Thermal Ratchet Effect in Confining Geometries
1
Charles University, Faculty of Mathematics and Physics, Department of Macromolecular Physics, V Holesovickach 2, 18000 Praha, Czech Republic
2
Complexity Science Group, Department of Physics & Astronomy, University of Calgary, Calgary, AB T2N 1N4, Canada
3
Department of Physics, University of Zanjan, 45196-311 Zanjan, Iran
4
Bradley Plasma Lab, Department of Physics & Engineering Physics, University of Saskatchewan, Saskatchewan, SK S7N 5E2, Canada
*
Author to whom correspondence should be addressed.
Academic Editors: Giancarlo Franzese, Ivan Latella and Miguel Rubi
Entropy 2017, 19(4), 119; https://doi.org/10.3390/e19040119
Received: 31 January 2017 / Revised: 6 March 2017 / Accepted: 8 March 2017 / Published: 23 March 2017
(This article belongs to the Special Issue Nonequilibrium Phenomena in Confined Systems)
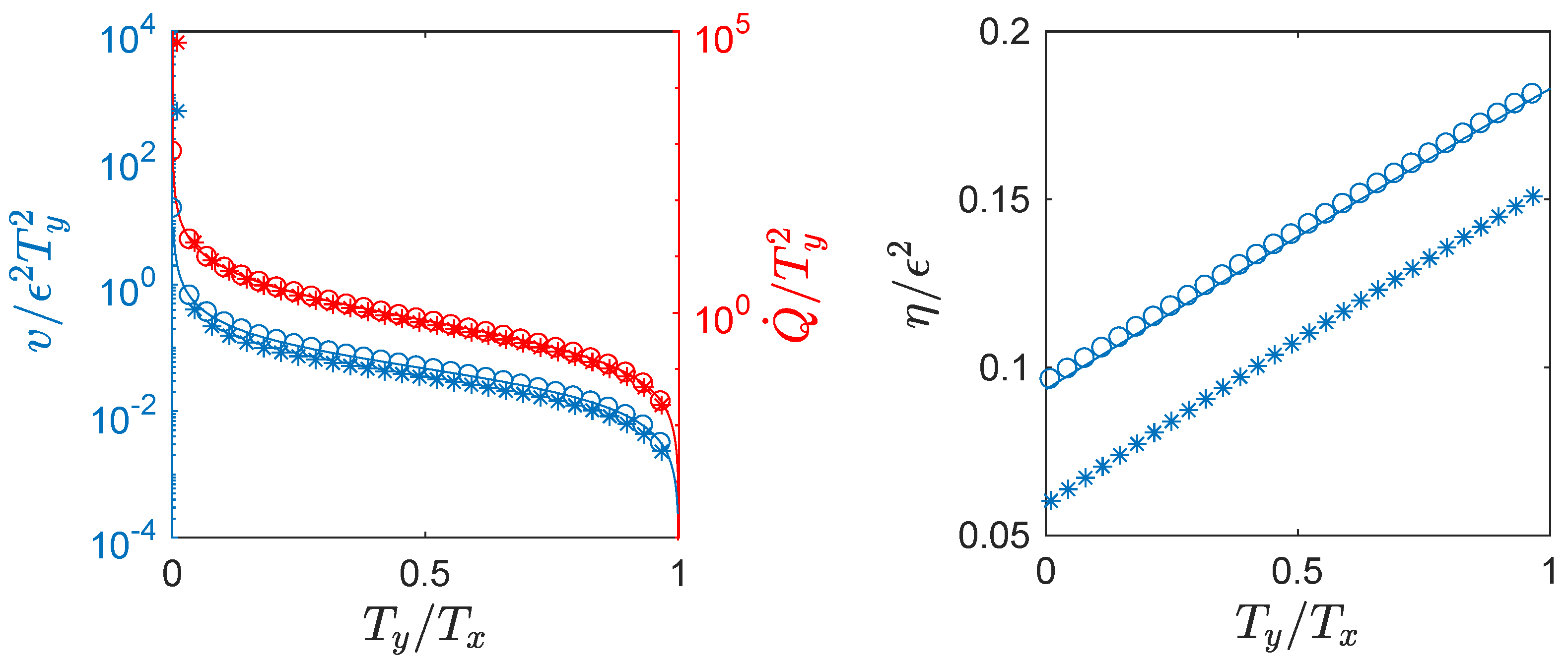
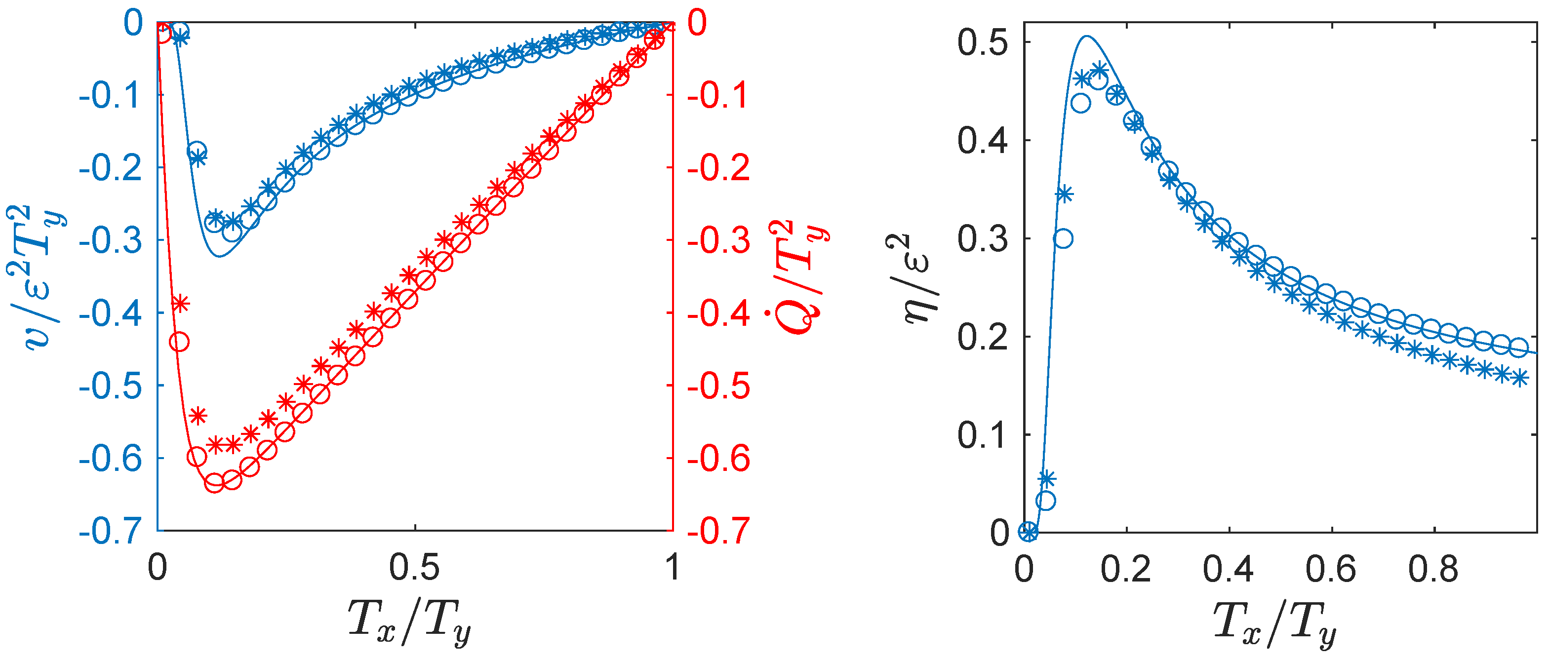
The stochastic model of the Feynman–Smoluchowski ratchet is proposed and solved using generalization of the Fick–Jacobs theory. The theory fully captures nonlinear response of the ratchet to the difference of heat bath temperatures. The ratchet performance is discussed using the mean velocity, the average heat flow between the two heat reservoirs and the figure of merit, which quantifies energetic cost for attaining a certain mean velocity. Limits of the theory are tested comparing its predictions to numerics. We also demonstrate connection between the ratchet effect emerging in the model and rotations of the probability current and explain direction of the mean velocity using simple discrete analogue of the model.
View Full-Text
▼
Show Figures
This is an open access article distributed under the Creative Commons Attribution License which permits unrestricted use, distribution, and reproduction in any medium, provided the original work is properly cited
MDPI and ACS Style
Holubec, V.; Ryabov, A.; Yaghoubi, M.H.; Varga, M.; Khodaee, A.; Foulaadvand, M.E.; Chvosta, P. Thermal Ratchet Effect in Confining Geometries. Entropy 2017, 19, 119.
Show more citation formats
Note that from the first issue of 2016, MDPI journals use article numbers instead of page numbers. See further details here.
Search more from Scilit


