Numerical Simulation of Williamson Combined Natural and Forced Convective Fluid Flow between Parallel Vertical Walls with Slip Effects and Radiative Heat Transfer in a Porous Medium
Abstract
:1. Introduction
2. Materials and Methods
3. Results and Discussion
4. Conclusions
- (1)
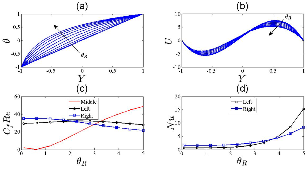
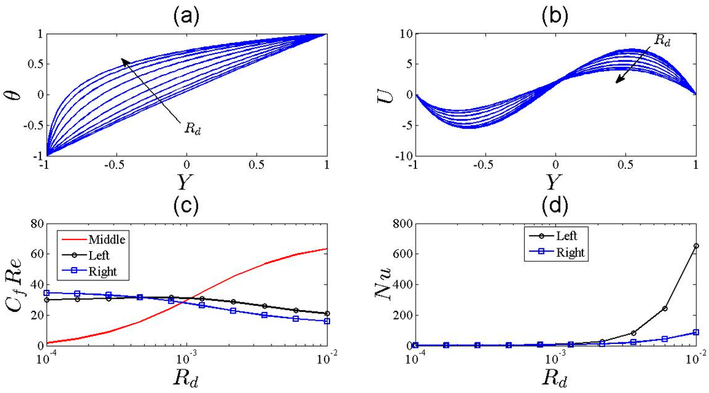
- Temperature increases with increasing Rd and θR. As the radiation parameter increases the capacity of absorption of thermal radiation increases which causes higher temperatures. As well the higher temperature parameter means a higher level of temperature of the system and an increase of radiation heat emitting sources.
- (2)
- The heat transfer between the two boundaries of the channel is not simply due to pure conduction and the thermal radiation and mixed convection in a channel filled with a fluid-saturated porous medium has a great impact on heat exchange mechanisms.
- (3)
- Dimensionless coefficients suitable for the evaluation of the dimensionless mean velocity, of the dimensionless bulk temperature and of the Nusselt numbers have been presented.
- (4)
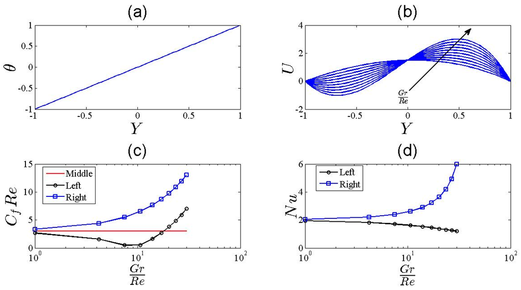
- Natural convection helps the fluid flow. As well the increase of temperature through the channel helps natural convection. However the existence of a porous solid matrix increases the pressure loss inside the channel. Since the pressure gradient decreases with increasing Gr/Re; Rd and θR while it increases with an increase of Da.
- (5)
- The coefficient of skin friction increases as Rd and θR increase while it decreases with an increase of Gr/Re. The skin friction coefficient and mass transfer rates decrease with an increase in Rd whereas heat transfer rate increases with an increase in the parameter Rd.
- (6)
- Coefficient of skin friction and Nusselt number increase with an increase of Rd and θR while they decrease with the mixed convection parameter.
- (7)
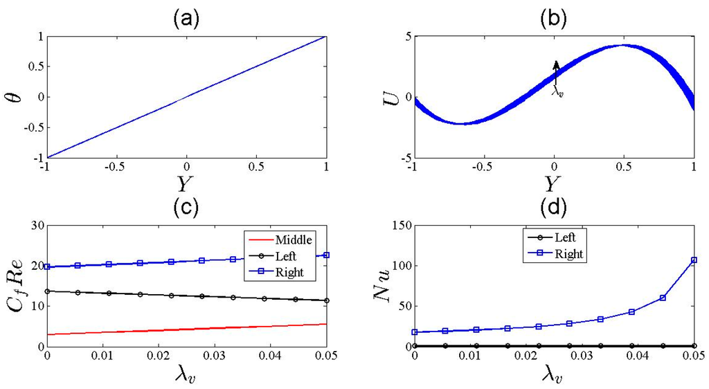
- Grashof number, velocity slip, and pressure gradient increase skin friction and the Nusselt number, whereas temperature jump and Reynolds number reduce their values.
