Comparing the Models of Steepest Entropy Ascent Quantum Thermodynamics, Master Equation and the Difference Equation for a Simple Quantum System Interacting with Reservoirs
Abstract
:1. Introduction
1.1. Model Descriptions
1.2. Equations for Describing System Interactions
1.3. Additional Modeling Details
1.4. Treatment of Reservoirs
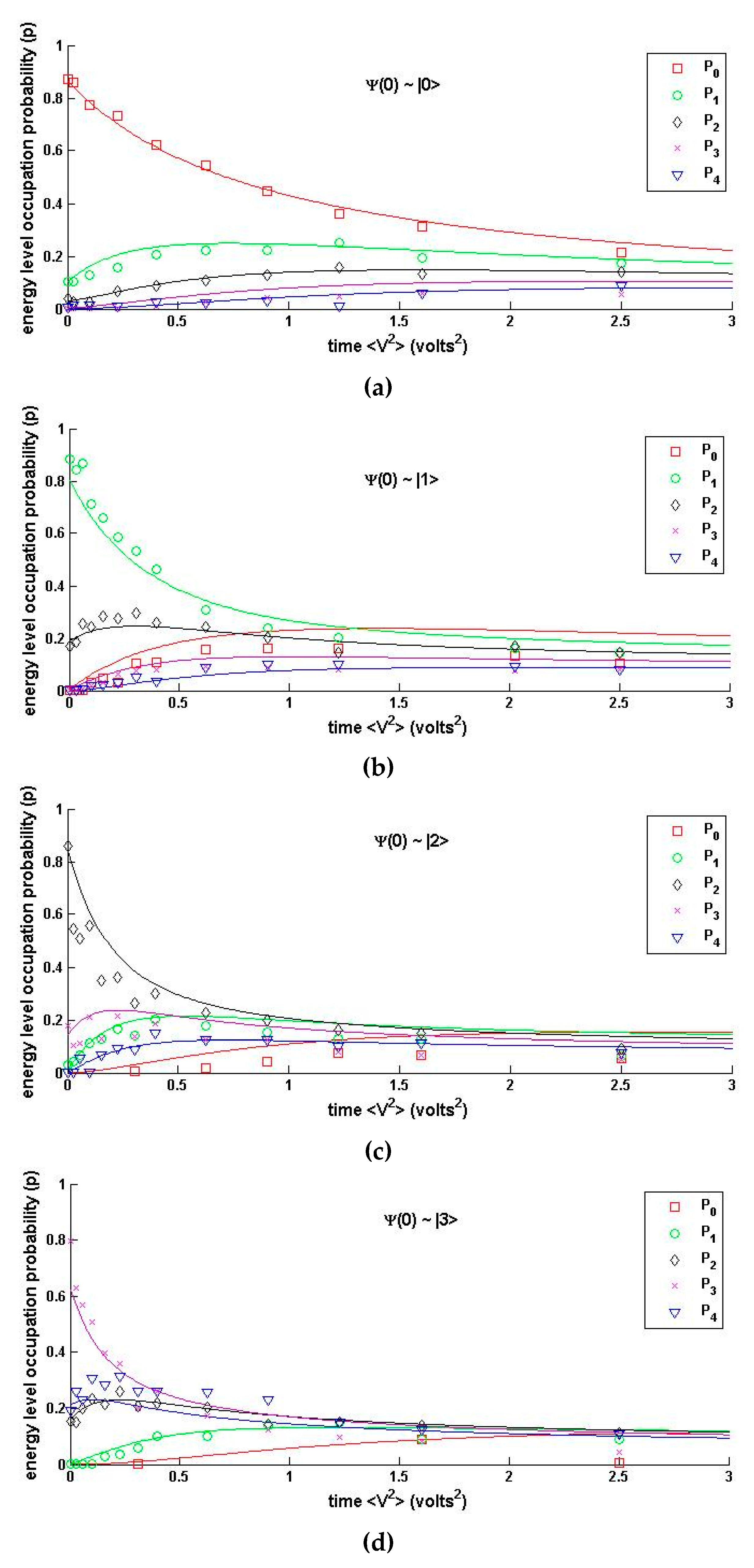
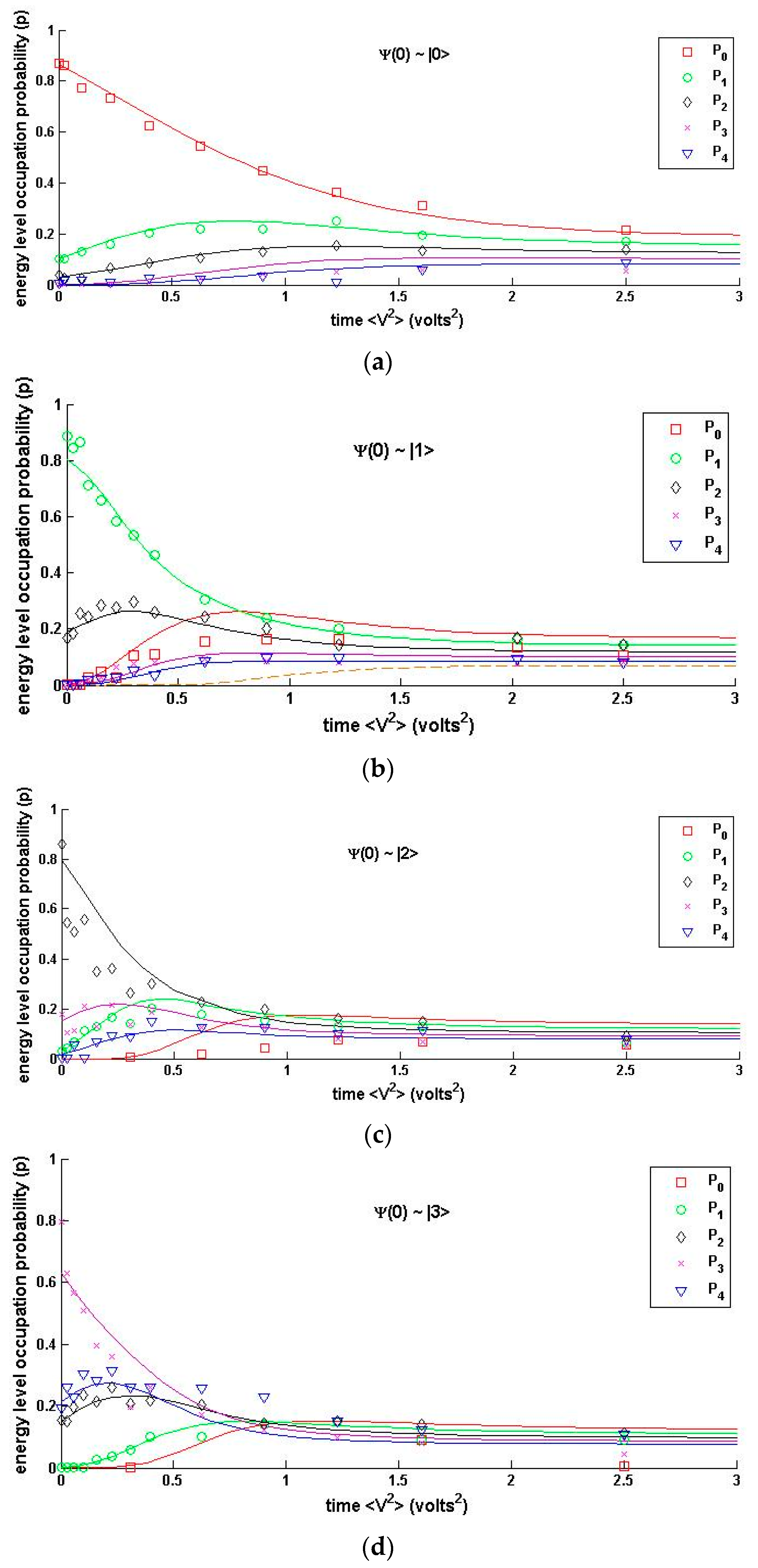
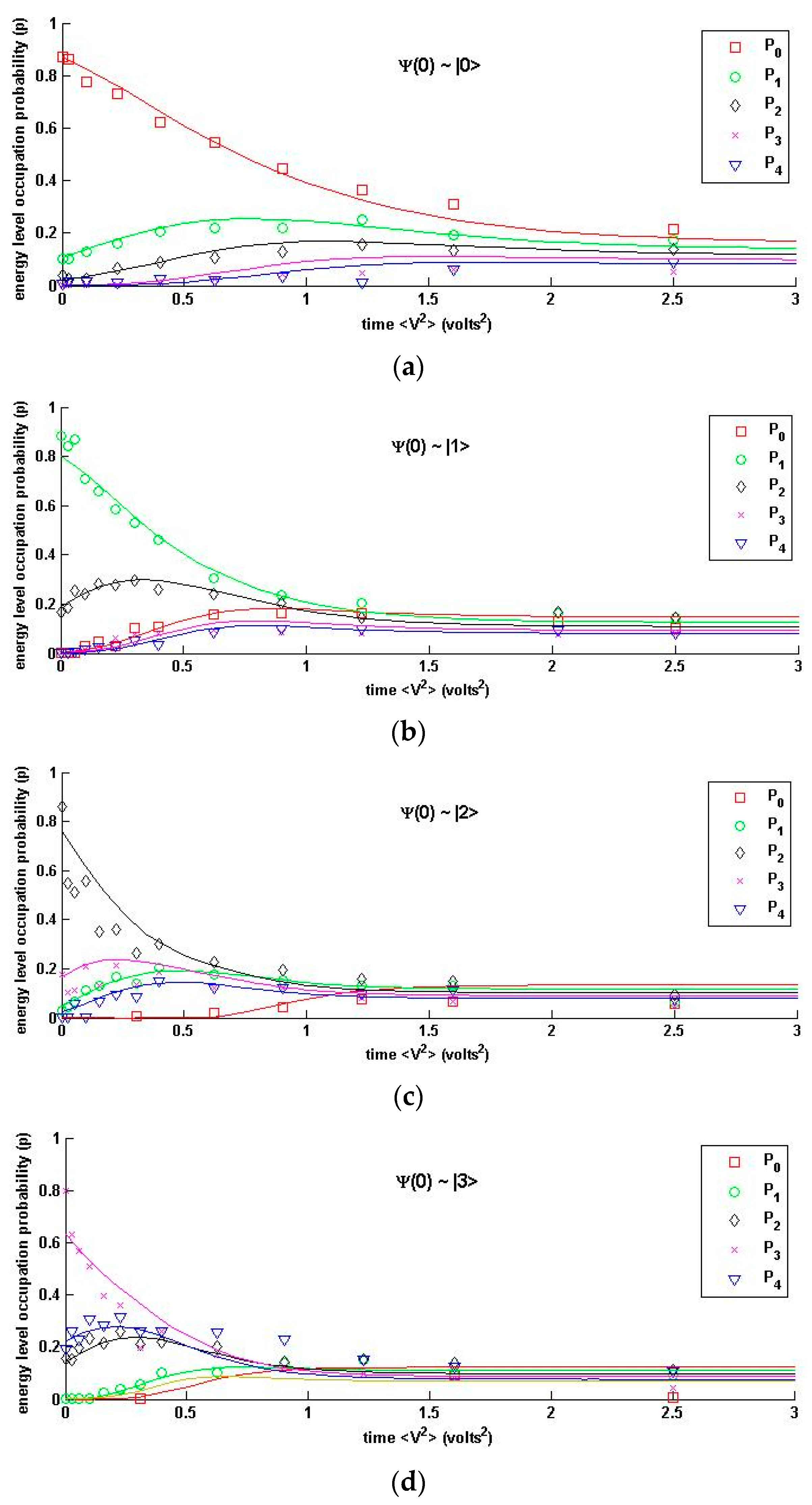
2. Results and Discussion
2.1. Comparison of the Models with Experimental Data
2.2. Quantum Steady States
3. Conclusions
Acknowledgments
Conflicts of interest
Appendix: Comparison of the ME Model to Experimental Data


References
- Rauer, B.; Schweigler, T.; Langen, T.; Schmiedmayer, J. Does an isolated quantum system relax? 2015. [Google Scholar]
- Stuart, C. The Quantum Thermodynamics Revolution. Available online: http://fqxi.org/community/articles/display/202 (accessed on 6 May 2016).
