Assessment of Heart Rate Variability during an Endurance Mountain Trail Race by Multi-Scale Entropy Analysis
Abstract
1. Introduction
2. Materials and Methods
2.1. Data Analysed
2.2. Pre-Processing of the RR-Interval Time Series
2.3. Characterization of Each 5-Min Segment of the Course
2.3.1. Exercise Load Characterization during the Race
2.3.2. Heart Rate Variability Analysis
Standardized Time-Domain and Frequency-Domain Analysis
- meanNN (ms): Mean value of normal-to-normal (NN) interval time series.
- sdNN (ms): Standard deviation of each NN interval.
- rMSSD (ms): Square root of the mean squared differences of successive NN intervals.
- NNxx (n.u.): Number of interval differences of successive NN intervals greater than xx = {10, 20, 30, 40, 50} ms.
- pNNxx (%): Proportion of the NNxx in the total number of NN intervals.
- TP (ms2): Total power of the density spectra in the range ≤0.4 Hz.
- VLF (ms2): Power in very-low frequency range ≤ 0.04 Hz.
- LF (ms2): Power in the low frequency band 0.04–0.15 Hz.
- LFn (%): Normalized LF power LFn = LF/(LF + HF) × 100.
- HF (ms2): Power in the high frequency band 0.15–0.4 Hz.
- HFn (%): Normalized HF power HFn = HF/(LF + HF) × 100.
- LF/HF: ratio between LF and HF.
Multi-Scale Entropy Analysis
2.4. Statistical Analysis
3. Results
3.1. HRV Analysis During the Race
3.1.1. Standardized Time-Domain and Frequency-Domain Analysis of HRV
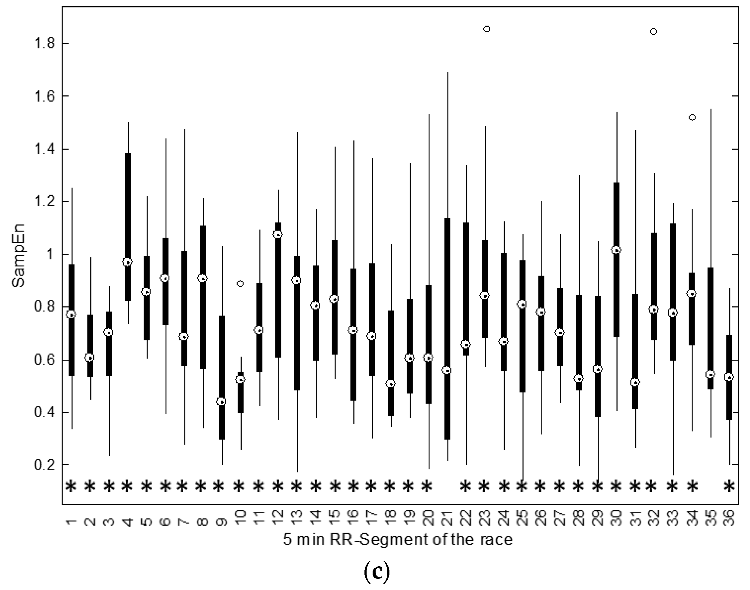
3.1.2. Non-Linear Time-Domain Analysis of HRV: Multi-Scale Entropy
3.2. HRV Comparison Based on Different Race Performance
3.3. Course Characterization and HRV Analysis
4. Discussion
5. Conclusions
Acknowledgments
Author Contributions
Conflicts of interest
References
- Kleiger, R.E.; Stein, P.K.; Bigger, J.T. Heart rate variability: Measurement and clinical utility. Ann. Noninvasive Electrocardiol. 2005, 10, 88–101. [Google Scholar] [CrossRef] [PubMed]
- Rajendra, U.; Joseph, K.P.; Kannathal, N.; Lim, C.M.; Suri, J.S. Heart rate variability: A review. Med. Biol. Eng. Comput. 2006, 44, 1031–1051. [Google Scholar] [CrossRef] [PubMed]
- Mainardi, L. On the quantification of heart rate variability spectral parameters using time-frequency and time-varying methods. Philos. Trans. A Math. Phys. Eng. Sci. 2009, 367, 255–275. [Google Scholar] [CrossRef] [PubMed]
- Rocha, A.P.; Almeida, R.; Leite, A.; Silva, M.J.; Silva, M.E. Long-term HRV in critically ill pediatric patients: Coma versus brain death. Comput. Cardiol. 2014, 41, 89–92. [Google Scholar]
- Voss, A.; Schroeder, R.; Heitmann, A.; Peters, A.; Perz, S. Short-Term Heart Rate Variability. Influence of Gender and Age in Healthy Subjects. PLoS ONE 2015, 10, e0118308. [Google Scholar] [CrossRef] [PubMed]