- (8)
- The shape of velocity profiles is different when Gr/Re changes. By increasing Gr/Re it alternates from a parabola to a sine shape profile.
- (9)
- The wall friction and Nusselt numbers may vary monotonically or non-monotonically with Rd and θR, again depending on the values of the other parameters.
Author Contributions
Conflicts of Interest
Nomenclature
| Symbol | Description | Unit |
| Cp | specific heat capacity | J/(kg·K) |
| Da | Darcy number = | |
| g | acceleration due to gravity | m/s2 |
| Gr | Grashof number = | |
| h | heat transfer coefficient | W/(m2·K) |
| k | thermal conductivity | W/(m·K) |
| K | permeability of solid matrix | m2 |
| l | slip length | m |
| L | half of gap length | m |
| Nu | Nusselt Number = 2Lh/k | |
| p | pressure | Pa |
| P | dimensionless pressure = | |
| Pr | Prandtl number = υ/α | |
| Rd | the radiation parameter | |
| Re | Reynolds number = | |
| S | entropy | J/K |
| T | temperature | K |
| Tref | reference temperature = (TL + TR)/2 | K |
| u | fluid vertical velocity | m/s |
| U | dimensionless fluid vertical velocit y = u/um | |
| We | Weissenberg number = | |
| x, y | Cartesian coordinates | m |
| X, Y | dimensionless Cartesian coordinates = x/L; y/L | |
| Greek symbols | ||
| α | thermal diffusivity | m2/s |
| β | volumetric coefficient of thermal expansion | 1/K |
| χ | mean absorption coefficient of the medium | m−1 |
| σ | Stefan–Boltzmann constant | W/(m2·K4) |
| μ | dynamic viscosity | kg/(m·s) |
| υ | kinematic viscosity | m2/s |
| ρ | fluid density | kg/m3 |
| Γ | stress relaxation time of the fluid | s |
| θ | dimensionless temperature = | |
| θR | temperature parameter | |
| Superscript | ||
| 0 | reference | |
| L | Left wall | |
| m | average | |
| max | maximum | |
| min | minimum | |
| R | Right wall | |
| t | temperature | |
| v | velocity |
References
- Tao, L.N. On Combined Free and Forced Convection in Channels. J. Heat Transf. 1960, 82, 233–238. [Google Scholar] [CrossRef]
- Beckett, P.M. Combined Natural- and Forced-Convection between Parallel Vertical Walls. SIAM J. Appl. Math. 1980, 39, 372–384. [Google Scholar] [CrossRef]
- Aung, W.; Worku, G. Theory of Fully Developed, Combined Convection Including Flow Reversal. J. Heat Transf. 1986, 108, 485–488. [Google Scholar] [CrossRef]
- Lavine, A.S. Analysis of Fully Developed Opposing Mixed Convection between Inclined Parallel Plates. Heat Mass Transf. 1988, 23, 249–257. [Google Scholar] [CrossRef]
- Cheng, C.H.; Kou, H.S.; Huang, W.H. Flow Reversal and Heat Transfer of Fully Developed Mixed Convection in Vertical Channels. J. Thermophys. Heat Transf. 1990, 4, 375–383. [Google Scholar] [CrossRef]
- Hamadah, T.T.; Wirtz, R.A. Analysis of Laminar Fully Developed Mixed Convection in a Vertical Channel with Opposing Buoyancy. J. Heat Transf. 1991, 113, 507–510. [Google Scholar] [CrossRef]
- Chauhan, D.S.; Kumar, V. Radiation effects on mixed convection flow and viscous heating in a vertical channel partially filled with a porous medium. Tamkang J. Sci. Eng. 2011, 14, 97–106. [Google Scholar]
- Abdollahzadeh Jamalabadi, M.Y. Effects of Micro and Macro Scale Viscous Dissipations with Heat Generation and Local Thermal Non-Equilibrium on Thermal Developing Forced Convection in Saturated Porous Media. J. Porous Media 2015, 18, 843–860. [Google Scholar] [CrossRef]
- Liu, D.; Garimella, S.V. Investigation of liquid flow in microchannels. AIAA J. Thermo. Phys. Heat Transf. 2004, 18, 65–72. [Google Scholar] [CrossRef]
- Makhmalbaf, M.H.M. Experimental study on convective heat transfer coefficient around a vertical hexagonal rod bundle. Heat Mass Transf. 2012, 48, 1023–1029. [Google Scholar] [CrossRef]
- Makhmalbaf, M.; Liu, T.; Merati, P. Experimental Simulation of Buoyancy-Driven Vortical Flow in Jupiter Great Red Spot. In Proceedings of the 68th Annual Meeting of the APS Division of Fluid Dynamics, Boston, MA, USA, 22–24 November 2015.