- Ladd, T.D.; Jeleszk, F.; Laflamme, R.; Nakamura, Y.; Monroe, C.; O’Brien, J.L. Quantum computers. Nature 2010, 464, 45–53. [Google Scholar] [CrossRef] [PubMed]
- Cohen, A.J.; Mori-Sanchez, P.; Yang, W. Challenges for density functional theory. Chem. Rev. 2012, 112, 289–320. [Google Scholar] [CrossRef] [PubMed]
- Jones, R.O. Density functional theory: Its origins, rise to prominence, and future. Rev. Mod. Phys. 2015, 87, 897–923. [Google Scholar] [CrossRef]
- Weiss, U. Quantum Dissipative Systems; World Scientific: Singapore, Singapore, 2008. [Google Scholar]
- Gisin, N. A simple nonlinear dissipative quatum evolution equation. J. Phys. A 1980, 14, 2259–2267. [Google Scholar] [CrossRef]
- Schuch, D. Nonunitary connection between explicitly time-dependent and nonlinear approaches for the description of dissipative quantum systems. Phys. Rev. A 1997, 55, 935. [Google Scholar] [CrossRef]
- Blum, K. Density Matrix Theory and Applications; Springer: Berlin/Heidelberg, Germany, 2012. [Google Scholar]
- Carmichael, H. An Open Systems Approach to Quantum Optics; Springer: Berlin/Heidelberg, Germany, 1991. [Google Scholar]
- Hatsopoulos, G.N.; Gyftopoulos, E.P. A Unified Quantum Theory of Mechanics and Thermodynamics. Part I. Postulates. Found. Phys. 1976, 6, 15–31. [Google Scholar] [CrossRef]
- Hatsopoulos, G.N.; Gyftopoulos, E.P. A Unified Quantum Theory of Mechanics and Thermodynamics. Part IIa. Available Energy. Found. Phys. 1976, 6, 127–141. [Google Scholar] [CrossRef]
- Hatsopoulos, G.N.; Gyftopoulos, E.P. A Unified Quantum Theory of Mechanics and Thermodynamics. Part IIb. Stable Equilibrium States. Found. Phys. 1976, 6, 439–455. [Google Scholar] [CrossRef]
- Hatsopoulos, G.N.; Gyftopoulos, E.P. A Unified Quantum Theory of Mechanics and Thermodynamics. Part III. Irreducible Quantal Dispersions. Found. Phys. 1976, 6, 561–570. [Google Scholar] [CrossRef]
- Beretta, G.P. On the General Equation of Motion of Quantum Thermodynamics and the Distinction between Quantal and Nonquantal Uncertainties. Sc.D. Thesis, Massachusetts Institute of Technology, Cambridge, MA, USA, 1981. [Google Scholar]
- Beretta, G.P. What is Quantum Thermodynamics. Available online: http://quantum-thermodynamics.unibs.it/WebSite1.pdf (accessed on 6 May 2016).
- Younis, A.M. Modeling the Non-Equilibrium Phenomenon of Diffusion in Closed and Open Systems at an Atomistic Level Using Steepest-Entropy-Ascent Quantum Thermodynamics. Ph.D. Thesis, Virginia Polytechnic Institute and State University, Blacksburg, VA, USA, 2015. [Google Scholar]
- Leibfried, D.; Blatt, R.; Monroe, C.; Wineland, D. Quantum dynamics of single trapped ions. Rev. Mod. Phys. 2003, 75, 281–324. [Google Scholar] [CrossRef]
- Turchette, Q.A.; Myatt, C.J.; King, B.E.; Sackett, C.A.; Kielpinski, D.; Itano, W.M.; Monroe, C.; Wineland, D.J. Decoherence and Decay of Motional Quantum States of a Trapped Atom Coupled to Engineered Reservoirs. Phys. Rev. A 2000, 62, 053807. [Google Scholar] [CrossRef]
- Gring, M.; Kuhner, T.M.; Langen, T.; Kitagawa, T.; Rauer, B.; Schreitl, M.; Maxets, I.; Smith, D.A.; Demler, E.; Schmiedmayer, J. Relaxation and prethermalization in an isolated quantum system. Science 2012, 337, 1318–1322. [Google Scholar] [CrossRef] [PubMed]
- Pefinova, V.; Luks, A. Exact quantum statistics of a nonlinear dissipative oscillator evolving from an arbitrary state. Phys. Rev. A 1990, 41, 414. [Google Scholar] [CrossRef]
- Kim, M.S.; Buzek, V. Schrödinger-cat states at finite temperature: Influence of a finite-temperature heat bath on quantum interferences. Phys. Rev. A 1992, 46, 4239. [Google Scholar] [CrossRef] [PubMed]
- Kreuzer, H.J. Nonequilibrium Thermodynamics and Its Statistical Foundations; Oxford University Press: Oxford, UK, 1981. [Google Scholar]
- Beretta, G.P. Maximum Entropy Production Rate in Quantum Thermodynamics. J. Phys. Conf. Ser. 2010, 237, 012022. [Google Scholar] [CrossRef]
- Beretta, G.P. A theorem on Lyapunov stability for dynamical systems and a conjecture on a property of entropy. J. Math. Phys. 1986, 27, 305. [Google Scholar] [CrossRef]