- Task Force of the European Society of Cardiology and the North American Society of Pacing and Electrophysiology. Heart rate variability: Standards of measurement, physiological interpretation and clinical use. Circulation 1996, 93, 1043–1065. [Google Scholar] [CrossRef]
- Voss, A.; Schulz, S.; Scroeder, R.; Baumert, M.; Caminal, P. Methods derived from nonlinear dynamics for analyzing heart rate variability. Philos. Trans. A Math. Phys. Eng. Sci. 2009, 367, 277–296. [Google Scholar] [CrossRef] [PubMed]
- Gierałtowski, J.; Żebrowski, J.J.; Baranowski, R. Multiscale multifractal analysis of heart rate variability recordings with a large number of occurrences of arrhythmia. Phys. Rev. E 2012, 85, 021915. [Google Scholar] [CrossRef] [PubMed]
- Baumert, M.; Brechtel, L.; Lock, J.; Hermsdorf, M.; Wolff, R.; Baier, V.; Voss, A. Heart rate variability, blood pressure variability, and baroreflex sensitivity in overtrained athletes. Clin. J. Sport Med. 2006, 16, 412–417. [Google Scholar] [CrossRef] [PubMed]
- Costa, M.; Goldberger, A.L.; Peng, C.K. Multiscale entropy analysis of biological signals. Phys. Rev. E 2005, 71, 021906. [Google Scholar] [CrossRef] [PubMed]
- Huikuri, H.V.; Perkiomaki, J.S.; Maestri, R.; Pinna, G.D. Clinical impact of evaluation of cardiovascular control by novel methods of heart rate dynamics. Philos. Trans. A Math. Phys. Eng. Sci. 2009, 367, 1223–1238. [Google Scholar] [CrossRef] [PubMed]
- Chua, K.C.; Chandran, V.; Acharya, U.R.; Lim, C.M. Cardiac state diagnosis using higher order spectra of heart rate variability. J. Med. Eng. Technol. 2008, 32, 145–155. [Google Scholar] [CrossRef] [PubMed]
- Hoyer, D.; Kowalski, E.M.; Schmidt, A.; Tetschke, F.; Nowack, S.; Rudolph, A.; Wallwitz, U.; Kynass, I.; Bode, F.; Tegtmeyer, J.; et al. Fetal autonomic brain age scores, segmented heart rate variability analysis, and traditional short term variability. Front. Hum. Neurosci. 2014, 8, 948–959. [Google Scholar] [CrossRef] [PubMed]
- Voss, A.; Schroeder, R.; Vallverdú, M.; Schultz, S.; Cygankiewicz, I.; Vázquez, R.; Bayés de Luna, A.; Caminal, P. Short-term vs. long-term heart rate variability in ischemic cardiomyopathy risk stratification. Front. Physiol. 2013, 4, 364–380. [Google Scholar] [CrossRef] [PubMed]
- Watanabe, M.A. Heart Rate Turbulence: A Review. Indian Pacing Electrophysiol. J. 2003, 3, 10–22. [Google Scholar] [PubMed]
- Wallén, M.B.; Hasson, D.; Theorell, T.; Canlon, B.; Osika, W. Possibilities and limitations of the polar RS800 in measuring heart rate variability at rest. Eur. J. Appl. Physiol. 2012, 112, 1153–1165. [Google Scholar] [CrossRef] [PubMed]
- Giles, D.; Draper, N.; Neil, W. Validity of the Polar V800 heart rate monitor to measure RR intervals at rest. Eur. J. Appl. Physiol. 2016, 116, 563–571. [Google Scholar] [CrossRef] [PubMed]
