Testing the Beta-Lognormal Model in Amazonian Rainfall Fields Using the Generalized Space q-Entropy
Abstract
1. Introduction
1.1. Statistical Scaling and Multiplicative Random Cascades
1.2. Multiplicative Random Cascades and the Beta-LogNormal Model
1.3. q-Entropy
“An entropy of a system or of a subsystem is said extensive if, for a large number N of its elements (probabilistically independent or not), the entropy is (asymptotically) proportional to N. Otherwise, it is nonextensive. This means that extensivity depends on both the mathematical form of the entropic functional and the possible correlations existing between the elements of the system. Consequently, for a (sub)system whose elements are either independent or weakly correlated, the additive entropy S is extensive, whereas the nonadditive entropy () is nonextensive. In contrast, however, for a (sub)system whose elements are generically strongly correlated, the additive entropy S can be nonextensive, whereas the nonadditive entropy () can be extensive for a special value of q.”
1.4. Generalized Space-Time q-Entropy in Rainfall Data
- decreases monotonically with q for all values of T.
- For a given value of q, estimates are inversely related to T for , but directly related for .
- Estimates of recover the standard entropy for different values of T.
- Estimates of increase with T for values of , up to a certain saturation value (maximum q-entropy).
- The function vs. T in log–log space, for different values of q, can be considered an (time) entropy analogous of the (space) structure function in turbulence [54].
- The scaling exponents, , or the slope of the relation vs. T in log–log space, for different values of q, exhibit a non-linear growth with q, such that for . This result allowed extending the conclusions from the standard Shannon entropy to the generalized q-entropy.
- The scaling exponents of saturation, , are different in time and space for hydrological data, such as time series of rainfall, for which , for time series of streamflows, for which , and for the spatial analysis of radar rainfall fields in Amazonia, for which .
- Poveda [28] studied the time scaling properties of tropical rainfall in the Andes of Colombia upon temporal aggregation and introduced the Generalized Time q-Entropy Function (GTEF), as a time analogous for q-entropy of the structure function in turbulence [54]. He showed that the scaling exponents, of the relation vs. T in log–log space, for different values of q, exhibit a non-linear growth with q up to for , putting forward the conjecture that the time dependent q-entropy, with , for .
- Salas and Poveda [30] revisited results reported in [28], and analyzed the time scaling properties of Shannon’s entropy for the same data set in terms of the sensitivity to the record length, and the effect of zeros in rainfall data, and proposed the GTEF to study the scaling properties of river flows. They highlighted two important results: (i) The scaling characteristics of Shannon’s entropy differ between rainfall and streamflows owing to the presence of zeros in rainfall series; and (ii) the GTEF exhibits multi-scaling for rainfall and streamflows. For rainfall, the relation vs. T in log–log space for different values of q, exhibits a non-linear growth with q, up to for , in contrast to the scaling properties of river flows which exhibit a non-linear growth with q, up to for .
- Poveda and Salas [31] studied diverse topics such as statistical scaling, Shannon entropy and Space-Time Generalized q-Entropy of Mesoscale Convective Systems (MCS) as seen by the Tropical Rainfall Measuring Mission (TRMM) over continental and oceanic regions of tropical South America, and in Amazonian radar rainfall fields. The main result of their study is that both the GTEF and GSEF exhibit linear growth in the range , and saturation of the exponent for , but for the spatial analysis (GSEF) the exponent tappers off at 1.0, whereas for the temporal analysis (GTEF) the exponent saturates at 0.5. In addition, results are similar for time series extracted from radar rainfall fields in Amazonia (radar S-POL) and in-situ rainfall series in the tropical Andes.
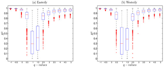
1.5. Easterly and Westerly Regimes of Amazonian Rainfall
1.6. Rationale and Objectives
- The presence of zeros in high resolution rainfall records constitute highly important information to understand, diagnose and forecast the dynamics of rainfall [28,60,61]. Salas and Poveda [30] argued that zeros (inter-storm periods) in time series of tropical convective rainfall are associated with the timescale required by nature to build up the dynamic and thermodynamic conditions of the next storm, as an atmospheric analogous of the time of energy build-up between earthquakes, avalanches and many other relaxational processes in nature [62]. Therefore, the role of zeros and their effect on scaling statistics must be investigated to further understand and model high resolution rainfall.
