Investigation on the Performances of Vuilleumier Cycle Heat Pump Adopting Mixture Refrigerants
Abstract
:1. Introduction
2. Working Principle and Performances Calculation for VM Cycle Heat Pump
2.1. Working Principle
2.2. Performances Calculation Method
3. Performances of Pure Refrigerants in VM Cycle
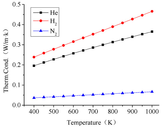
3.1. Properties of Pure Refrigerants
3.2. Properties Variationof Pure Refrigerants
3.3. Performances of Pure Refrigerants
4. Performances for Mixture Refrigerant in VM Cycle
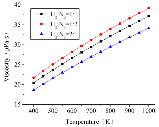
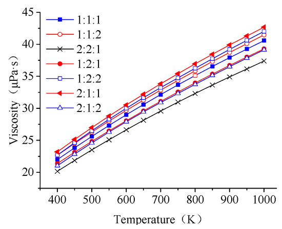
4.1. Properties of Mixture
4.2. Result Analysis
5. Conclusions
- (1)
- For pure refrigerants, helium and hydrogen are similar to each other, better than that of nitrogen. Considering the liable explosion problem of hydrogen, helium is the best choice of pure refrigerant for VM cycle heat pump.
- (2)
- For binary mixture, He-H2 mixture has optimum thermodynamic performance, the recommended ratio is 1:2. The other binary mixture is also an optimum proportion of mixture.
- (3)
- For trinary mixture, at the proportion of He-H2-N2 mixture is 2:2:1, the system has the best COP and exergy efficiency. Furthermore, all the system performances of recommended binary and trinary mixture are close to pure refrigerant helium. For these recommended binary and trinary mixtures, system COPs are close to 3.3 and exergy efficiencies are about 0.2, which are close to pure refrigerant helium.
Acknowledgments
Author Contributions
Conflicts of Interest
Nomenclature
| Symbol | Implication |
| COP | Coefficient of performance |
| Dco | Diameter of cold cylinder |
| Ex,co | Exergy of cold space |
| Ex,h | Exergy of heat space |
| Ex,in | Exergy of fluid inlet |
| Ex,out | Exergy of fluid outlet |
| Pav | Average pressure |
| Pmax | Maximum pressure |
| Pmin | Minimum pressure |
| Qa | Theoretical heating release of warm cylinder |
| Qco | Theoretical heat capacity absorbed by cold cylinder |
| Qh | Theoretical heating absorption of hot cylinder |
| Ta | Temperature of warm space |
| Tco | Temperature of cold space |
| Th | Temperature of hot space |
| Tin | Inlet temperature |
| To | Ambient temperature |
| Tout | Outlet temperature |
| Vco | Travel volume of the cold cylinder |
| Z | Distance of the stroke |
| τ | Temperature ratio |
| τco | Temperature ratio of the cold side |
| τh | Temperature ratio of the hot side |
| φ | Phase angle of volume |
| θ | Pressure phase angle |
| δ | Pressure parameter |
| n | Rotation rate |
| ω | Proportion of volume |
| ηe | Theoretical exergy efficiency |
References
- Wu, Y.Z. Refrigeration and Cryogenic Technology Principle; High Education Press: Beijing, China, 2007; pp. 26–33. [Google Scholar]
- Hachem, H.; Gheith, R.; Aloui, F.; Nasrallah, S.B. Optimization of an air-filled Beta type Stirling refrigerator. Int. J. Refrig. 2017, 76, 296–312. [Google Scholar] [CrossRef]
- Demierre, J.; Favrat, D.; Schiffmann, J.; Wegele, J. Experimental investigation of a Thermally Driven Heat Pump based on a double Organic Rankine Cycle and an oil-free Compressor-Turbine Unit. Int. J. Refrig. 2014, 44, 91–100. [Google Scholar] [CrossRef]
- Xie, Y.B.; Sun, G.L.; Zong, L.X. Thermodynamic analysis in natural gas driven VM cycle heat pump. J. Eng. Thermophys. 2010, 31, 373–376. [Google Scholar]
- Deng, X.D. Investigation on the Application of VM Cycle Heat Pump in Distributed Energy System. Master’s Thesis, North China Electric Power University, Baoding, China, 2016. [Google Scholar]
- Schulz, S.; Thomas, B. Experimental investigation of a free-piston Vuilleumier refrigerator. Int. J. Refrig. 1995, 18, 51–57. [Google Scholar] [CrossRef]
- Xie, Y.B.; Sun, X.J. Thermodynamic analysis of a waste heat driven Vuilleumier cycle heat pump. Entropy 2015, 17, 1452–1465. [Google Scholar] [CrossRef]
- Pan, C.; Chen, L.; Zhou, Y.; Wang, J. CFD simulation and optimize of a 10K VM refrigerator. Phys. Procedia 2015, 67, 479–484. [Google Scholar] [CrossRef]
- Chakravarthy, V.S.; Shah, R.K.; Venkatarathnam, G. A review of refrigeration methods in the temperature range 4–300 K. J. Therm. Sci. Eng. Appli. 2011, 3, 020801. [Google Scholar] [CrossRef]
- Narasimhan, N.L.; Venkatarathnam, G. Effect of mixture composition and hardware on the performance of a single stage JT refrigerator. Cryogenics 2011, 51, 446–451. [Google Scholar] [CrossRef]
- Asadnia, M.; Mehrpooya, M. A novel hydrogen liquefaction process configuration with combined mixed refrigerant systems. Int. J. Hydrogen Energy 2017, 42, 15564–15585. [Google Scholar] [CrossRef]
