SINR- and MI-Based Maximin Robust Waveform Design
Abstract
1. Introduction
2. Problem Formulation
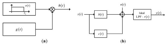
2.1. Signal Model for a Known Target and Waveform Design Based on SINR
2.2. Signal Model for a Random Target and Waveform Design Based on SINR and MI
3. Maximin Robust Waveform Design
3.1. Robust Waveform Design Based on SINR
3.1.1. Robust Waveform Design Based on SINR for a Single Target
3.1.2. Robust Waveform Design Based on SINR for Multiple Targets
3.2. Robust Waveform Design Based on MI
3.2.1. Robust Waveform Design Based on MI for a Single Target
3.2.2. Robust Waveform Design Based on MI for Multiple Targets
4. Simulation and Results
5. Conclusions
Author Contributions
Funding
Conflicts of Interest
References
- Haykin, S. Cognitive radar: A way of the future. IEEE Sig. Process. Mag. 2006, 23, 30–40. [Google Scholar] [CrossRef]
- Dudczyk, J.; Wnuk, M. The utilization of unintentional radiation for identification of the radiation sources. In Proceedings of the 34th European Microwave Conference (EuMC), Amsterdam, The Netherlands, 12–14 October 2004; pp. 777–780. [Google Scholar]
- Wnuk, M.; Kawalec, A.; Dudczyk, J.; Owczarek, R. The method of regression analysis approach to the specific emitter identification. In Proceedings of the 16th International Conference on Microwaves, Radar and Wireless Communications (MIKON), Krakow, Poland, 22–24 May 2006; pp. 491–494. [Google Scholar]
- Kawalec, A.; Rapacki, T.; Wnuczek, S.; Dudczyk, J.; Owczarek, R. Mixed method based on intrapulse data and radiated emission to emitter sources recognition. In Proceedings of the 16th International Conference on Microwaves, Radar and Wireless Communications (MIKON), Krakow, Poland, 22–24 May 2006; pp. 487–491. [Google Scholar]
- Cheng, X.; Aubry, A.; Ciuonzo, D.; Maio, D.A.; Wang, X. Robust waveform and filter bank design of polarimetric radar. IEEE Trans. Aerosp. Electron. Syst. 2017, 53, 370–384. [Google Scholar] [CrossRef]
- Garren, D.A.; Osborn, M.K.; Odom, A.C.; Goldstein, J.S.; Pillai, S.U.; Guerci, J.R. Enhanced target detection and identification via optimized radar transmission pulse shape. IEE Proc. Radar Sonar Navig. 2001, 148, 130–138. [Google Scholar] [CrossRef]
- Guariglia, E. Entropy and Fractal Antennas. Entropy 2016, 18, 84. [Google Scholar] [CrossRef]
- Guariglia, E. Harmonic Sierpinski Gasket and Applications. Entropy 2018, 20, 714. [Google Scholar] [CrossRef]
- Lee, S.H.; Lee, S.M.; Sohn, G.Y.; Kim, J.Y. Fuzzy entropy design for non convex fuzzy set and application to mutual information. J. Cent. South Univ. Technol. 2011, 18, 184–189. [Google Scholar] [CrossRef]
- Tan, C.C.; Shanmugam, S.A.; Mann, K.A.L. Medical image registration by maximizing mutual information based on combination of intensity and gradient information. In Proceedings of the 2012 International Conference on Biomedical Engineering (ICoBE), Penang, Malaysia, 27–28 February 2012; pp. 368–372. [Google Scholar]
- Bell, M.R. Information theory and radar waveform design. IEEE Trans. Inf. Theory 1993, 39, 1578–1597. [Google Scholar] [CrossRef]
- Guo, D.; Shamai, S.; Verdu, S. Mutual information and minimum mean-square error in channels. IEEE Trans. Inf. Theory 2005, 51, 1261–1282. [Google Scholar] [CrossRef]
- Leshem, A.; Naparstek, O.; Nehorai, A. Information theoretic adaptive radar waveform design for multiple extended targets. IEEE J. Sel. Top. Signal Process. 2007, 1, 42–55. [Google Scholar] [CrossRef]
- Davy, J. Data Modeling and Simulation Applied to Radar Signal Recognition. Prov. Med. Surg. J. 2005, 26, 165–173. [Google Scholar]
- Kim, H.S.; Goodman, N.A.; Lee, C.K.; Yang, S.I. Improved waveform design for radar target classification. Electron. Lett. 2017, 53, 879–881. [Google Scholar] [CrossRef]
- Zhu, Z.; Kay, S. Information-theoretic optimal radar waveform design. IEEE Signal Process. Lett. 2017, 24, 274–278. [Google Scholar] [CrossRef]
- Bell, M.R. Information Theory and Radar: Mutual Information and the Design and Analysis of Radar Waveforms and Systems; California Institute of Technology: Pasadena, CA, USA, 1988. [Google Scholar]
- Hwang, K.C. A Modified Sierpinski Fractal Antenna for Multiband Application. IEEE Antennas Wirel. Propag. Lett. 2007, 6, 357–360. [Google Scholar] [CrossRef]
- Vinoy, K.J.; Varadan, V.K. Design of reconfigurable fractal antennas and RF-MEMS for spaced-based communication systems. Smart Mater. Struct. 2001, 10, 1211–1223. [Google Scholar] [CrossRef]
- Best, S.R. A Discussion on the Significance of Geometry in Determining the Resonant Behavior of Fractal and Other Non-Euclidean Wire Antennas. IEEE Antennas Propag. Mag. 2003, 45, 9–28. [Google Scholar] [CrossRef]
- Wang, L.; Wang, H.; Wong, K.K.; Brennan, P.V. Minimax robust jamming techniques based on signal-to-interference-plus-noise ratio and mutual information criteria. IET Commun. 2014, 8, 1859–1867. [Google Scholar] [CrossRef]
- Romero, R.A.; Junhyeong, B.; Goodman, N.A. Theory and application of SNR and mutual information matched illumination waveforms. IEEE Trans. Aerosp. Electron. Syst. 2011, 47, 912–927. [Google Scholar] [CrossRef]
- Yang, Y.; Blum, R.S. Minimax robust MIMO radar waveform design. IEEE J. Sel. Top. Signal Process. 2007, 1, 147–155. [Google Scholar] [CrossRef]
- Kassam, S.A.; Poor, H.V. Robust techniques for signal processing: A survey. Proc. IEEE 1985, 73, 433–481. [Google Scholar] [CrossRef]












© 2019 by the authors. Licensee MDPI, Basel, Switzerland. This article is an open access article distributed under the terms and conditions of the Creative Commons Attribution (CC BY) license (http://creativecommons.org/licenses/by/4.0/).
Share and Cite
Wang, B.; Chen, X.; Xin, F.; Song, X. SINR- and MI-Based Maximin Robust Waveform Design. Entropy 2019, 21, 33. https://doi.org/10.3390/e21010033
Wang B, Chen X, Xin F, Song X. SINR- and MI-Based Maximin Robust Waveform Design. Entropy. 2019; 21(1):33. https://doi.org/10.3390/e21010033
Chicago/Turabian StyleWang, Bin, Xu Chen, Fengming Xin, and Xin Song. 2019. "SINR- and MI-Based Maximin Robust Waveform Design" Entropy 21, no. 1: 33. https://doi.org/10.3390/e21010033
APA StyleWang, B., Chen, X., Xin, F., & Song, X. (2019). SINR- and MI-Based Maximin Robust Waveform Design. Entropy, 21(1), 33. https://doi.org/10.3390/e21010033

