Multiscale Cross-Approximate Entropy Analysis of Bilateral Fingertips Photoplethysmographic Pulse Amplitudes among Middle-to-Old Aged Individuals with or without Type 2 Diabetes
Abstract
:1. Introduction
2. Methods
2.1. Study Population
2.2. Study Protocol
2.3. Calculation of PPG Pulse Amplitudes Series from Bilateral Fingertips
2.4. C-ApEn of Bilateral Fingertips PPG Pulse Amplitudes
- Step 1. For a given m, for two sets of m-vectors,x(i) ≡ [nPPGAL (i) nPPGAL (i + 1) ⋅⋅⋅ nPPGAL (i + m − 1)], 1 ≤ i ≤ N − m + 1, i ∈ N
y(j) ≡ [nPPGAR (j) nPPGAR (j + 1) ⋅⋅⋅nPPGAR (j + m − 1)], 1 ≤ j ≤ N − m + 1, j ∈ N. - Step 2. Define the distance between the vectors x(i) and y(j) as the maximum absolute difference between their corresponding elements as follows:
- Step 3. With the given matrix x(i) which refers to nPPGAL (where i = 1 to N − m + 1), find the value of d[x(i), y(j)] (where j = 1 to N − m + 1) that is smaller than or equal to r and the ratio of this number to the total number of m-vectors (N − m + 1). That is, let equal the number of y(j) satisfying the requirement d[x(i), y(j)] ≦ r; thenmeasures the frequency of the m-point nPPGAR pattern being similar (within a tolerance of ±r) to the m-point nPPGAL pattern formed by x(i).
- Step 4. Average the logarithm of over i to obtain as follows:
- Step 5. Increase m by 1 and repeat Steps 1–4 to obtain and .
- Step 6. Finally, take . For N-point data, the estimate iswhere m represents the chosen vector dimension, r represents a tolerance range, and N is the data length. From Pincus’s publication, in order to effectively distinguish two data series by cross-approximate entropy, it would be better to set N ≥ 1000, m ≥ 2, and r ≥ 0.1 [17]. To ensure efficiency and accuracy of calculation, the parameters of this study were set at N = 1500, m = 2, and r = 0.15 multiplied by the standard deviation of the time series of nPPGAL.
2.5. Multiple Temporal Scale Analysis Used in MC-ApEn
2.6. MSE of Unilateral Fingertip PPGA Pulse Amplitude
2.7. Statistical Analysis
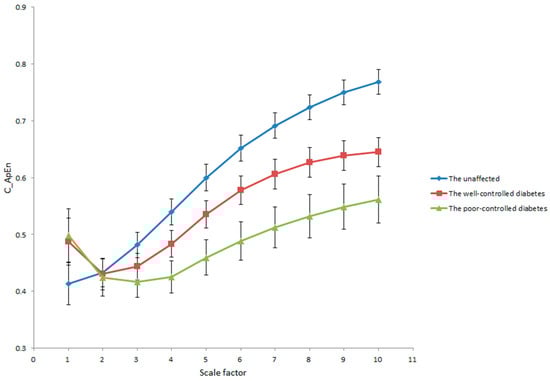
3. Results
MC-ApEn in the Three Age-Matched Groups for a Sensitivity Test
4. Discussion
Supplementary Materials
Acknowledgments
Author Contributions
Conflicts of Interest
References
- Blacher, J.; Guerin, A.P.; Pannier, B.; Marchais, S.J.; Safar, M.E.; London, G.M. Impact of aortic stiffness on survival in end-stage renal disease. Circulation 1999, 99, 2434–2439. [Google Scholar] [CrossRef] [PubMed]
- Kimura, A.; Hashimoto, J.; Watabe, D.; Takahashi, H.; Ohkubo, T.; Kikuya, M.; Imai, Y. Patient characteristics and factors associated with inter-arm difference of blood pressure measurements in a general population in Ohasama, Japan. J. Hypertens. 2004, 22, 2277–2283. [Google Scholar] [CrossRef] [PubMed]
- Clark, C.E.; Taylor, R.S.; Shore, A.C.; Ukoumunne, O.C.; Campbell, J.L. Association of a difference in systolic blood pressure between arms with vascular disease and mortality: A systematic review and meta-analysis. Lancet 2012, 379, 905–914. [Google Scholar] [CrossRef]