- Matsumoto, T.; Miyawaki, T.; Ue, H. Autonomic responsiveness to acute cold exposure in obese and non-obese young women. Int. J. Obes. Relat. Metab. Disord. 1999, 23, 793–800. [Google Scholar] [CrossRef] [PubMed]
- Gritti, I.; Defendi, S.; Mauri, C.; Banfi, G.; Duca, P.; Roi, G.S. Heart rate variability, standard of measurement, physiological interpretation and clinical use in mountain marathon runners during sleep and after acclimatization at 3480 m. J. Behav. Brain Sci. 2013, 3, 26–48. [Google Scholar] [CrossRef]
- McCraty, R.; Atkinson, M.; Tiller, W. The effects of emotions on short-term power sectrum analysis of heart rate variability. Am. J. Cardiol. 1995, 76, 1089–1093. [Google Scholar] [CrossRef]
- Myers, G.A.; Martin, G.J.; Magid, N.M.; Barnett, P.S.; Schaad, J.W.; Weiss, J.S.; Lesch, M.; Singer, D.H. Power spectral analysis of heart rate variability in sudden cardiac death: Comparison to other methods. IEEE Trans. Biomed. Eng. 1986, 33, 1149–1156. [Google Scholar] [CrossRef] [PubMed]
- Billman, G.E. Cardiac autonomic neural remodeling and susceptibility to sudden cardiac death: Effect of endurance exercise training. Am. J. Physiol. Heart Circ. Physiol. 2009, 297, H1171–H1193. [Google Scholar] [CrossRef] [PubMed]
- Mäkikallio, T.H.; Huikuri, H.V.; Mäkikallio, A.; Sourander, L.B.; Mitrani, R.D.; Castellanos, A.; Myerburg, R.J. Prediction of sudden cardiac death by fractal analysis of heart rate variability in elderly subjects. J. Am. Coll. Cardiol. 2001, 37, 1395–1402. [Google Scholar] [CrossRef]
- Arroyo-Carmona, R.E.; López-Serrano, A.L.; Albarado-Ibañez, A.; Mendoza-Lucero, F.M.; Medel-Cajica, D.; López-Mayorga, R.M.; Torres-Jácome, J. Heart Rate Variability as Early Biomarker for the Evaluation of Diabetes Mellitus Progress. J. Diabetes Res. 2016. [Google Scholar] [CrossRef] [PubMed]
- Aubert, A.E.; Seps, B.; Beckers, F. Heart rate variability in athletes. Sports Med. 2003, 33, 889–919. [Google Scholar] [CrossRef] [PubMed]
- Plews, D.J.; Laursen, P.B.; Stanley, J.; Kilding, A.E.; Buchheit, M. Training adaptation and heart rate variability in elite endurance athletes: Opening the door to effective monitoring. Sports Med. 2013, 43, 773–781. [Google Scholar] [CrossRef] [PubMed]
- Dong, J.G. The role of heart rate variability in sports physiology. Exp. Ther. Med. 2016, 11, 1531–1536. [Google Scholar] [CrossRef] [PubMed]
- Buchheit, M. Monitoring training status with HR measures: Do all roads lead to Rome? Front. Physiol. 2014, 5, 73. [Google Scholar] [CrossRef] [PubMed]
- Portier, H.; Louisy, F.; Laude, D.; Berthelot, M.; Guézennec, C. Intense endurance training on heart rate and blood pressure variability in runners. Med. Sci. Sports Exerc. 2001, 33, 1120–1125. [Google Scholar] [CrossRef] [PubMed]
- Kiviniemi, A.M.; Hautala, A.J.; Kinnunen, H.; Tulppo, M.P. Endurance training guided individually by daily heart rate variability measurements. Eur. J. Appl. Physiol. 2007, 101, 743–751. [Google Scholar] [CrossRef] [PubMed]
