2 | −0.1 | 35.88 | 29.62 | 32.12 | −0.2 | −0.1 | |
| 32 | 33.52 | 28.29 | 32.41 | −0.3 | −0.2 | 32.53 | 29.63 | 31.52 | −0.3 | −0.2 | |
| 37 | 30.59 | 26.99 | 30.01 | −0.5 | −0.3 | 29.90 | 26.73 | 29.34 | −0.5 | −0.3 | |
| CatRobot | 22 | 40.28 | 38.21 | 38.28 | 0.0 | 0.0 | 40.23 | 38.14 | 39.03 | 0.0 | 0.0 |
| 27 | 38.96 | 37.11 | 36.95 | −0.1 | 0.0 | 39.17 | 37.18 | 37.93 | −0.3 | 0.0 | |
| 32 | 37.34 | 35.65 | 36.42 | −0.3 | 0.2 | 37.75 | 35.82 | 37.02 | −0.4 | 0.2 | |
| 37 | 35.31 | 33.84 | 34.56 | −0.5 | −0.1 | 35.90 | 34.06 | 35.26 | −0.7 | −0.1 | |
| Traffic-Flow | 22 | 39.84 | 38.70 | 38.48 | −0.1 | −0.4 | 39.89 | 38.49 | 38.90 | −0.1 | −0.5 |
| 27 | 38.62 | 37.80 | 37.46 | −0.2 | −0.4 | 38.82 | 37.66 | 37.97 | −0.3 | −0.5 | |
| 32 | 37.27 | 36.58 | 36.66 | −0.1 | −0.3 | 37.55 | 36.34 | 37.05 | −0.6 | −0.3 | |
| 37 | 35.63 | 35.01 | 35.12 | 0.0 | −0.2 | 36.02 | 34.80 | 35.61 | −0.7 | −0.2 | |
| Daylight-Road2 | 22 | 38.04 | 36.03 | 36.13 | 0.0 | 0.0 | 37.91 | 36.02 | 36.63 | 0.0 | 0.0 |
| 27 | 36.87 | 35.12 | 35.11 | −0.1 | 0.0 | 36.95 | 35.30 | 35.84 | −0.2 | 0.0 | |
| 32 | 35.65 | 33.98 | 34.75 | −0.4 | −0.1 | 35.89 | 34.26 | 35.23 | −0.5 | −0.1 | |
| 37 | 34.03 | 32.59 | 33.28 | −0.5 | −0.2 | 34.41 | 32.85 | 33.86 | −0.7 | −0.2 | |
| Roller-coaster2 | 22 | 45.17 | 41.14 | 41.18 | −0.2 | −0.1 | 44.76 | 41.22 | 42.22 | −0.2 | −0.1 |
| 27 | 42.81 | 39.34 | 39.09 | −0.4 | −0.3 | 42.70 | 39.57 | 40.13 | −0.5 | −0.3 | |
| 32 | 40.19 | 37.40 | 38.54 | −0.5 | −0.3 | 40.33 | 37.59 | 39.06 | −0.5 | −0.3 | |
| 37 | 37.61 | 35.35 | 36.06 | −0.6 | −0.4 | 37.92 | 35.45 | 36.98 | −0.7 | −0.4 | |
| Avg. | - | 37.86 | 35.14 | 36.07 | −0.3 | −0.2 | 37.75 | 35.18 | 36.39 | −0.4 | −0.2 |
© 2019 by the authors. Licensee MDPI, Basel, Switzerland. This article is an open access article distributed under the terms and conditions of the Creative Commons Attribution (CC BY) license (http://creativecommons.org/licenses/by/4.0/).
Share and Cite
Cui, X.; Peng, Z.; Jiang, G.; Chen, F.; Yu, M. Perceptual Video Coding Scheme Using Just Noticeable Distortion Model Based on Entropy Filter. Entropy 2019, 21, 1095. https://doi.org/10.3390/e21111095
Cui X, Peng Z, Jiang G, Chen F, Yu M. Perceptual Video Coding Scheme Using Just Noticeable Distortion Model Based on Entropy Filter. Entropy. 2019; 21(11):1095. https://doi.org/10.3390/e21111095
Chicago/Turabian StyleCui, Xin, Zongju Peng, Gangyi Jiang, Fen Chen, and Mei Yu. 2019. "Perceptual Video Coding Scheme Using Just Noticeable Distortion Model Based on Entropy Filter" Entropy 21, no. 11: 1095. https://doi.org/10.3390/e21111095
APA StyleCui, X., Peng, Z., Jiang, G., Chen, F., & Yu, M. (2019). Perceptual Video Coding Scheme Using Just Noticeable Distortion Model Based on Entropy Filter. Entropy, 21(11), 1095. https://doi.org/10.3390/e21111095