- The aforementioned previous works [28,30,31] are based on available rainfall data (S-POL radar, TRMM satellite and rain gauges), and it is difficult to understand differences of the q-statistics in temporal and spatial scales due to factors such as the intermittency of rainfall, record length, space-time resolution of data sets, and geographic setting.
- The number of bins in the probability mass function constitutes a central issue to quantify entropic measures. Previous studies have shown that the scaling exponent of Shannon entropy under aggregation in time it is not sensitive to either the number of bins [28] or record length [30]. Then, it is necessary to study the sensitivity of the q-entropic measures in order to check their robustness to characterizing 2-D tropical rainfall fields.
- To quantify the sensitivity of the q-entropic scaling statistics to the number of bins and to the variability of rainfall intensity, in an attempt to check the robustness of such statistical tools in the multi-scale characterization of rainfall.
- To link two important theoretical frameworks, namely stochastic processes (Multiplicative Cascades) and Information Theory (non-extensive statistical mechanics), to advance our understanding about the scaling properties of tropical rainfall.
2. Study Region and Data Sets
General Information
3. Methods
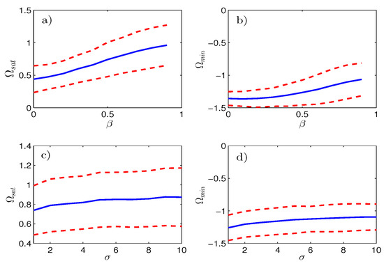
3.1. Parameters of the BL-Model and Amazonian Precipitation Features
3.2. Bin-Counting Methods and Entropic Estimators
3.3. Sample-Size and Entropy Estimators
3.4. Intermittency and q-Order
4. Results
4.1. Linking Parameters of the BL-Model with Precipitation Features
- The cascade parameter, , (Table 1), for the Easterly events is greater than the Westerly events, indicating more spatially concentrated rainfall fields (more zeros in the Easterly scans). This result is related to diverse precipitation features observed during the Easterly regime, given that the atmospheric conditions are relatively dry, with increased lightning activity and more intense and deeper convective systems [56,58,59].
- The cascade parameter, , (Table 1), exhibits smaller (larger) values during the Easterly (Westerly) regime, indicating that the variability of rainfall intensity for the Westerly events is higher than for Easterly events. This result is coherent with diverse features observed during the Westerly regime, which is characterized by less lightning activity, less deep convection and less intense precipitation rates [56,58,59].
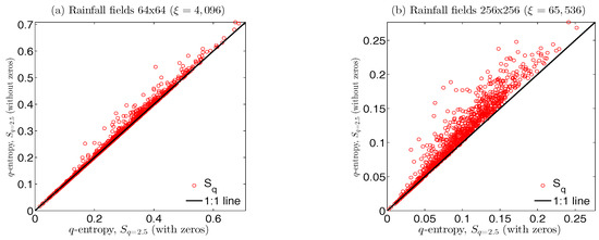
4.2. The Role of Zeros in the Generalized Space q-Entropy
4.3. The Role of Rainfall Intensity Variability in Generalized Space q-Entropy
4.4. Bin-Counting Methods and the Generalized Space q-Entropy
- The bin-counting method proposed by Dixon and Kronmal [70] is the nearest to the method presented by Gong et al. (2014) for Gaussian r.v. under aggregation, for a number of aggregation intervals greater than 70.
- The theoretical inequality given by Equation (17) is better captured by Scott’s method, although this method shows lower values than the theoretical expression, for aggregation intervals .
- The difference between the theoretical inequality (Equation (17)) and Gong et al.’s [67] method is explained because the “Discrete Entropy” and the “Continuous Entropy” (also referred to as “Differential Entropy”) are related as:where is the discrete entropy with the bin-width and is the corresponding continuous entropy. Thus, the continuous entropy of a r.v. requires to add in the numerical estimation. In our numerical estimation, was selected as the average of the bin-width estimated for the six methods (see the Section 3.2) for each aggregation interval, T, so the behavior of Gong et al.’s method is approximately the average of the set of methods. At this point, it is worth noting that although Gong et al.’s method is designed for hydrological records, it is not free from sensitivity to the number of bins.
