Partial Discharge Feature Extraction Based on Ensemble Empirical Mode Decomposition and Sample Entropy
Abstract
1. Introduction
2. Feature Extraction Based on Ensemble Empirical Mode Decomposition and Sample Entropy
2.1. Review of Empirical Mode Decomposition
2.2. Review of Enseble Empirical Mode Decomposition
- (1)
- Add a generated white noise to the original signal x0(t):X(t) = x0(t) + s(t)
- (2)
- Decompose into IMFs cj(t) and a residual rn(t).
- (3)
- Add different white noise to the original signal. Repeat (1) and (2).
- (4)
- Calculate the IMFs component corresponding to the original signal where:
- (5)
- The final signal, x(t), can be decomposed as the following time series:
2.3. Sample Entropy
- (1)
- Construct a m-dimension vector with time series v(t).
- (2)
- Define the distance between m-dimension vectors V(i) and V(j) as:
- (3)
- Given a threshold, r, calculate the ratio between the number of and N − m − 1:where , .
- (4)
- The mean value of is defined as:
- (5)
- As for m + 1, can be obtained using Steps (1)–(4).
- (6)
- The SamEn of the given time series v(t) can be defined as:where N is a finite value, then SamEn can be expressed as:
2.4. Relevance Vector Machine (RVM)
2.5. Feature Extraction Based on Enseble Empirical Mode Decomposition and Sample Entropy
- (1)
- Extract different types of PD signals under different voltage levels in the laboratory environment.
- (2)
- Process the original PD signal with wavelet method to eliminate background interferences.
- (3)
- Decompose de-noised signals with EEMD and obtain a set of IMFs.
- (4)