- Forman, J.L.; Joodaki, H.; Forghani, A.; Riley, P.; Bollapragada, V.; Lessley, D.; Overby, B.; Heltzel, S.; Crandall, J. Biofidelity Corridors for Whole-Body Pedestrian Impact with a Generic Buck. IRCOBI Conf. 2015, 49, 356–372. [Google Scholar]
- Abdollahzadeh Jamalabadi, M.Y. Effect of fuel inject angle on non-premixed combustion of air/methane mixturesin in vertical cylinder. Int. J. Multidiscip. Res. Dev. 2015, 1, 1–4. [Google Scholar]
- Kandlikar, S.G.; Schmit, D.; Carrano, A.L.; Taylor, J.B. Characterization of surface roughness effects on pressure drop in microchannels. Phys. Fluids 2005, 10, 100606. [Google Scholar] [CrossRef]
- Umavathia, J.C.; Sheremet, M.A. Mixed convection flow of an electrically conducting fluid in a vertical channel using Robin boundary conditions with heat source/sink. Eur. J. Mech. B/Fluids 2016, 55, 132–145. [Google Scholar] [CrossRef]
- Zehra, I.; Yousaf, M.M.; Nadeem, S. Numerical Solutions of Williamson Fluid with Pressure Dependent Viscosity. Results Phys. 2015, 5, 20–25. [Google Scholar] [CrossRef]
- Singh, K.D. MHD mixed convection visco-elastic slip flow through a porous medium in a vertical porous channel with thermal radiation. Kragujev. J. Sci. 2013, 35, 27–40. [Google Scholar]
- Abdollahzadeh Jamalabadi, M.Y.; Park, J.H. Thermal radiation, joule heating, and viscous dissipation effects on mhd forced convection flow with uniform surface temperature. Open J. Fluid Dyn. 2014, 2, 125–132. [Google Scholar] [CrossRef]
- Abdollahzadeh Jamalabadi, M.Y. Analytical Study of Magnetohydrodynamic Propulsion Stability. J. Mar. Sci. Appl. 2014, 3, 281–290. [Google Scholar] [CrossRef]
- Shahidian, A.; Ghassemi, M.; Khorasanizade, S.; Abdollahzade, M.; Ahmadi, G. Flow Analysis of Non-Newtonian Blood in a Magnetohydrodynamic Pump. IEEE Trans. Magn. 2009, 6, 2667–2670. [Google Scholar] [CrossRef]
- Takagi, D.; Huppert, H.E. Viscous gravity currents inside confining channels and fractures. Phys. Fluids 2008, 20. [Google Scholar] [CrossRef]
- Longo, S.; di Federico, V.; Chiapponi, L. Propagation of viscous gravity currents inside confining boundaries: The effects of fluid rheology and channel geometry. Proc. R. Soc. Lond. A Math. Phys. Eng. Sci. 2015, 471. [Google Scholar] [CrossRef]
- Gerami, A.; Allaire, P.; Fittro, R. Control of Magnetic Bearing with Material Saturation Nonlinearity. J. Dyn. Syst. Meas. Control 2015, 137, 061002. [Google Scholar] [CrossRef]
- Gerami, A.; Allaire, P.; Fittro, R. Nonlinear Modeling and Control of a Magnetic Bearing with Material Saturation. In Proceedings of the 14th International Conference on Magnetic Bearings, Linz, Austria, 11–14 August 2014.
- Dousti, S.; Dimond, T.W.; Allaire, P.E.; Wood, H.E. Time Transient Analysis of Horizontal Rigid Rotor Supported with O-Ring Sealed Squeeze Film Damper. In Proceedings of the ASME 2013 International Mechanical Engineering Congress and Exposition, San Diego, CA, USA, 15–21 November 2013.