- To check the sensitivity of the scaling exponents of the GSEF to the number of bins, we developed a numerical experiment using the BL-Model and 1000 independent simulations for each number of bins n = 10, 30, 50 and 100, with parameters = 0.10, 0.351, and 0.950 and = 0.05, 0.40 and 0.80. Figure 5 and Figure 7 show that the GSEF is not statistically affected either by the number of bins or by the value of when and the sample-size is bigger than 200 data. Consequently, the GSEF is not affect by the bin-counting method.
4.5. Sample-Size and the Generalized Space q-Entropy
- The pmf to calculate was built considering all values in the synthetic rainfall field including zeros.
- The pmf to calculate was built considering all values separated in two subsets: (i) values greater than zero (rain), i.e., ; and (ii) values equal to zero (dry), . For the subset (i), the pmf was built and then corrected by the probability of rainfall () thus, the probability of occurrence of rainfall can be written as .
4.6. Rainfall Intermittency and q-Order
5. Discussion
6. Conclusions
Acknowledgments
Author Contributions
Conflicts of Interest
References
- Deidda, R.; Benzi, R.; Siccardi, F. Multifractal modeling of anomalous scaling laws in rainfall. Water Resour. Res. 1999, 35, 1853–1867. [Google Scholar] [CrossRef]
- Devineni, N.; Lall, U.; Xi, C.; Ward, P. Scaling of extreme rainfall areas at a planetary scale. Chaos 2015, 25, 075407. [Google Scholar] [CrossRef] [PubMed]
- Foufoula-Georgiou, E. On scaling theories of space-time rainfall: Some recent results and open problems. In Stochastic Methods in Hydrology: Rainfall, Land Forms and Floods; Barndor-Neilsen, O.E., Gupta, V.K., Pérez-Abreu, V., Waymire, E., Eds.; World Science: Hackensack, NJ, USA, 1998; pp. 25–72. [Google Scholar]
- Gupta, V.K.; Waymire, E. Multiscaling properties of spatial rainfall and river flow distributions. J. Geophys. Res. 1990, 95, 1999–2009. [Google Scholar] [CrossRef]
- Harris, D.; Foufoula-Georgiou, E.; Droegemeier, K.K.; Levit, J.J. Multiscale statistical properties of a high-resolution precipitation forecast. J. Hydrometeorol. 2001, 2, 406–418. [Google Scholar] [CrossRef]
- Jothityangkoon, C.; Sivapalan, M.; Viney, N. Test of a space-time model of daily rainfall in soutwestern Australia based on nonhomogeneous random cascades. Water Resour. Res. 2000, 36, 267–284. [Google Scholar] [CrossRef]
- Gentine, P.; Troy, T.J.; Lintner, B.R.; Findell, K.L. Scaling in Surface Hydrology: Progress and Challenges. J. Contemp. Water Res. Educ. 2012, 147, 28–40. [Google Scholar] [CrossRef]
- Lovejoy, S. Area-perimeter relation for rain and cloud areas. Science 1982, 216, 185–187. [Google Scholar] [CrossRef] [PubMed]
- Lovejoy, S.; Schertzer, D. Multifractal analysis techniques and the rain and cloud fields from 103 to 106 m. In Non-Linear Variability in Geophysics: Scaling and Fractals; Kluwer Academic Publishers: Norwell, MA, USA, 1991; pp. 111–144. [Google Scholar]
- Lovejoy, S.; Schertzer, D. Scale invariance and multifractals in the atmosphere. In Encyclopedia of the Environment; Pergamon Press: New York, NY, USA, 1993; pp. 527–532. [Google Scholar]
- Nordstrom, K.M.; Gupta, V.K. Scaling statistics in a critical, nonlinear physical model of tropical oceanic rainfall. Nonlinear Process. Geophys. 2003, 10, 1–13. [Google Scholar] [CrossRef]