- Calculate the correlation coefficient, C, of each IMF component with Equation (21).where C is the correlation coefficient between IMFs and the signal, r is the IMF, x represents the original PD signal, and n is the number of IMFs. The larger the value of , the greater the relevance between r and x. If the correlation coefficient C is close to 0, then the linear correlation relationship between r and x is very weak.
- (5)
- Select those IMFs that have a large value of .
- (6)
- Calculate the sample entropy of each extracted IMF.
- (7)
- Load sample entropy vectors into the RVM classifier and obtain the recognition results.
3. Experiment and Analysis
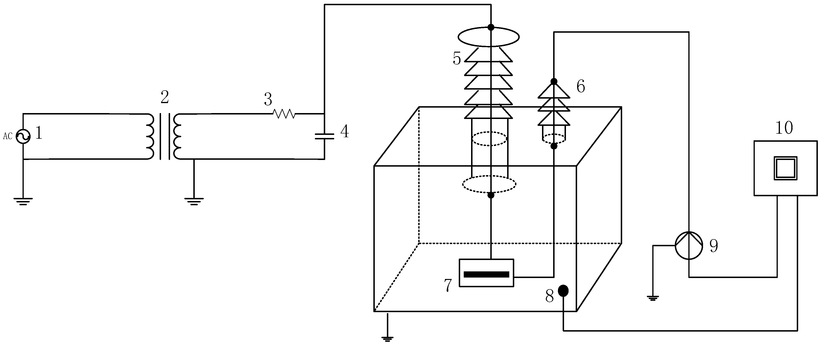
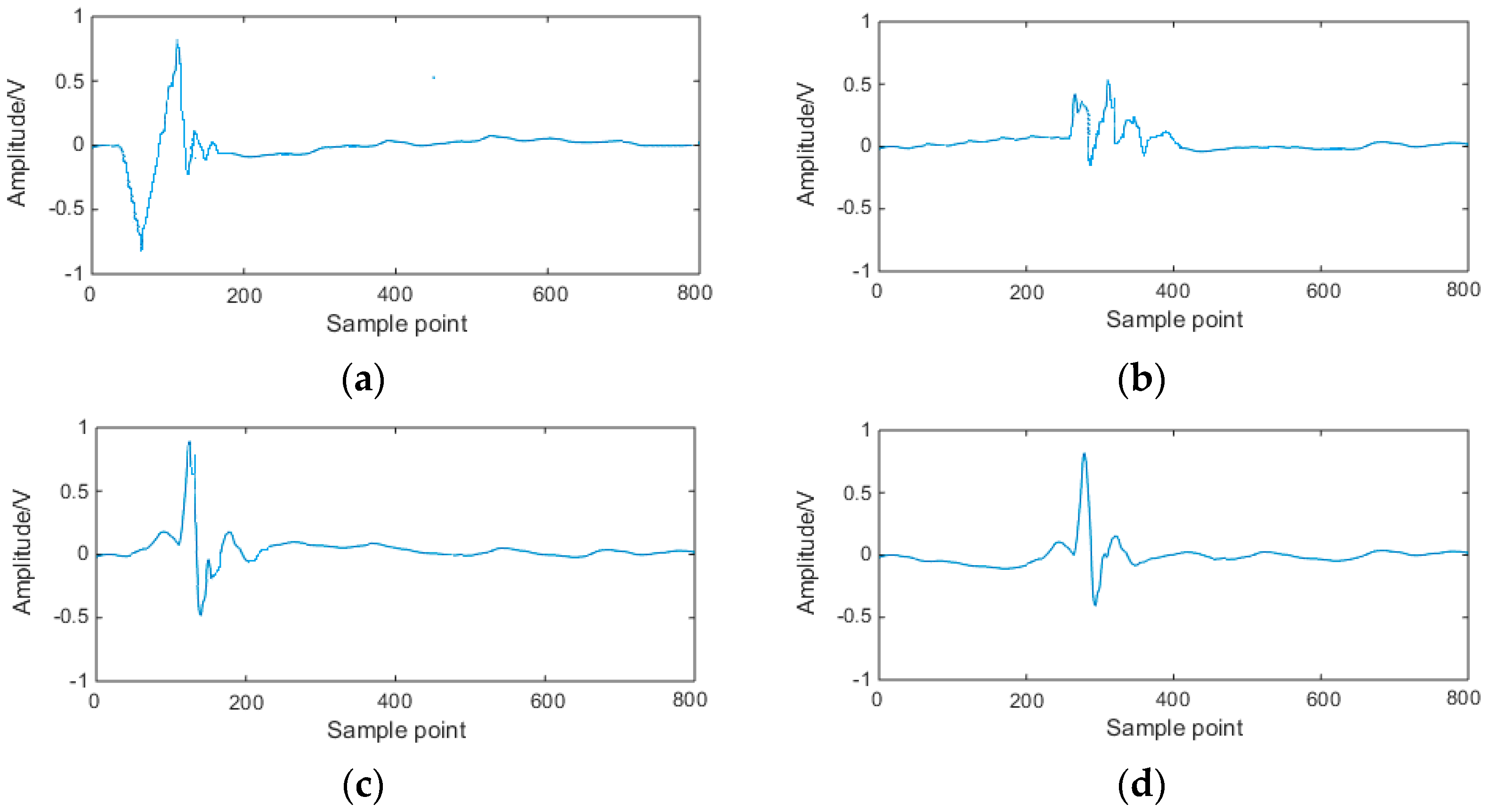
3.1. Signal Extraction
3.2. Signal Processing
3.3. Enseble Empirical Mode Decomposition Decomposition
3.4. IMF Selection
3.5. Sample Entropy Calculation
3.6. Partial Discharge Pattern Recognition Based on Relevance Vector Machine
- (1)
- PD characteristics are obtained in Section 3.5.
- (2)
- PD characteristics are sent to RVM as input vectors which are divided into two parts: training samples and testing samples.
- (3)
- As the One Against One (OAO) classifier is simple and has strong robustness [34], the PD classification model is set as an OAO model. Six classifiers are constructed shown in Table 2. Each classifier is used to distinguish two different PD types. The judging index is set to 0.5. If the output is less than the judging index, then Type 1; otherwise Type 2.
- (4)
- Select proper kernel functions and kernel parameters.
- (5)
- The training samples are applied to train the RVM classification model.
- (6)
- Testing samples are sent to the trained RVM model for testing.
- (7)
- The test results show the final PD classification.