- Task Force for the management of arterial hypertension of the European Society of Cardiology. 2013 ESH/ESC guidelines for the management of arterial hypertension. Blood Press. 2013, 22, 193–278. [Google Scholar]
- Sun, C.K. Cardio-ankle vascular index (CAVI) as an indicator of arterial stiffness. Integr. Blood. Press. Control 2013, 6, 27. [Google Scholar] [CrossRef] [PubMed]
- McEniery, C.M.; O’Shaughnessy, K.M.; Harnett, P.; Harnett, P.; Arshad, A.; Wallace, S.; Maki-Petaja, K.; McDonnell, B.; Ashby, M.J.; Brown, J.; et al. Variation in the human matrix metalloproteinase-9 gene is associated with arterial stiffness in healthy individuals. Arterioscler. Thromb. Vasc. Biol. 2006, 26, 1799–1805. [Google Scholar]
- Corman, B.; Duriez, M.; Poitevin, P.; Heudes, D.; Bruneval, P.; Tedgui, A.; Levy, B.I. Aminoguanidine prevents age-related arterial stiffening and cardiac hypertrophy. Proc. Natl. Acad. Sci. USA 1998, 95, 1301–1306. [Google Scholar] [CrossRef] [PubMed]
- Pincus, S.M. Approximate entropy in cardiology. Herzschrittmachertherapie und Elektrophysiologie 2000, 11, 139–150. [Google Scholar] [CrossRef]
- Wu, H.T.; Liu, C.C.; Lo, M.T.; Hsu, P.C.; Liu, A.B.; Chang, K.Y.; Tang, C.J. Multiscale cross-approximate entropy analysis as a measure of complexity among the aged and diabetic. Comput. Math. Methods Med. 2013, 2013, 324325. [Google Scholar] [CrossRef] [PubMed]
- Wu, H.T.; Lee, C.Y.; Liu, C.C.; Liu, A.B. Multiscale cross-approximate entropy analysis as a measurement of complexity between ECG R-R interval and PPG pulse amplitude series among the normal and diabetic subjects. Comput. Math. Methods Med. 2013, 2013, 231762. [Google Scholar] [CrossRef] [PubMed]
- Liu, A.B.; Hsu, P.C.; Chen, Z.L.; Wu, H.T. Measuring pulse wave velocity using ECG and photoplethysmography. J. Med. Syst. 2011, 35, 771–777. [Google Scholar] [CrossRef] [PubMed]
- Wu, H.T.; Hsu, P.C.; Liu, A.B.; Chen, Z.L.; Huang, R.M.; Chen, C.P.; Tang, C.J.; Sun, C.K. Six-channel ECG-based pulse wave velocity for assessing whole-body arterial stiffness. Blood Press. 2012, 21, 167–176. [Google Scholar] [CrossRef] [PubMed]
- Wu, Z.; Huang, N.E.; Long, S.R.; Peng, C.K. On the trend, detrending, and variability of nonlinear and nonstationary time series. Proc. Natl. Acad. Sci. USA 2007, 104, 14889–14894. [Google Scholar] [CrossRef] [PubMed]
- Huang, N.E.; Shen, Z.; Long, S.R.; Wu, M.C.; Shih, H.H.; Zheng, Q.; Yen, N.C.; Tung, C.C.; Liu, H.H. The empirical mode decomposition and the Hubert spectrum for nonlinear and non-stationary time series analysis. Proc. R. Soc. A 1998, 454, 903–995. [Google Scholar] [CrossRef]
- Kreuzer, M.; Hentschke, H.; Antkowiak, B.; Schwarz, C.; Kochs, E.F.; Schneider, G. Cross-approximate entropy of cortical local field potentials quantifies effects of anesthesia—A pilot study in rats. BMC Neurosci. 2010, 11, 122. [Google Scholar] [CrossRef] [PubMed]
- Pincus, S.; Singer, B.H. Randomness and degrees of irregularity. Proc. Natl. Acad. Sci. USA 1996, 93, 2083–2088. [Google Scholar] [CrossRef] [PubMed]
- Pincus, S.M. Irregularity and asynchrony in biologic network signals. Methods Enzymol. 2000, 321, 149–182. [Google Scholar] [PubMed]