- Nykanen, D.K. Linkages between orographic forcing and the scaling properties of convective rainfall in mountainous regions. J. Hydrometeorol. 2008, 9, 327–347. [Google Scholar] [CrossRef]
- Over, T.M.; Gupta, V.K. Statistical analysis of mesoscale rainfall: Dependence of a random cascade generator on large-scale forcing. J. Appl. Meteorol. 1994, 33, 1526–1542. [Google Scholar] [CrossRef]
- Perica, S.; Foufoula-Georgiou, E. Linkage of scaling and thermodynamic parameters of rainfall: Results from midlatitude mesoscale convective systems. J. Geophys. Res. 1996, 101, 7431–7448. [Google Scholar] [CrossRef]
- Perica, S.; Foufoula-Georgiou, E. Model for multiscale disagreggation of spatial rainfall based on coupling meteorological and scaling descriptions. J. Geophys. Res. 1996, 101, 26347–26361. [Google Scholar] [CrossRef]
- Singleton, A.; Toumi, R. Super-Clausius-Clapeyron scaling of rainfall in a model squall line. Q. J. R. Meteorol. Soc. 2013, 139, 334–339. [Google Scholar] [CrossRef]
- Yano, J.-I.; Fraedrich, K.; Blender, R. Tropical convective variability as 1/f noise. J. Clim. 2001, 14, 3608–3616. [Google Scholar] [CrossRef]
- Barker, H.W.; Qu, Z.; Bélair, S.; Leroyer, S.; Milbrandt, J.A.; Vaillancourt, P.A. Scaling properties of observed and simulated satellite visible radiances. J. Geophys. Res. Atmos. 2017, 122. [Google Scholar] [CrossRef]
- Morales, J.; Poveda, G. Diurnally driven scaling properties of Amazonian rainfall fields: Fourier spectra and order-q statistical moments. J. Geophys. Res. 2009, 114, D11104. [Google Scholar] [CrossRef]
- Over, T. M. Modeling Space-Time Rainfall at the Mesoscale Using Random Cascades. Ph.D. Thesis, University of Colorado, Boulder, CO, USA, 1995; 249p. [Google Scholar]
- Gorenburg, I.P.; McLaughlin, D.; Entekhabi, D. Scale-recursive assimilation of precipitation data. Adv. Water Resour. 2001, 24, 941–953. [Google Scholar] [CrossRef]
- Bocchiola, D. Use of Scale Recursive Estimation for assimilation of precipitation data from TRMM (PR and TMI) and NEXRAD. Adv. Water Resour. 2007, 30, 2354–2372. [Google Scholar] [CrossRef]
- Lovejoy, S.; Schertzer, D.; Allaire, V.C. The remarkable wide range spatial scaling of TRMM precipitation. Atmos. Res. 2008, 90, 10–32. [Google Scholar] [CrossRef]
- Gebremichael, M.; Over, T.M.; Krajewski, W.F. Comparison of the Scaling Characteristics of Rainfall Derived from Space-Based and Ground-Based Radar Observations. J. Hydrometeorol. 2006, 7, 1277–1294. [Google Scholar] [CrossRef]
- Gebremichael, M.; Krajewski, W.F.; Over, T.M.; Takayabu, Y.N.; Arkin, P.; Katayama, M. Scaling of tropical rainfall as observed by TRMM precipitation radar. Atmos. Res. 2008, 88, 337–354. [Google Scholar] [CrossRef]
- Hurtado, A.F.; Poveda, G. Linear and global space-time dependence and Taylor hypotheses for rainfall in the tropical Andes. J. Geophys. Res. 2009, 114, D10105. [Google Scholar] [CrossRef]
- Varikoden, H.; Samah, A.A.; Babu, C.A. Spatial and temporal characteristics of rain intensity in the peninsular Malaysia using TRMM rain rate. J. Hydrol. 2010, 387, 312–319. [Google Scholar] [CrossRef]
- Poveda, G. Mixed memory, (non) Hurst effect, and maximum entropy of rainfall in the Tropical Andes. Adv. Water Resour. 2011, 34, 243–256. [Google Scholar] [CrossRef]