4. Results and Analysis
4.1. Parameter Selection
4.2. Performance Analysis
5. Conclusions
Acknowledgments
Author Contributions
Conflicts of Interest
References
- Kunicki, M.; Cichoń, A.; Borucki, S. Study on Descriptors of Acoustic Emission Signals Generated by Partial Discharges under Laboratory Conditions and in On-Site Electrical Power Transformer. Arch. Acoust. 2016, 41, 265–276. [Google Scholar] [CrossRef]
- Wang, M.H. Partial discharge pattern recognition of current transformers using an ENN. IEEE Trans. Power Deliv. 2017, 11, 1–17. [Google Scholar] [CrossRef]
- Gao, W.; Ding, D.; Liu, W.; Huang, X. Investigation of the Evaluation of the PD Severity and Verification of the Sensitivity of Partial Discharge Detection Using the UHF Method in GIS. IEEE Trans. Power Deliv. 2014, 29, 38–47. [Google Scholar]
- Wang, P.; Montanari, G.; Cavallini, A. Partial Discharge Phenomenology and Induced Aging Behavior in Rotating Machines Controlled by Power Electronics. IEEE Trans. Ind. Electron. 2014, 61, 7105–7112. [Google Scholar] [CrossRef]
- Chu, X.; Zhang, J.W.; Han, G. Partial discharge pattern recognition based on statistical parameters and multi-classifications SVM. Electr. Meas. Instrum. 2015, 52, 35–39. [Google Scholar]
- Ma, Z.; Zhou, C.; Hepburn, D.M.; Cowan, K. Fractal theory based pattern recognition of motor partial discharge. In Proceedings of the International Conference on Condition Monitoring and Diagnosis, Xi’an, China, 25–28 September 2016; pp. 881–884. [Google Scholar]
- Cui, L.; Chen, W.; Xie, B.; Du, J.; Long, Z.; Li, Y. Characteristic information extraction and developing process recognizing method of surface discharge in oil immersed paper insulation. In Proceedings of the IEEE International Conference on High Voltage Engineering and Application, Chengdu, China, 19–22 September 2015; pp. 1–4. [Google Scholar]
- Alvarez, F.; Ortego, J.; Garnacho, F.; Sanchez-Uran, M.A. A clustering technique for partial discharge and noise sources identification in power cables by means of waveform parameters. IEEE Trans. Dielectr. Electr. Insul. 2016, 23, 469–481. [Google Scholar] [CrossRef]
- Tang, J.; Liu, F.; Meng, Q.; Zhang, X.; Tao, J. Partial Discharge Recognition through an Analysis of SF 6 Decomposition Products Part 2: Feature Extraction and Decision Tree-based Pattern Recognition. IEEE Trans. Dielectr. Electr. Insul. 2012, 19, 37–44. [Google Scholar] [CrossRef]
- Huang, N.E.; Shen, Z.; Long, S.R.; Wu, M.C.; Shin, H.H.; Zheng, Q.; Yen, N.-C.; Tung, C.; Liu, H.H. The empirical mode decomposition and the Hilbert spectrum for nonlinear and non-stationary time series analysis. Proc. R. Soc. Lond. A Math. Phys. Sci. 1998, 454, 903–995. [Google Scholar] [CrossRef]
- Boudraa, A.O.; Cexus, J.C. EMD-based Signal Filtering. IEEE Trans. Instrum. Meas. 2007, 56, 2196–2202. [Google Scholar] [CrossRef]
- Wu, Z.; Huang, N.E. Ensemble empirical mode decomposition: A noise-assisted data analysis method. Adv. Adapt. Data Anal. 2009, 1, 1–41. [Google Scholar] [CrossRef]
- Fu, Y.; Jia, L.; Qin, Y.; Yang, J.; Ding, F. Fast EEMD Based AM-Correntropy Matrix and Its Application on Roller Bearing Fault Diagnosis. Entropy 2016, 18, 242. [Google Scholar] [CrossRef]
- Papadaniil, C.D.; Hadjileontiadis, L.J. Efficient Heart Sound Segmentation and Extraction Using Ensemble Empirical Mode Decomposition and Kurtosis Features. IEEE J. Biomed. Health Inform. 2014, 18, 1138–1152. [Google Scholar] [CrossRef] [PubMed]
- Kong, Y.B.; Guo, Y.; Wu, X. Double-impulse feature extraction of faulty hybrid ceramic ball bearings based on EEMD. J. Vib. Shock 2016, 35, 17–22. [Google Scholar]
- Patel, R.; Janawadkar, M.P.; Sengottuvel, S.; Gireesan, K.; Radhakrishnan, T.S. Effective Extraction of Visual Event-Related Pattern by Combining Template Matching With Ensemble Empirical Mode Decomposition. IEEE Sens. J. 2017, 17, 2146–2153. [Google Scholar] [CrossRef]
