MHD Mixed Convection and Entropy Generation in a Lid-Driven Triangular Cavity for Various Electrical Conductivity Models
Abstract
:1. Introduction
2. Numerical Modeling
- On the partial heater (part of bottom wall): u=v=0, T=T,
- On the inclined wall: u=v=0, T=T,
- On the adiabatic walls of bottom part: u=v=0, ,
- On the left vertical wall: u=0, v=v, .
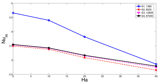
3. Results and Discussion
4. Conclusions
Author Contributions
Funding
Conflicts of Interest
Abbreviations
| B | magnetic field strength |
| Gr | Grashof number, |
| h | local heat transfer coefficient, (W/mK) |
| Ha | Hartmann number, |
| k | thermal conductivity, (W/m.K) |
| h | heater size, (m) |
| H | length of the cavity, (m) |
| M,1 M2, M3 | different electrical conductivity models |
| n | unit normal vector |
| Nu | local Nusselt number |
| p | pressure, (Pa) |
| P | non-dimensional pressure |
| Pr | Prandtl number, |
| S* | non-dimensional entropy generation rate |
| T | temperature, (K) |
| u, v | x-y velocity components, (m/s) |
| U, V | dimensionless velocity components |
| x, y | Cartesian coordinates, (m) |
| X, Y | dimensionless coordinates |
| Greek Characters | |
| thermal diffusivity, (m/s) | |
| expansion coefficient, (1/K) | |
| nanoparticle volume fraction | |
| non-dimensional temperature, | |
| kinematic viscosity, (m/s) | |
| density of the fluid, (kg/m) | |
| electrical conductivity, (S/m) | |
| Subscripts | |
| c | cold wall |
| m | average |
| h | hot wall |
References
- Abu-Mulaweh, H. A review of research on laminar mixed convection flow over backward- and forward facing steps. Int. J. Therm. Sci. 2003, 42, 897–909. [Google Scholar] [CrossRef]
- Khanafer, K.; Al-Azmi, B.; Al-Shammari, A.; Pop, I. Mixed convection analysis of laminar pulsating flow and heat transfer over a backward-facing step. Int. J. Heat Mass Transf. 2008, 51, 5785–5793. [Google Scholar] [CrossRef]
- Abu-Nada, E.; Chamkha, A.J. Mixed convection flow in a lid-driven inclined square enclosure filled with a nanofluid. Eur. J. Mech. B/Fluids 2010, 29, 472–482. [Google Scholar] [CrossRef]
- Costa, V.; Raimundo, A. Steady mixed convection in a differentially heated square enclosure with an active rotating circular cylinder. Int. J. Heat Mass Transf. 2010, 53, 1208–1219. [Google Scholar] [CrossRef]
- Selimefendigil, F.; Oztop, H.F. Fuzzy-based estimation of mixed convection heat transfer in a square cavity in the presence of an adiabatic inclined fin. Int. Commun. Heat Mass Transf. 2012, 39, 1639–1646. [Google Scholar] [CrossRef]
- Basak, T.; Roy, S.; Babu, S.K.; Pop, I. Finite element simulations of natural convection flow in an isosceles triangular enclosure filled with a porous medium: Effects of various thermal boundary conditions. Int. J. Heat Mass Transf. 2008, 51, 2733–2741. [Google Scholar] [CrossRef]
- Chen, C.L.; Cheng, C.H. Numerical study of the effects of lid oscillation on the periodic flow pattern and convection heat transfer in a triangular cavity. Int. Commun. Heat Mass Transf. 2009, 36, 590–596. [Google Scholar] [CrossRef]
- Hasnaoui, M.; Bilgen, E.; Vasseur, P. Natural Convection Heat Transfer in Rectangular Cavities Partially Heated from Below. J. Thermophys. Heat Transf. 1992, 6, 255–264. [Google Scholar] [CrossRef]
- Oztop, H.F.; Abu-Nada, E. Numerical study of natural convection in partially heated rectangular enclosures filled with nanofluids. Int. J. Heat Fluid Flow 2008, 29, 1326–1336. [Google Scholar] [CrossRef]