- Venugopal, V.; Sukhatme, J.; Madhyastha, K. Scaling Characteristics of Global Tropical Rainfall. In Proceedings of the European Geosciences Union General Assembly, Vienna, Austria, 27 April–2 May 2014. [Google Scholar]
- Salas, H.D.; Poveda, G. Scaling of entropy and multi-scaling of the time generalized q-entropy in rainfall and streamflows. Physica A 2015, 423, 11–26. [Google Scholar] [CrossRef]
- Poveda, G.; Salas, H.D. Statistical scaling, Shannon entropy and generalized space-time q-entropy of rainfall fields in Tropical South America. Chaos 2015, 25, 075409. [Google Scholar] [CrossRef] [PubMed]
- Over, T.M.; Gupta, V.K. A space-time theory of mesoscale rainfall using random cascades. J. Geophys. Res. 1996, 101, 26319–26331. [Google Scholar] [CrossRef]
- Gupta, V.K.; Waymire, E.C. A statistical analysis of mesoscale rainfall as a random cascade. J. Appl. Meteorol. 1993, 32, 251–267. [Google Scholar] [CrossRef]
- Mandelbrot, B.B. Intermittent turbulence in self-similar cascades: Divergence of high moments and dimension of the carrier. J. Fluid Mech. 1974, 62, 331–358. [Google Scholar] [CrossRef]
- Kahane, J.P.; Peyriere, J. Sur certains martingales de Benoit Mandelbrot. Adv. Math. 1976, 22, 131–145. [Google Scholar] [CrossRef]
- Mittal, D.P. On continuous solutions of a functional equation. Metrika 1976, 22, 31–40. [Google Scholar] [CrossRef]
- Rényi, A. On measures of information and entropy. In Proceedings of the Fourth Berkeley Symposium on Mathematics, Statistics and Probability, Berkeley, CA, USA, 20 June–30 July 1960; pp. 547–561. [Google Scholar]
- Havrda, J.H.; Charvát, F. Quantification method of classification processes: Concept of structural α-entropy. Kybernetika 1967, 3, 30–35. [Google Scholar]
- Sharma, B.D.; Taneja, I.J. Entropy of type (α,β) and other generalized measures of Information Theory. Metrika 1975, 22, 205–215. [Google Scholar] [CrossRef]
- Tsallis, C. Possible Generalization of Boltzmann-Gibbs Statistics. J. Stat. Phys. 1988, 52, 479–487. [Google Scholar] [CrossRef]
- Gell-Mann, M.; Tsallis, C. Nonextensive Entropy—Interdisciplinary Applications; Oxford University Press: New York, NY, USA, 2004. [Google Scholar]
- Singh, V.P. Introduction to Tsallis Entropy Theory in Water Engineering; CRC Press: Boca Raton, FL, USA, 2016. [Google Scholar]
- Furuichi, S. Information theoretical properties of Tsallis entropies. J. Math. Phys. 2006, 47, 023302. [Google Scholar] [CrossRef]
- Shannon, C.E. A mathematical theory of communication. Bell Syst. Tech. J. 1948, 27, 379–423. [Google Scholar] [CrossRef]
- Tsallis, C. Introduction to Nonextensive Statistical Mechanics: Approaching a Complex World; Springer: New York, NY, USA, 2009. [Google Scholar] [CrossRef]
- Bercher, J.-F. Tsallis distribution as a standard maximum entropy solution with ‘tail’ constraint. Phys. Lett. A 2008, 59, 5657. [Google Scholar] [CrossRef]
- Tsallis, C.; Mendes, R.S.; Plastino, A.R. The role of constraints within generalized nonextensive statistics. Physica A 1998, 261, 534–554. [Google Scholar] [CrossRef]
- Plastino, A. Why Tsallis’ statistics? Physica A 2004, 344, 608–613. [Google Scholar] [CrossRef]
- Rathie, P.N.; Da Silva, S. Shannon, Lévy, and Tsallis: A note. Appl. Math. Sci. 2008, 2, 1359–1363. [Google Scholar]
- Zipf, G.K. Selective Studies and the Principle of Relative Frequency; Addison Wesley: Cambridge, UK, 1932. [Google Scholar]