- Richman, J.S.; Lake, D.E.; Moorman, J.R. Sample Entropy. Methods Enzymol. 2004, 384, 172–184. [Google Scholar] [PubMed]
- Widodo, A.; Shim, M.C.; Caesarendra, W.; Yang, B.-S. Intelligent prognostics for battery health monitoring based on sample entropy. Expert Syst. Appl. 2011, 38, 11763–11769. [Google Scholar] [CrossRef]
- Mei, Z.; Ivanov, K.; Zhao, G.; Li, H.; Wang, L. An explorative investigation of functional differences in plantar center of pressure of four foot types using sample entropy method. Med. Biol. Eng. Comput. 2017, 55, 1–12. [Google Scholar] [CrossRef] [PubMed]
- Majidi, M.; Fadali, M.S.; Etezadi-Amoli, M.; Oskuoee, M. Partial discharge pattern recognition via sparse representation and ANN. IEEE Trans. Dielectr. Electr. Insul. 2015, 22, 1061–1070. [Google Scholar] [CrossRef]
- Mota, H.D.O.; Vasconcelos, F.H.; Castro, C.L.D. A comparison of cycle spinning versus stationary wavelet transform for the extraction of features of partial discharge signals. IEEE Trans. Dielectr. Electr. Insul. 2016, 23, 1106–1118. [Google Scholar] [CrossRef]
- Glowacz, A. Recognition of acoustic signals of induction motor using FFT, SMOFS-10 and LSVM. Maint. Reliab. 2015, 17, 569–574. [Google Scholar] [CrossRef]
- Tipping, M.E. Sparse Bayesian learning and the relevance vector machine. J. Mach. Learn. Res. 2001, 1, 211–244. [Google Scholar]
- Nguyen, D.D.; Le, H.S. Kinect Gesture Recognition: SVM vs. RVM. In Proceedings of the Seventh IEEE International Conference on Knowledge and Systems Engineering, Hanoi, Vietnam, 6–8 October 2016; pp. 395–400. [Google Scholar]
- Liu, Z.; Guo, W.; Tang, Z.; Chen, Y. Multi-Sensor Data Fusion Using a Relevance Vector Machine Based on an Ant Colony for Gearbox Fault Detection. Sensors 2015, 15, 21857–21875. [Google Scholar] [CrossRef] [PubMed]
- Hwang, S.; Jeong, M.K. Robust relevance vector machine for classification with variational inference. Ann. Oper. Res. 2015, 1–23. [Google Scholar] [CrossRef]
- MacKay, D.J.C. Bayesian interpolation. Neural Comput. 1992, 4, 415–447. [Google Scholar] [CrossRef]
- Gutten, M.; Korenciak, D.; Kucera, M.; Sebok, M.; Opielak, M.; Zukowski, P.; Koltunowicz, T.N. Maintenance diagnostics of transformers considering the influence of short-circuit currents during operation. Maint. Reliab. 2017, 19, 459–466. [Google Scholar] [CrossRef]
- Yang, Q.; Su, P.; Chen, Y. Comparison of Impulse Wave and Sweep Frequency Response Analysis Methods for Diagnosis of Transformer Winding Faults. Energies 2017, 10, 431. [Google Scholar] [CrossRef]
- Glowacz, A. DC Motor Fault Analysis with the Use of Acoustic Signals, Coiflet Wavelet Transform, and K-Nearest Neighbor Classifier. Arch. Acoust. 2015, 40, 321–327. [Google Scholar] [CrossRef]
- Shang, H.K.; Yuan, J.S.; Wang, Y.; Jin, S. Application of Wavelet Footprints Based on Translation-Invariant in Partial Discharge Signal Detection. Trans. China Electrotech. Soc. 2013, 28, 33–40. [Google Scholar]
- Altay, Ö.; Kalenderli, Ö. Wavelet base selection for de-noising and extraction of partial discharge pulses in noisy environment. IET Sci. Meas. Technol. 2015, 9, 276–284. [Google Scholar] [CrossRef]
- Pincus, S.M. Assessing serial irregularity and its implications for health. Ann. N. Y. Acad. Sci. 2001, 954, 245–267. [Google Scholar] [CrossRef] [PubMed]
- Liu, C.Y. Research and Application on the Multi-classification of Relevance Vector Machine Algorithm. Ph.D. Thesis, Harbin Engineering University, Harbin, China, 2013. [Google Scholar]
- Glowacz, A.; Glowacz, Z. Diagnosis of the three-phase induction motor using thermal imaging. Infrared Phys. Technol. 2016, 81, 7–16. [Google Scholar] [CrossRef]