- Kingsley, M.; Lewis, M.J.; Marson, R.E. Comparison of Polar 810 and an ambulatory ECG system for RR interval measurement during progressive exercise. Int. J. Sports Med. 2005, 26, 39–44. [Google Scholar] [CrossRef] [PubMed]
- Dilaveris, P.E.; Zervopoulus, G.A.; Michaelides, A.P.; Sideris, S.K.; Psomadaki, Z.D.; Gialafos, J.E.; Toutouzas, P.K. Ischemia-induced reflex sympathoexcitation during recovery period after maximal treadmill exercise testing. Clin. Cardiol. 1998, 21, 585–590. [Google Scholar] [CrossRef] [PubMed]
- Ramos-Campo, D.J.; Avila-Gandia, V.; Alacid, F.; Soto-Mendez, F.; Alcaraz, P.E.; Lopez-Roman, F.J.; Rubio-Arias, J.A. Muscle damage, physiological changes, and energy balance in ultra-endurance mountain-event athletes. Appl. Physiol. Nutr. Metab. 2016, 41, 872–878. [Google Scholar] [CrossRef] [PubMed]
- Saboul, D.; Balducci, P.; Millet, G.; Pialoux, V.; Hautier, C. A pilot study on quantification of training load: The use of HRV in training practice. Eur. J. Sport Sci. 2016, 16, 172–181. [Google Scholar] [CrossRef] [PubMed]
- Bannister, E.W.; Calvert, T.W.; Savage, M.V.; Bach, A. A system model of training for athletic performance. Aust. J. Sports Med. 1975, 7, 170–176. [Google Scholar]
- García-Ramos, A.; Feriche, B.; Calderón, C.; Iglesias, X.; Barrero, A.; Chaverri, D.; Schuller, T.; Rodríguez, F.A. Training load quantification in elite swimmers using a modified version of the training impulse method. Eur. J. Sport Sci. 2015, 15, 85–93. [Google Scholar] [CrossRef] [PubMed]
- Pincus, S.M. Approximate entropy as a measure of system complexity. Proc. Natl. Acad. Sci. USA 1991, 88, 2297–2301. [Google Scholar] [CrossRef] [PubMed]
- Richman, J.; Moorman, R. Physiological time-series analysis using approximate entropy and sample entropy. Am. J. Physiol. Heart Circ. Physiol. 2000, 278, H2039–H2049. [Google Scholar] [PubMed]
- Clemente-Suarez, V.J. Psychophysiological response and energy balance during a 14-h ultraendurance mountain running event. Appl. Physiol. Nutr. Metab. 2015, 40, 269–273. [Google Scholar] [CrossRef] [PubMed]
- Gratze, G.; Rudnicki, R.; Urban, W.; Mayer, H.; Scholögl, A.; Skarabal, F. Hemodynamic and autonomic changes induced by Ironman: Prediction of competition time by blood pressure variability. J. Appl. Physiol. 2005, 99, 1728–1735. [Google Scholar] [CrossRef] [PubMed]
- Yamamoto, Y.; Hoshikawa, Y.; Miyashita, M. Effects of acute exposure to simulated altitude on heart rate variability during exercise. J. Appl. Physiol. 1996, 81, 1223–1229. [Google Scholar] [PubMed]








| Index | Race Segment | Faster Runners | Slower Runners | p-Value (Unpaired t-Test) |
|---|---|---|---|---|
| TD analysis | ||||