- Yang, F.; Hong, B.; Tang, Q. Approximate entropy and its application to biosignal analysis. Nonlinear Biomed. Signal Process. 2001, 2, 72–79. [Google Scholar]
- Cheng, D.; Tsai, S.J.; Hong, C.J.; Yang, A.C. Reduced physiological complexity in robust elderly adults with the APOE epsilon4 allele. PLoS ONE 2009, 4, e7733. [Google Scholar] [CrossRef] [PubMed]
- Lin, G.M.; Haryadi, B.; Yang, C.M.; Chu, S.C.; Yang, C.C.; Wu, H.T. Discrepancies between conventional multiscale entropy and modified short-time multiscale entropy of photoplethysmographic pulse signals in middle- and old-aged individuals with or without diabetes. Entropy 2017, 19, 132. [Google Scholar] [CrossRef]
- Currens, J.; Mcginty, J.; Khambatta, R.; Gordon, I. The effect of intravenous protoveratrine on digital pulse volume and digital skin temperature in hypertensive patients. Circulation 1955, 11, 440–446. [Google Scholar] [CrossRef] [PubMed]
- Wu, H.T.; Liu, C.C.; Lin, P.H.; Chung, H.M.; Liu, M.C.; Yip, H.K.; Liu, A.B.; Sun, C.K. Novel application of parameters in waveform contour analysis for assessing arterial stiffness in aged and atherosclerotic subjects. Atherosclerosis 2010, 213, 173–177. [Google Scholar] [CrossRef] [PubMed]
- Shadman, R.; Criqui, M.H.; Bundens, W.P.; Fronek, A.; Denenberg, J.O.; Gamst, A.C.; McDermott, M.M. Subclavian artery stenosis: Prevalence, risk factors, and association with cardiovascular diseases. J. Am. Coll. Cardiol. 2004, 44, 618–623. [Google Scholar] [CrossRef] [PubMed]
- Costa, M.; Goldberger, A.L.; Peng, C.K. Multiscale entropy analysis of complex physiologic time series. Phys. Rev. Lett. 2002, 89, 068102. [Google Scholar] [CrossRef] [PubMed]
- Trunkvalterova, Z.; Javorka, M.; Tonhajzerova, I.; Javorkova, J.; Lazarova, Z.; Javorka, K.; Baumert, M. Reduced short-term complexity of heart rate and blood pressure dynamics in patients with diabetes mellitus type 1: Multiscale entropy analysis. Physiol. Meas. 2008, 29, 817–828. [Google Scholar] [CrossRef] [PubMed]
- Schultz-Ehrenburg, U.; Blazek, V. Value of quantitative photoplethysmography for functional vascular diagnostics. Skin Pharmacol. Physiol. 2001, 14, 316–323. [Google Scholar] [CrossRef]


| Unaffected | Diabetes, HbA1c <8% | Diabetes, HbA1c ≥8% | |
|---|---|---|---|
| n = 36 | n = 30 | n = 26 | |
| Men (%) | 15 (41.7%) | 18 (60%) | 15 (57.7%) |
| Age, y | 55.08 | 67.93 ++ | 60.73 *,a |
| Height, cm | 161.44 | 161.868.68 | 161.35 |
| Weight, kg | 63.99 | 70.3213.76 | 73.27 * |
| Waist circumference, cm | 83.73 | 93.5210.29 ++ | 95.6 ** |
| BMI, kg/m2 | 24.43 | 26.176.04 | 28.18 * |
| SBP, mmHg | 120.77 | 122.2815.59 | 121.89 |
| DBP, mmHg | 75.77 | 72.5210.71 | 72.96 |
| Pulse pressure, mmHg | 43.75 | 49.7611.31 | 48.92 |
| Total Cholesterol, mg/dL | 193.67 | 167.4227.18 | 198.6 a |
| Triglycerides mg/dL | 111.44 | 123.0843.89 | 169.54 *,a |
| HDL-Cholesterol, mg/dL | 49.94 | 40.6510.84 + | 40.25 * |
| LDL-Cholesterol, mg/dL | 116.14 | 95.0423.59 + | 122.61 a |
| Cholesterol/HDL ratio | 4.24 | 4.64 + | 5.09 * |
| FPG, mg/dL | 104.9421.996 | 124.9222.98 + | 176.1760.595 **,aa |