- Lee, C.; Jin, L.; Park, C.; Jeong, S. Design of non-flammable mixed refrigerant Joule-Thomson refrigerator for precooling stage of high temperature superconducting power cable. Cryogenics 2017, 81, 14–23. [Google Scholar] [CrossRef]
- Lee, J.; Oh, H.; Jeong, S. Investigation of neon–nitrogen mixed refrigerant Joule–Thomson cryocooler operating below 70 K with precooling at 100 K. Cryogenics 2014, 61, 55–62. [Google Scholar] [CrossRef]
- Wang, Q.; Sun, T.; Cui, K. Optimization of the performance of an auto-cascade refrigerator with a liquid-gas separator using environmentally benign binary refrigerants. J. Eng. Thermophys. 2010, 31, 549–552. [Google Scholar]
- Liu, Y.N.; Sun, B.; Yang, G.M. Study on determination method of components in circulating gas liquefaction system of mixed refrigerants. Chem. Eng. Oil Gas 2011, 40, 294–297. [Google Scholar]
- Yin, H.; Sabaua, A.S.; Conklin, J.C.; McFarlane, J.; Qualls, A.L. Mixtures of SF6-CO2 as working fluids for geothermal power plants. Appl. Energy 2013, 106, 243–253. [Google Scholar] [CrossRef]
- Seneviratne, K.N.; Hughes, T.J.; Johns, M.L.; Marsh, K.N.; May, E.F. Surface tension and critical point measurements of methane + propane mixtures. J. Chem. Thermodyn. 2017, 111, 173–184. [Google Scholar] [CrossRef]
- Rivas, C.; Gimeno, B.; Artal, M.; Blanco, S.T.; Fernández, J.; Velasco, I. High-pressure speed of sound in pure CO2 and in CO2 with SO2 as an impurity using methanol as a doping agent. Int. J. Greenh. Gas Control 2016, 2, 731–751. [Google Scholar] [CrossRef]
- Bian, S.X. Miniature Cryogenic Refrigerator; China Machine Press: Beijing, China, 1983; pp. 56–64. [Google Scholar]
- Sun, X.J. Simulation and Optimization on the Performance of VM Cycle Heat Pump System. Master’s Thesis, North China Electric Power University, Baoding, China, 2015. [Google Scholar]
- Xie, Y.B.; Wang, S.H.; Li, B.; Liu, Y. Influences of binary mixtures on the regenerator of VM cycle heat pump. Appl. Mech. Mater. 2011, 52, 249–254. [Google Scholar] [CrossRef]
- Giacobbe, F.W. Heat transfer capability of selected binary gaseous mixtures relative to helium and hydrogen. Appl. Therm. Eng. 1998, 18, 199–206. [Google Scholar] [CrossRef]
- Hosseinnejad, T.; Behnejad, H.; Shahmir, V.H. Calculation of transport properties and intermolecular potential energy function of the binary mixtures of H2, with Ne, Ar, Kr and Xe by a semi-empirical inversion method. Fluid Phase Equilibria 2007, 258, 155–167. [Google Scholar] [CrossRef]






















| Parameter | Symbol, Formula, Basis, Introduction | Value |
|---|---|---|
| Cylinder bore | Dco | 0.0699 m |
| Distance of run | Z | 0.0312 m |
| Phase angle of volume | φ | 90° |
| The length of passing piston | L | 0.04359 m |
| Radial clearance of passing piston | σ | 0.00015 m |
| Diameter of regenerator | DR | 0.0226 m |
| Length of regenerator | LR | 0.0226 m |
| Filler of regenerator | Mesh of stainless steel | — |
| Pressure parameter | δ | 0.3 |
| Mode of driving | Piston driving of single handle, dual power | — |
| Proportion of volume | ω | 10 |
| Rotation rate | n | 600 rpm = 10 Hz |
| Parameter | Symbol, Formula, Basis, Introduction | Value |
|---|---|---|
| Temperature of hot space | Th | 500 K |
| Temperature of warm space | Ta | 340 K |
| Temperature of cold space | Tco | 300 K |
| Ambient temperature | T0 | 273 K |
| Average temperature | 400 K | |
| Average pressure | Pav | 10.0 × 106 Pa |
| Theoretical exergy efficiency | ηe | — |
| Theoretical coefficient of performance | COP | — |
© 2017 by the authors. Licensee MDPI, Basel, Switzerland. This article is an open access article distributed under the terms and conditions of the Creative Commons Attribution (CC BY) license (http://creativecommons.org/licenses/by/4.0/).
Share and Cite
Xie, Y.; Zhong, K. Investigation on the Performances of Vuilleumier Cycle Heat Pump Adopting Mixture Refrigerants. Entropy 2017, 19, 446. https://doi.org/10.3390/e19090446
Xie Y, Zhong K. Investigation on the Performances of Vuilleumier Cycle Heat Pump Adopting Mixture Refrigerants. Entropy. 2017; 19(9):446. https://doi.org/10.3390/e19090446
Chicago/Turabian StyleXie, Yingbai, and Kai Zhong. 2017. "Investigation on the Performances of Vuilleumier Cycle Heat Pump Adopting Mixture Refrigerants" Entropy 19, no. 9: 446. https://doi.org/10.3390/e19090446
APA StyleXie, Y., & Zhong, K. (2017). Investigation on the Performances of Vuilleumier Cycle Heat Pump Adopting Mixture Refrigerants. Entropy, 19(9), 446. https://doi.org/10.3390/e19090446