| sdNN (ms) | s9 | 24.6 ± 2.71 | 8.64 ± 1.89 | 0.001 |
| s25 | 6.19 ± 0.743 | 18.1 ± 6.48 | 0.034 | |
| s36 | 7.48 ± 3.59 | 22.9 ± 5.58 | 0.016 | |
| rMSSD (ms) | s35 | 5.82 ± 0.321 | 3.80 ± 0.588 | 0.006 |
| NN10 (n.u.) | s35 | 58.0 ± 22.9 | 5.00 ± 1.00 | 0.016 |
| pNN10 (%) | s35 | 7.52 ± 3.09 | 0.651 ± 0.167 | 0.018 |
| FD analysis | ||||
| LFn (%) | s21 | 25.8 ± 11.1 | 61.3 ± 3.74 | 0.006 |
| s34 | 20.0 ± 11.7 | 61.5 ± 9.93 | 0.009 | |
| HFn (%) | s21 | 74.1 ± 11.1 | 38.6 ± 3.74 | 0.006 |
| s34 | 79.9 ± 11.7 | 38.4 ± 9.93 | 0.009 | |
| LF/HF | s21 | 0.370 ± 0.212 | 1.60 ± 0.263 | 0.003 |
| s34 | 0.270 ± 0.201 | 1.70 ± 0.621 | 0.019 | |
| MSE analysis | ||||
| SampEn (τ = 1) | S9 | 0.277 ± 0.056 | 1.02 ± 0.172 | 0.002 |
| SampEn (τ = 2) | S25 | 1.13 ± 0.220 | 0.212 ± 0.114 | 0.003 |
| S31 | 0.999 ± 0.091 | 0.479 ± 0.162 | 0.008 | |
| SampEn (τ = 3) | S9 | 0.142 ± 0.031 | 0.466 ± 0.097 | 0.005 |
| S31 | 0.795 ± 0.075 | 0.335 ± 0.052 | 0.001 | |
| SampEn (τ = 4) | S31 | 0.799 ± 0.120 | 0.297 ± 0.054 | 0.003 |
| SampEn (τ = 9) | S31 | 0.963 ± 0.137 | 0.413 ± 0.078 | 0.004 |
| SampEn (τ = 14) | S17 | 0.419 ± 0.123 | 0.881 ± 0.113 | 0.009 |
| Exercise Load | Fatigue Interval FI | Terrain Slope | Running Speed | |
|---|---|---|---|---|
| meanNN (ms) | −0.433 | 0.400 | −0.300 | 0.228 |
| sdNN (ms) | −0.315 | 0.206 | - | - |
| rMSSD (ms) | −0.253 | - | - | - |
| NN10 (n.u.) | −0.226 | - | - | - |
| pNN10 (%) | −0.229 | - | - | - |
© 2017 by the authors. Licensee MDPI, Basel, Switzerland. This article is an open access article distributed under the terms and conditions of the Creative Commons Attribution (CC BY) license (http://creativecommons.org/licenses/by/4.0/).
Share and Cite
Vallverdú, M.; Ruiz-Muñoz, A.; Roca, E.; Caminal, P.; Rodríguez, F.A.; Irurtia, A.; Perera, A. Assessment of Heart Rate Variability during an Endurance Mountain Trail Race by Multi-Scale Entropy Analysis. Entropy 2017, 19, 658. https://doi.org/10.3390/e19120658
Vallverdú M, Ruiz-Muñoz A, Roca E, Caminal P, Rodríguez FA, Irurtia A, Perera A. Assessment of Heart Rate Variability during an Endurance Mountain Trail Race by Multi-Scale Entropy Analysis. Entropy. 2017; 19(12):658. https://doi.org/10.3390/e19120658
Chicago/Turabian StyleVallverdú, Montserrat, Aroa Ruiz-Muñoz, Emma Roca, Pere Caminal, Ferran A. Rodríguez, Alfredo Irurtia, and Alexandre Perera. 2017. "Assessment of Heart Rate Variability during an Endurance Mountain Trail Race by Multi-Scale Entropy Analysis" Entropy 19, no. 12: 658. https://doi.org/10.3390/e19120658
APA StyleVallverdú, M., Ruiz-Muñoz, A., Roca, E., Caminal, P., Rodríguez, F. A., Irurtia, A., & Perera, A. (2017). Assessment of Heart Rate Variability during an Endurance Mountain Trail Race by Multi-Scale Entropy Analysis. Entropy, 19(12), 658. https://doi.org/10.3390/e19120658