- Sivakumar, V.; Sivasankaran, S.; Prakash, P.; Lee, J. Effect of heating location and size on mixed convection in lid-driven cavities. Comput. Math. Appl. 2010, 59, 3053–3065. [Google Scholar] [CrossRef]
- Selimefendigil, F.; Oztop, H.F. Effect of a rotating cylinder in forced convection of ferrofluid over a backward facing step. Int. J. Heat Mass Transf. 2014, 71, 142–148. [Google Scholar] [CrossRef]
- Sarris, I.; Zikos, G.; Grecos, A.; Vlachos, N. On the limits of validity of the low magnetic Reynolds number approximation in MHD natural-convection heat transfer. Numer. Heat Transfer Part B 2006, 50, 158–180. [Google Scholar] [CrossRef]
- Selimefendigil, F.; Chamkha, A.J. Magnetohydrodynamics Mixed Convection in a Lid-Driven Cavity Having a Corrugated Bottom Wall and Filled With a Non-Newtonian Power-Law Fluid Under the Influence of an Inclined Magnetic Field. J. Therm. Sci. Eng. Appl. 2016, 8, 021023. [Google Scholar] [CrossRef]
- Shadloo, M.S.; Kimiaeifar, A. Application of homotopy perturbation method to find an analytical solution for magnetohydrodynamic flows of viscoelastic fluids in converging-diverging channels. J. Mech. Eng. Sci. 2011, 225, 347–353. [Google Scholar] [CrossRef]
- Sheikholeslami, M.; Bandpy, M.G.; Ganji, D. Numerical investigation of MHD effects on Al2O3-water nanofluid flow and heat transfer in a semi-annulus enclosure using LBM. Energy 2013, 60, 501–510. [Google Scholar] [CrossRef]
- Rahman, M.; Oztop, H.F.; Saidur, R.; Mekhilef, S.; Al-Salem, K. Finite element solution of MHD mixed convection in a channel with a fully or partially heated cavity. Comput. Fluids 2013, 79, 53–64. [Google Scholar] [CrossRef]
- Abbassi, H.; Nassrallah, S.B. MHD flow and heat transfer in a backward-facing step. Int. Commun. Heat Mass Transf. 2007, 34, 231–237. [Google Scholar] [CrossRef]
- Selimefendigil, F.; Oztop, H.F. Influence of inclination angle of magnetic field on mixed convection of nanofluid flow over a backward facing step and entropy generation. Adv. Powder Technol. 2015, 26, 1663–1675. [Google Scholar] [CrossRef]
- Selimefendigil, F.; Oztop, H.F. Numerical study of MHD mixed convection in a nanofluid filled lid driven square enclosure with a rotating cylinder. Int. J. Heat Mass Transf. 2014, 78, 741–754. [Google Scholar] [CrossRef]
- Sheikholeslami, M.; Bandpy, M.G.; Ellahi, R.; Zeeshan, A. Simulation of MHD CuO-water nanofluid flow and convective heat transfer considering Lorentz forces. J. Magn. Magn. Mater. 2014, 369, 69–80. [Google Scholar] [CrossRef]
- Mahmoudi, A.; Mejri, I.; Abbassi, M.A.; Omri, A. Lattice Boltzmann simulation of MHD natural convection in a nanofluid-filled cavity with linear temperature distribution. Powder Technol. 2014, 256, 257–271. [Google Scholar] [CrossRef]
- Xiao, B.; Chen, H.; Xiao, S.; Cai, J. Research on Relative Permeability of Nanofibers with Capillary Pressure Effect by Means of Fractal-Monte Carlo Technique. J. Nanosci. Nanotechnol. 2017, 17, 6811–6817. [Google Scholar] [CrossRef]
- Xiao, B.; Wang, W.; Fan, J.; Chen, H.; Hu, X.; Zhao, D.; Zhang, X.; Ren, W. Optimization of the fractal-like architecture of porous fibrous materials related to permeability, diffusivity and thermal conductivity. Fractals 2017, 25, 1750030. [Google Scholar] [CrossRef]