- Zipf, G.K. Human Behavior and the Principle of Least Effort; Addison Wesley: Cambridge, UK, 1949. [Google Scholar]
- Mandelbrot, B.B. Structure formelle des textes et communication. J. Word 1953, 10, 1–27. [Google Scholar] [CrossRef]
- Abe, S. Geometry of escort distributions. Phys. Rev. E 2003, 68, 031101. [Google Scholar] [CrossRef] [PubMed]
- Frisch, U. Turbulence: The Legacy of A. N. Kolmogorov; Cambridge University Press: Cambridge, UK, 1995; 296p. [Google Scholar]
- Cifelli, R.; Petersen, W.A.; Carey, L.D.; Rutledge, S.A.; da Silva-Dias, M.A.F. Radar observations of the kinematics, microphysical, and precipitation characteristics of two MCSs in TRMM LBA. J. Geophys. Res. 2002, 107, 8077. [Google Scholar] [CrossRef]
- Petersen, W.; Nesbitt, S.W.; Blakeslee, R.J.; Cifelli, R.; Hein, P.; Rutledge, S.A. TRMM observations of intraseasonal variability in convective regimes over the Amazon. J. Clim. 2002, 14, 1278–1294. [Google Scholar] [CrossRef]
- Carey, L.D.; Cifelli, R.; Petersen, W.A.; Rutledge, S.A. Characteristics of Amazonian rain measured during TRMMLBA. In Proceedings of the 30th International Conference on Radar Meteorology, Munich, Germany, 18–24 July 2001; pp. 682–684. [Google Scholar]
- Laurent, H.; Machado, L.A.; Morales, C.A.; Durieux, L. Characteristics of the Amazonian mesoscale convective systems observed from satellite and radar during the WETAM/LBA experiment. J. Geophys. Res. 2002, 107, 8054. [Google Scholar] [CrossRef]
- Anagnostou, E.N.; Morales, C.A. Rainfall estimation from TOGA radar observations during LBA field campaign. J. Geophys. Res. 2002, 107, 8068. [Google Scholar] [CrossRef]
- Sivakumar, B. Nonlinear dynamics and chaos in hydrologic systems: Latest developments and a look forward. Stoch. Environ. Res. Risk Assess. 2009, 23, 1027–1036. [Google Scholar] [CrossRef]
- Gires, A.; Tchiguirinskaia, I.; Schertzer, D.; Lovejoy, S. Development and analysis of a simple model to represent the zero rainfall in a universal multifractal framework. Nonlinear Process. Geophys. 2013, 20, 343–356. [Google Scholar] [CrossRef]
- Peters, O.; Christensen, K. Rain: Relaxations in the sky. Phys. Rev. E 2002, 66, 036120. [Google Scholar] [CrossRef] [PubMed]
- Machado, L.A.T.; Laurent, H.; Lima, A.A. Diurnal march of the convection observed during TRMM-WETAMC/LBA. J. Geophys. Res. 2002, 107, 8064. [Google Scholar] [CrossRef]
- Silva Dias, M.A.F.; Rutledge, S.; Kabat, P.; Silva Dias, P.L.; Nobre, C.; Fisch, G.; Dolman, A.J.; Zipser, E.; Garstang, M.; Manzi, A.O.; et al. Cloud and rain processes in a biosphere-atmosphere interaction context in the Amazon region. J. Geophys. Res. 2002, 107, 8072. [Google Scholar] [CrossRef]
- Kalnay, E.; Kanamitsu, M.; Kistler, R.; Collins, W.; Deaven, D.; Gandin, L.; Iredell, M.; Saha, S.; White, G.; Woollen, J.; et al. The NCEP/NCAR 40-year Reanalysis Project. Bull. Am. Meteorol. Soc. 1996, 77, 437–471. [Google Scholar] [CrossRef]
- Zhang, J.; Wu, Y. k-Sample tests based on the likelihood ratio. Comput. Stat. Data Anal. 2007, 51, 4682–4691. [Google Scholar] [CrossRef]
- Gong, W.; Yang, D.; Gupta, H.V.; Nearing, G. Estimating information entropy for hydrological data: One-dimensional case. Water Resour. Res. 2014, 50. [Google Scholar] [CrossRef]
- Cover, T.M.; Thomas, J.A. Elements of Information Theory; John Wiley & Sons, Inc.: Hoboken, NJ, USA, 2006. [Google Scholar]