- Kusy, M.; Zajdel, R. Application of Reinforcement Learning Algorithms for the Adaptive Computation of the Smoothing Parameter for Probabilistic Neural Network. IEEE Trans. Neural Netw. Learn. Syst. 2015, 26, 2163–2175. [Google Scholar] [CrossRef] [PubMed]
- Alcaraz, R.; Vaya, C.; Cervigon, R.; Sanchez, C.; Rieta, J.J. Wavelet sample entropy: A new approach to predict termination of atrial fibrillation. In Proceedings of the 2006 Computers in Cardiology, Valencia, Spain, 17–20 September 2006; pp. 597–600. [Google Scholar]


















| Partial Discharge (PD) Types | Initial Voltage/kV | Breakdown Voltage/kV | Testing Voltage/kV | Sample Number |
|---|---|---|---|---|
| Floating Discharge | 2 | 7 | 3/4/5 | 20/20/20 |
| Needle-Plate Discharge | 8.8 | 12 | 9/10/11 | 20/20/20 |
| Surface Discharge | 3 | 10 | 5/6/7 | 20/20/20 |
| Air-Gap Discharge | 5 | 10 | 6/7/8 | 20/20/20 |
| PD Types | RVM1 | RVM2 | RVM3 | RVM4 | RVM5 | RVM6 |
|---|---|---|---|---|---|---|
| Floating Discharge | ≥0.5 | ≥0.5 | ≥0.5 | - | - | - |
| Surface Discharge | <0.5 | - | - | ≥0.5 | ≥0.5 | |
| Air-gap Discharge | - | <0.5 | - | ≥0.5 | - | <0.5 |
| Needle-plate Discharge | - | - | <0.5 | <0.5 | <0.5 | - |
| Classifiers | Input Layer Node Number | Hidden Layer Node Number | Output Layer Node Number |
|---|---|---|---|
| Back Propagation Neural Network (BPNN) | 3 | 4 | 4 |
| Neural Network (PNN) | 3 | * | 4 |
| Kernel Functions | Recognition Accuracy (%) | |
|---|---|---|
| Support Vector Machine (SVM) | Relevance Vector Machine (RVM) | |
| Linear | 80.00 | 83.33 |
| Polynomial | 86.67 | 90.00 |
| Radial Basis Function | 96.67 | 93.33 |
| Sigmoid | 93.33 | 100.00 |
| Classifiers | Training Time/Second | Testing Time/Second | Vector Numbers | Recognition Accuracy (%) |
|---|---|---|---|---|
| SVM1 | 0.0632 | 0.002 | 11 | 86.67 |
| RVM1 | 0.0405 | 9.02 × 10−4 | 9 | 86.67 |
| SVM2 | 0.0528 | 0.0018 | 13 | 93.33 |
| RVM2 | 0.0261 | 6.68 × 10−4 | 7 | 96.67 |
| SVM3 | 0.0578 | 0.0015 | 11 | 96.67 |
| RVM3 | 0.0355 | 8.92 × 10−4 | 6 | 96.67 |
| SVM4 | 0.0738 | 0.0061 | 14 | 90.00 |
| RVM4 | 0.0112 | 7.14 × 10−4 | 8 | 90.00 |
| SVM5 | 0.0343 | 0.0016 | 13 | 93.33 |
| RVM5 | 0.0205 | 6.90 × 10−4 | 7 | 93.33 |
| SVM6 | 0.0669 | 0.0086 | 15 | 96.67 |
| RVM6 | 0.0272 | 8.81 × 10−4 | 8 | 100.00 |
| Feature Types | Training Samples | Testing Samples | Recognition Accuracy (%) | Running Time/Second |
|---|---|---|---|---|
| Waveform Features | 120 | 120 | 86.67 | 6.85 × 10−4 |
| Statistics Parameters | 120 | 120 | 96.67 | 3.51 × 10−3 |
| W-SamEn | 120 | 120 | 90.83 | 1.68 × 10−3 |
| EMD-SamEn | 120 | 120 | 96.67 | 7.28 × 10−4 |
| EEMD-SamEn | 120 | 120 | 100.00 | 7.32 × 10−4 |
© 2017 by the authors. Licensee MDPI, Basel, Switzerland. This article is an open access article distributed under the terms and conditions of the Creative Commons Attribution (CC BY) license (http://creativecommons.org/licenses/by/4.0/).
Share and Cite
Shang, H.; Lo, K.L.; Li, F. Partial Discharge Feature Extraction Based on Ensemble Empirical Mode Decomposition and Sample Entropy. Entropy 2017, 19, 439. https://doi.org/10.3390/e19090439
Shang H, Lo KL, Li F. Partial Discharge Feature Extraction Based on Ensemble Empirical Mode Decomposition and Sample Entropy. Entropy. 2017; 19(9):439. https://doi.org/10.3390/e19090439
Chicago/Turabian StyleShang, Haikun, Kwok Lun Lo, and Feng Li. 2017. "Partial Discharge Feature Extraction Based on Ensemble Empirical Mode Decomposition and Sample Entropy" Entropy 19, no. 9: 439. https://doi.org/10.3390/e19090439
APA StyleShang, H., Lo, K. L., & Li, F. (2017). Partial Discharge Feature Extraction Based on Ensemble Empirical Mode Decomposition and Sample Entropy. Entropy, 19(9), 439. https://doi.org/10.3390/e19090439