- Beretta, G.P. Steepest-Entropy-Ascent Irreversible Relaxation Towards Thermodynamic Equilibrium: The Dynamical Ansatz that Completes the Gyftopoulos-Hatsopoulos Unified Theory with a General Quantal Law of Causal Evolution. Int. J. Thermodyn. 2006, 9, 117–128. [Google Scholar]
- Beretta, G.P. Nonlinear Model Dynamics for Closed-System, Constrained, Maximal-Entropy-Generation Relaxation by Energy Redistribution. Phys. Rev. E 2006, 73, 026113. [Google Scholar] [CrossRef] [PubMed]
- Li, G.; Al-Abbasi, O.; von Spakovsky, M.R. Atomistic-level non-equilibrium model for chemically reactive systems based on steepest entropy-ascent quantum thermodynamics. J. Phys. Conf. Ser. 2014, 538, 012013. [Google Scholar] [CrossRef]
- Cano-Andrade, S.; Beretta, G.P.; von Spakovsky, M.R. Steepest-entropy-ascent quantum thermodynamic modeling of decoherence in two different microscopic composite systems. Phys. Rev. A 2015, 91, 013848. [Google Scholar] [CrossRef]
- Hsiang, J.T.; Hu, B.L. Nonequilibrium steady state in open quantum systems: influence action, stochastic equation and power balance. 2014. [Google Scholar]
- Smith, C.E. Intrinsic Quantum Thermodynamics: Application to Hydrogen Storage on a Carbon Nanotube and Theoretical Consideration of Non-Work Interactions. Ph.D. Thesis, Virginia Polytechnic Institute and State University, Blacksburg, VA, USA, 2012. [Google Scholar]
- Nagel, M.; Haworth, F.E. Advanced Laboratory Experiments on Optical Pumping of Rubidium Atoms—Part II: Free Precession. Am. J. Phys. 1966, 34, 559. [Google Scholar] [CrossRef]
- Kukolich, S.G. Time Dependence of Quantum-State Amplitudes Demonstrated by Free Precession of Spins. Am. J. Phys. 1968, 36, 420. [Google Scholar] [CrossRef]
- Balabas, M.V.; Karaulanov, T.; Ledbetter, M.P.; Budker, D. Polarized Alkali Vapor with Minute-Long Transverse Spin-Relaxation Time. Phys. Rev. Lett. 2010, 105, 070801. [Google Scholar] [CrossRef] [PubMed]
- Bollinger, J.J.; Heinzen, D.J.; Itano, W.M.; Gilbert, S.L.; Wineland, D.J. A 303-MHz frequency standard based on trapped Be/sup +/ ions. IEEE Trans. Instrum. Meas. 1991, 40, 126–128. [Google Scholar] [CrossRef]
- Hatsopoulos, G.N.; Keenan, J.H. Principles of General Thermodynamics; Wiley: New York, NY, USA, 1965. [Google Scholar]
- Gyftopoulos, E.P.; Beretta, G.P. Thermodynamics, Foundations and Applications; Dover: Mineola, NY, USA, 1991. [Google Scholar]











| Initial State | (= 1/γ) | (No Spontaneous) | ||
|---|---|---|---|---|
| |0> | 2.1 | 0.40 | 0.40 | 0.60 | 
| |1> | 3.0 | 0.50 | 0.40 | 0.32 | 
| |2> | 3.1 | 0.55 | 0.45 | 0.25 | 
| |3> | 3.7 | 0.65 | 0.45 | 0.26 | 
© 2016 by the author; licensee MDPI, Basel, Switzerland. This article is an open access article distributed under the terms and conditions of the Creative Commons Attribution (CC-BY) license (http://creativecommons.org/licenses/by/4.0/).
Share and Cite
Smith, C.E. Comparing the Models of Steepest Entropy Ascent Quantum Thermodynamics, Master Equation and the Difference Equation for a Simple Quantum System Interacting with Reservoirs. Entropy 2016, 18, 176. https://doi.org/10.3390/e18050176
Smith CE. Comparing the Models of Steepest Entropy Ascent Quantum Thermodynamics, Master Equation and the Difference Equation for a Simple Quantum System Interacting with Reservoirs. Entropy. 2016; 18(5):176. https://doi.org/10.3390/e18050176
Chicago/Turabian StyleSmith, Charles E. 2016. "Comparing the Models of Steepest Entropy Ascent Quantum Thermodynamics, Master Equation and the Difference Equation for a Simple Quantum System Interacting with Reservoirs" Entropy 18, no. 5: 176. https://doi.org/10.3390/e18050176
APA StyleSmith, C. E. (2016). Comparing the Models of Steepest Entropy Ascent Quantum Thermodynamics, Master Equation and the Difference Equation for a Simple Quantum System Interacting with Reservoirs. Entropy, 18(5), 176. https://doi.org/10.3390/e18050176
 
         
                                                
 
       