- Sturges, H. The choice of a class-interval. J. Am. Stat. Assoc. 1926, 21, 65–66. [Google Scholar] [CrossRef]
- Dixon, W.J.; Kronmal, R.A. The choice of origin and scale of graphs. J. Assoc. Comput. Mach. 1965, 12, 259–261. [Google Scholar] [CrossRef]
- Scott, D.W. On optimal and data-based histograms. Biometrika 1979, 66, 605–610. [Google Scholar] [CrossRef]
- Freedman, D.; Diaconis, P. On the Histogram as a Density Estimator: L2 Theory, Z. Wahrscheinlichkeitstheorie verw. Gebiete 1981, 57, 453–476. [Google Scholar] [CrossRef]
- Knuth, K.H. Optimal data-based binning for histograms. arXiv, 2006; arXiv:physics/0605197. [Google Scholar]
- Gencaga, D.; Knuth, K.H.; Rossow, W.B. A recipe for the estimation of information flow in a dynamical system. Entropy 2015, 17, 438–470. [Google Scholar] [CrossRef]
- Shimazaki, H.; Shinomoto, S. A method for selecting the bin size of a time histogram. Neural Comput. 2007, 19, 1503–1527. [Google Scholar] [CrossRef] [PubMed]
- Shimazaki, H.; Shinomoto, S. Kernel bandwidth optimization in spike rate estimation. J. Comput. Neurosci. 2010, 29, 171–182. [Google Scholar] [CrossRef] [PubMed]
- Beirlant, J.; Dudewicz, E.J.; Györfi, L.; Van der Meulen, E.C. Nonparametric entropy estimation: An overview. Int. J. Math. Stat. Sci. 1997, 6, 17–39. [Google Scholar]
- Pires, C.A.L.; Perdigão, R.A.P. Minimum Mutual Information and Non-Gaussianity through the Maximum Entropy Method: Estimation from Finite Samples. Entropy 2013, 15, 721–752. [Google Scholar] [CrossRef]
- Trendafilov, N.; Kleinsteuber, M.; Zou, H. Sparse matrices in data analysis. Comput. Stat. 2014, 29, 403–405. [Google Scholar] [CrossRef]
- Liu, D.; Wang, D.; Wang, Y.; Wu, J.; Singh, V.P.; Zeng, X.; Wang, L.; Chen, Y.; Chen, X.; Zhang, L.; et al. Entropy of hydrological systems under small samples: Uncertainty and variability. J. Hydrol. 2016, 532, 163–176. [Google Scholar] [CrossRef]
- Mandelbrot, B.B. Multifractals and 1/f Noise. Wild Self-Affinity in Physics (1963–1976); Springer: New York, NY, USA, 1998; p. 442. [Google Scholar]
- Fraedrich, K.; Larnder, C. Scaling regimes of composite rainfall time series. Tellus 1993, 45, 289–298. [Google Scholar] [CrossRef]
- Verrier, S.; Mallet, C.; Barthés, L. Multiscaling properties of rain in the time domain, taking into account rain support biases. J. Geophys. Res. 2011, 116. [Google Scholar] [CrossRef]
- Mascaro, G.; Deidda, R.; Hellies, M. On the nature of rainfall intermittency as revealed by different metrics and sampling approaches. Hydrol. Earth Syst. Sci. 2013, 17, 355. [Google Scholar] [CrossRef]
- Molini, A.; Katul, G.G.; Porporato, A. Revisiting rainfall clustrering and intermittency across different climatic regimes. Water Resour. Res. 2009, 45. [Google Scholar] [CrossRef]
- Bickel, D.R. Generalized entropy and multifractality of time-series: Relationship between order and intermittency. Chaos Solitons Fractals 2002, 13, 491–497. [Google Scholar] [CrossRef]
- Shiner, J.S.; Davison, M. Simple measure of complexity. Phys. Rev. E 1999, 59, 1459–1464. [Google Scholar] [CrossRef]
- Badin, G.; Domeisen, D.I.V. Nonlinear stratospheric variability: Multifractal detrended fluctuation analysis and singularity spectra. Proc. R. Soc. A Math. Phys. Eng. Sci. 2016, 472, 20150864. [Google Scholar] [CrossRef] [PubMed]