- Maxwell, J. A Treatise on Electricity and Magnetism; Oxford University Press: Oxford, UK, 1873. [Google Scholar]
- Minea, A.A.; Luciu, R.S. Investigations on electrical conductivity of stabilized water based Al2O3 nanofluids. Microfluid Nanofluid 2012, 13, 977–985. [Google Scholar] [CrossRef]
- Ganguly, S.; Sikdar, S.; Basu, S. Experimental investigation of the effective electrical conductivity of aluminum oxide nanofluids. Powder Technol. 2009, 196, 326–330. [Google Scholar] [CrossRef]
- Shoghl, S.N.; Jamali, J.; Moraveji, M.K. Electrical conductivity, viscosity, and density of different nanofluids: An experimental study. Exp. Therm. Fluid Sci. 2016, 74, 339–346. [Google Scholar] [CrossRef]
- Selimefendigil, F.; Oztop, H.F. Modeling and optimization of MHD mixed convection in a lid-driven trapezoidal cavity filled with alumina-water nanofluid: Effects of electrical conductivity models. Int. J. Mech. Sci. 2018, 136, 264–278. [Google Scholar] [CrossRef]
- Karimipour, A.; DOrazio, A.; Shadloo, M.S. The effects of different nano particles of Al2O3 and Ag on the MHD nano fluid flow and heat transfer in a microchannel including slip velocity and temperature jump. Physica E 2017, 86, 146–153. [Google Scholar] [CrossRef]
- Oztop, H.F.; Al-Salem, K. A review on entropy generation in natural and mixed convection heat transfer for energy systems. Renew. Sustain. Energy Rev. 2012, 16, 911–920. [Google Scholar] [CrossRef]
- Selimefendigil, F.; Oztop, H.F. MHD mixed convection and entropy generation of power law fluids in a cavity with a partial heater under the effect of a rotating cylinder. Int. J. Heat Mass Transf. 2016, 98, 40–51. [Google Scholar] [CrossRef]
- Mahian, O.; Kianifar, A.; Kleinstreuer, C.; Al-Nimr, M.A.; Pop, I.; Sahin, A.Z.; Wongwises, S. A review of entropy generation in nanofluid flow. Int. J. Heat Mass Transf. 2013, 65, 514–532. [Google Scholar] [CrossRef]
- Mahian, O.; Oztop, H.; Pop, I.; Mahmud, S.; Wongwises, S. Entropy generation between two vertical cylinders in the presence of MHD flow subjected to constant wall temperature. Int. Commun. Heat Mass Transf. 2013, 44, 87–92. [Google Scholar] [CrossRef]
- Bejan, A. Second law analysis in heat transfer. Energy 1980, 5, 721–732. [Google Scholar] [CrossRef]
- Rashidi, M.M.; Nasiri, M.; Shadloo, M.S.; Yang, Z. Entropy Generation in a Circular Tube Heat Exchanger Using Nanofluids: Effects of Different Modeling Approaches. Heat Transf. Eng. 2017, 38, 853–866. [Google Scholar] [CrossRef]
- Bhatti, M.M.; Abbas, T.; Rashidi, M.M.; Ali, M.E.S.; Yang, Z. Entropy Generation on MHD Eyring-Powell Nanofluid through a Permeable Stretching Surface. Entropy 2016, 18, 224. [Google Scholar] [CrossRef]
- Rashad, A.M.; Armaghani, T.; Chamkha, A.J.; Mansoure, M.A. Entropy generation and MHD natural convection of a nanofluid in an inclined square porous cavity: Effects of a heat sink and source size and location. Chin. J. Phys. 2018, 56, 193–211. [Google Scholar] [CrossRef]
- Mehrez, Z.; Cafsi, A.E.; Belghith, A.; Quere, P.L. MHD effects on heat transfer and entropy generation of nanofluid flow in an open cavity. J. Magn. Magn. Mater. 2015, 374, 214–224. [Google Scholar] [CrossRef]
- Koo, J.; Kleinstreuer, C. Laminar nanofluid flow in microheat-sinks. Int. J. Heat Mass Transf. 2005, 48, 2652–2661. [Google Scholar] [CrossRef]
- Iwatsu, R.; Hyun, J.; Kuwahara, K. Mixed convection in a driven cavity with a stable vertical temperature gradient. Int. J. Heat Mass Transf. 1993, 36, 1601–1608. [Google Scholar] [CrossRef]