| HbA1c, % | 5.940.41 | 7.160.38 ++ | 9.541.73 **,aa |
| ECG-PWV, cm/s | 5.310.33 | 5.710.21 + | 5.750.49 * |
| MSEss | 1.23 | 1.12 | 1.14 |
| MSELS | 1.56 | 1.39 | 1.32 * |
| MC-ApEnSS | 0.48 | 0.47 | 0.45 |
| MC-ApEnLS | 0.70 | 0.62 + | 0.53 **,a |
| MC-ApEnAVERAGE | MC-ApEnSS | MC-ApEnLS | ||||
|---|---|---|---|---|---|---|
| r | p | r | p | r | p | |
| Age, year | −0.051 | 0.626 | 0.058 | 0.580 | −0.126 | 0.233 |
| Height, cm | −0.020 | 0.851 | 0.024 | 0.825 | −0.049 | 0.645 |
| Weight, kg | −0.246 | 0.019 | −0.148 | 0.162 | −0.268 | 0.010 |
| Waist circumstance, cm | −0.262 | 0.013 | −0.144 | 0.178 | −0.296 | 0.005 |
| BMI, kg/m2 | −0.282 | 0.007 | −0.232 | 0.027 | −0.259 | 0.013 |
| SBP, mmHg | 0.046 | 0.665 | 0.136 | 0.203 | −0.032 | 0.761 |
| DBP, mmHg | 0.092 | 0.387 | 0.045 | 0.673 | 0.108 | 0.309 |
| Pulse pressure, mmHg | −0.029 | 0.788 | 0.149 | 0.160 | −0.159 | 0.133 |
| HbA1c, % | −0.316 | 0.002 | −0.124 | 0.238 | −0.397 | <0.001 |
| Total cholesterol, mg/dL | 0.050 | 0.649 | 0.055 | 0.619 | 0.036 | 0.743 |
| Triglycerides, mg/dL | −0.189 | 0.085 | −0.072 | 0.516 | −0.237 | 0.030 |
| HDL-Cholesterol, mg/dL | 0.129 | 0.244 | 0.058 | 0.601 | 0.157 | 0.157 |
| LDL-Cholesterol, mg/dL | 0.046 | 0.682 | 0.001 | 0.991 | 0.071 | 0.528 |
| FPG, mg/dL | −0.210 | 0.058 | −0.049 | 0.665 | −0.291 | 0.008 |
| Cholesterol/HDL-C | −0.018 | 0.871 | 0.039 | 0.728 | −0.058 | 0.603 |
| ECG-PWV, cm/s | −0.309 | 0.056 | −0.071 | 0.669 | −0.423 | 0.007 |
© 2017 by the authors. Licensee MDPI, Basel, Switzerland. This article is an open access article distributed under the terms and conditions of the Creative Commons Attribution (CC BY) license (http://creativecommons.org/licenses/by/4.0/).
Share and Cite
Wu, H.-T.; Yang, C.-C.; Lin, G.-M.; Haryadi, B.; Chu, S.-C.; Yang, C.-M.; Sun, C.-K. Multiscale Cross-Approximate Entropy Analysis of Bilateral Fingertips Photoplethysmographic Pulse Amplitudes among Middle-to-Old Aged Individuals with or without Type 2 Diabetes. Entropy 2017, 19, 145. https://doi.org/10.3390/e19040145
Wu H-T, Yang C-C, Lin G-M, Haryadi B, Chu S-C, Yang C-M, Sun C-K. Multiscale Cross-Approximate Entropy Analysis of Bilateral Fingertips Photoplethysmographic Pulse Amplitudes among Middle-to-Old Aged Individuals with or without Type 2 Diabetes. Entropy. 2017; 19(4):145. https://doi.org/10.3390/e19040145
Chicago/Turabian StyleWu, Hsien-Tsai, Cheng-Chan Yang, Gen-Min Lin, Bagus Haryadi, Shiao-Chiang Chu, Chieh-Ming Yang, and Cheuk-Kwan Sun. 2017. "Multiscale Cross-Approximate Entropy Analysis of Bilateral Fingertips Photoplethysmographic Pulse Amplitudes among Middle-to-Old Aged Individuals with or without Type 2 Diabetes" Entropy 19, no. 4: 145. https://doi.org/10.3390/e19040145
APA StyleWu, H.-T., Yang, C.-C., Lin, G.-M., Haryadi, B., Chu, S.-C., Yang, C.-M., & Sun, C.-K. (2017). Multiscale Cross-Approximate Entropy Analysis of Bilateral Fingertips Photoplethysmographic Pulse Amplitudes among Middle-to-Old Aged Individuals with or without Type 2 Diabetes. Entropy, 19(4), 145. https://doi.org/10.3390/e19040145