- Bickel, D.R. Simple estimation of intermittency in multifractal stochastic processes: Biomedical applications. Phys. Lett. A 1999, 262, 251–256. [Google Scholar] [CrossRef]
- Carbone, A. Algorithm to estimate the Hurst exponent of high-dimensional fractals. Phys. Rev. E 2007, 76, 056703. [Google Scholar] [CrossRef] [PubMed]
- Grinstead, C.M.; Snell, J.L. Introduction to Probability, 2nd ed.; American Mathematical Society: Providence, RI, USA, 1997. [Google Scholar]
- Paninski, L. Estimation of Entropy and Mutual Information. Neural Comput. 2003, 15, 1191–1253. [Google Scholar] [CrossRef]
- Rodríguez-Iturbe, I.; Power, B.F.; Valdes, J.B. Rectangular pulses point process models for rainfall: Analysis of empirical data. J. Geophys. Res. Atmos. 1987, 92, 9645–9656. [Google Scholar] [CrossRef]
- Cowpertwait, P.; Isham, V.; Onof, C. Point process models of rainfall: Developments for fine-scale structure. Proc. R. Soc. Lond. A Math. Phys. Eng. Sci. 2007, 463, 2569–2587. [Google Scholar] [CrossRef]
- Olsson, J.; Burlando, P. Reproduction of temporal scaling by a rectangular pulses rainfall model. Hydrol. Process. 2002, 16, 611–630. [Google Scholar] [CrossRef]
- Boon, J.P.; Tsallis, C. Special issue overview nonextensive statistical mechanics: New trends, new perspectives. Europhys. News 2005, 36, 185–186. [Google Scholar] [CrossRef]
- Robinson, P.M. Consisten nonparametric entropy-based testing. Rev. Econ. Stud. 1991, 58, 437–453. [Google Scholar] [CrossRef]














| Description | Westerly | Easterly |
|---|---|---|
| Total number of scans | 2607 | 3884 |
| Average for all scans | 0.421 | 0.491 |
| Average for all scans | 0.235 | 0.221 |
| q-value where the SGEF saturates for all scans | 1.50 | 1.50 |
| Average scaling exponent of saturation, , for all scans | 1.0 | 1.0 |
| Scans with more than 200 values non-zero (Denoted as ∗) | 1867 | 2360 |
| Scans with all values zeros | 86 | 21 |
| Percentage of scans ∗ | 71.6% | 60.8% |
| Percentage of scans with less than 200 values non-zero | 28.4% | 39.2% |
| Average for scans ∗ | 0.336 | 0.365 |
| Average for scans ∗ | 0.248 | 0.242 |
| q-value where the SGEF saturates for scans ∗ | 2.5 | 2.5 |
| Average scaling exponent of saturation, , for scans ∗ | 0.38 ± 0.15 | 0.4 ± 0.15 |
© 2017 by the authors. Licensee MDPI, Basel, Switzerland. This article is an open access article distributed under the terms and conditions of the Creative Commons Attribution (CC BY) license (http://creativecommons.org/licenses/by/4.0/).
Share and Cite
Salas, H.D.; Poveda, G.; Mesa, O.J. Testing the Beta-Lognormal Model in Amazonian Rainfall Fields Using the Generalized Space q-Entropy. Entropy 2017, 19, 685. https://doi.org/10.3390/e19120685
Salas HD, Poveda G, Mesa OJ. Testing the Beta-Lognormal Model in Amazonian Rainfall Fields Using the Generalized Space q-Entropy. Entropy. 2017; 19(12):685. https://doi.org/10.3390/e19120685
Chicago/Turabian StyleSalas, Hernán D., Germán Poveda, and Oscar J. Mesa. 2017. "Testing the Beta-Lognormal Model in Amazonian Rainfall Fields Using the Generalized Space q-Entropy" Entropy 19, no. 12: 685. https://doi.org/10.3390/e19120685
APA StyleSalas, H. D., Poveda, G., & Mesa, O. J. (2017). Testing the Beta-Lognormal Model in Amazonian Rainfall Fields Using the Generalized Space q-Entropy. Entropy, 19(12), 685. https://doi.org/10.3390/e19120685