- Rudraiah, N.; Barron, R.; Venkatachalappa, M.; Subbaraya, C. Effect of a magnetic field on free convection in a rectangular enclosure. Int. J. Eng. Sci. 1995, 33, 1075–1084. [Google Scholar] [CrossRef]
- Sheikholeslami, M.; Shamlooei, M. Convective flow of nanofluid inside a lid driven porous cavity using CVFEM. Physica B 2017, 521, 239–250. [Google Scholar] [CrossRef]
- Ghasemi, B.; Aminossadati, S.M. Mixed convection in a lid-driven triangular enclosure filled with nanofluids. Int. Commun. Heat Mass Transf. 2010, 37, 1142–1148. [Google Scholar] [CrossRef]
- Selimefendigil, F.; Oztop, H.F. Mixed convection in a partially heated triangular cavity filled with nanofluid having a partially flexible wall and internal heat generation. J. Taiwan Inst. Chem. Eng. 2017, 70, 168–178. [Google Scholar] [CrossRef]
- Sheikholeslami, M.; Hayat, T.; Muhammad, T.; Alsaedi, A. MHD forced convection flow of nanofluid in a porous cavity with hot elliptic obstacle by means of Lattice Boltzmann method. Int. J. Mech. Sci. 2018, 135, 532–540. [Google Scholar] [CrossRef]
- Selimefendigil, F.; Oztop, H.F. Analysis of MHD mixed convection in a flexible walled and nanofluids filled lid-driven cavity with volumetric heat generation. Int. J. Mech. Sci. 2016, 118, 113–124. [Google Scholar] [CrossRef]








| Property | Water | AlO |
|---|---|---|
| (kg/m) | 997.1 | 3970 |
| (J/kg K) | 4179 | 765 |
| k (W m K) | 0.6 | 25 |
| (1/K) |
| Re = 400 | Reference [40] | Current Solver |
|---|---|---|
| Gr = 100 | 3.84 | 3.81 |
| Gr = | 3.62 | 3.63 |
| Gr = | 1.22 | 1.26 |
| Ha | Present Study | Sheikholeslami and Shamlooei [42] | Rudraiah et al. [41] |
|---|---|---|---|
| 0 | 2.474 | 2.566 | 2.518 |
| 10 | 2.172 | 2.266 | 2.223 |
| 50 | 1.068 | 1.099 | 1.085 |
| 100 | 1.009 | 1.022 | 1.011 |
| Ri | M1 | M2 | M3 |
|---|---|---|---|
| 0.01 | 5.095 | 5.055 | 4.930 |
| 1 | 4.685 | 4.639 | 4.499 |
| 10 | 3.945 | 3.909 | 3.801 |
| 100 | 3.717 | 3.688 | 3.597 |
| Ha | M1 | M2 | M3 |
|---|---|---|---|
| 0 | 4.692 | 4.692 | 4.692 |
| 10 | 4.685 | 4.639 | 4.499 |
| 30 | 4.631 | 4.304 | 3.781 |
| 40 | 4.586 | 4.104 | 3.566 |
© 2018 by the authors. Licensee MDPI, Basel, Switzerland. This article is an open access article distributed under the terms and conditions of the Creative Commons Attribution (CC BY) license (http://creativecommons.org/licenses/by/4.0/).
Share and Cite
Chamkha, A.J.; Selimefendigil, F.; Oztop, H.F. MHD Mixed Convection and Entropy Generation in a Lid-Driven Triangular Cavity for Various Electrical Conductivity Models. Entropy 2018, 20, 903. https://doi.org/10.3390/e20120903
Chamkha AJ, Selimefendigil F, Oztop HF. MHD Mixed Convection and Entropy Generation in a Lid-Driven Triangular Cavity for Various Electrical Conductivity Models. Entropy. 2018; 20(12):903. https://doi.org/10.3390/e20120903
Chicago/Turabian StyleChamkha, Ali J., Fatih Selimefendigil, and Hakan F. Oztop. 2018. "MHD Mixed Convection and Entropy Generation in a Lid-Driven Triangular Cavity for Various Electrical Conductivity Models" Entropy 20, no. 12: 903. https://doi.org/10.3390/e20120903
APA StyleChamkha, A. J., Selimefendigil, F., & Oztop, H. F. (2018). MHD Mixed Convection and Entropy Generation in a Lid-Driven Triangular Cavity for Various Electrical Conductivity Models. Entropy, 20(12), 903. https://doi.org/10.3390/e20120903