- Dousti, S.; Gerami, A.; Dousti, M. A Numerical CFD Analysis on Supply Groove Effects in High Pressure, Open End Squeeze Film Dampers. Int. J. Eng. Innov. Res. 2016, 1, 80–89. [Google Scholar]
- Asfer, M.; Panigrahi, P.K. Boundary Slip of Liquids. In Encyclopedia of Microfluidics and Nanofluidics; Springer-Verlag US: New York, NY, USA, 2015; pp. 193–202. [Google Scholar]
- Karniadakis, G.; Beskok, A.; Aluru, N. Governing Equations and Slip Models, Microflows and Nanoflows. Fundam. Simul. 2005, 29, 51–77. [Google Scholar]
- Ulmanella, U.; Ho, C.M. Molecular effects on boundary condition in micro/nanoliquid flows. Phys. Fluids 2008, 20, 1–9. [Google Scholar] [CrossRef] [PubMed]
- Bocquet, L.; Barrat, J.-L. Flow Boundary Conditions from Nano- to Micro-Scales. Soft Matter 2007, 3, 685–693. [Google Scholar] [CrossRef]
- Karniadakis, G.; Beskok, A.; Aluru, N. Microflows and Nanoflows: Fundamentals and Simulation; Springer: New York, NY, USA, 2005. [Google Scholar]
- Jha, B.K.; Aina, B.; Isa, S. Fully developed MHD natural convection flow in a vertical annular microchannel: An exact solution. J. King Saud Univ. Sci. 2015, 27, 253–259. [Google Scholar] [CrossRef]
- Williamson, R.V. The Flow of Pseudoplastic Materials. Ind. Eng. Chem. 1929, 21, 1108–1111. [Google Scholar] [CrossRef]
- Longo, S.; di Federico, V.; Chiapponi, L. Non-Newtonian Power-Law Gravity Currents Propagating in Confining Boundaries. Environ. Fluid Mech. 2015, 15, 515–535. [Google Scholar] [CrossRef]
- Takagi, D.; Huppert, H.E. Initial advance of long lava flows in open channels. J. Volcanol. Geotherm. Res. 2010, 195, 121–126. [Google Scholar] [CrossRef]
- King, S.E.; Woods, A.W. Dipole solutions for viscous gravity currents: Theory and experiments. J. Fluid Mech. 2003, 483, 91–109. [Google Scholar] [CrossRef]
- Longo, S.; di Federico, V.; Chiapponi, L. A dipole solution for power-law gravity currents in porous formations. J. Fluid Mech. 2015, 778, 534–551. [Google Scholar] [CrossRef]
- Zheng, Z.; Soh, B.; Huppert, H.E.; Stone, H.A. Fluid drainage from the edge of a porous reservoir. J. Fluid Mech. 2013, 718, 558–568. [Google Scholar] [CrossRef]
- Bejan, A. Second-law analysis in heat transfer and thermal design. Adv. Heat Transf. 1982, 15, 1–58. [Google Scholar] [CrossRef]
- Bejan, A. Entropy Generation Minimization; CRC: Boca Raton, FL, USA, 1996. [Google Scholar]









© 2016 by the authors; licensee MDPI, Basel, Switzerland. This article is an open access article distributed under the terms and conditions of the Creative Commons Attribution (CC-BY) license (http://creativecommons.org/licenses/by/4.0/).
Share and Cite
Abdollahzadeh Jamalabadi, M.Y.; Hooshmand, P.; Bagheri, N.; KhakRah, H.; Dousti, M. Numerical Simulation of Williamson Combined Natural and Forced Convective Fluid Flow between Parallel Vertical Walls with Slip Effects and Radiative Heat Transfer in a Porous Medium. Entropy 2016, 18, 147. https://doi.org/10.3390/e18040147
Abdollahzadeh Jamalabadi MY, Hooshmand P, Bagheri N, KhakRah H, Dousti M. Numerical Simulation of Williamson Combined Natural and Forced Convective Fluid Flow between Parallel Vertical Walls with Slip Effects and Radiative Heat Transfer in a Porous Medium. Entropy. 2016; 18(4):147. https://doi.org/10.3390/e18040147
Chicago/Turabian StyleAbdollahzadeh Jamalabadi, Mohammad Yaghoub, Payam Hooshmand, Navid Bagheri, HamidReza KhakRah, and Majid Dousti. 2016. "Numerical Simulation of Williamson Combined Natural and Forced Convective Fluid Flow between Parallel Vertical Walls with Slip Effects and Radiative Heat Transfer in a Porous Medium" Entropy 18, no. 4: 147. https://doi.org/10.3390/e18040147
APA StyleAbdollahzadeh Jamalabadi, M. Y., Hooshmand, P., Bagheri, N., KhakRah, H., & Dousti, M. (2016). Numerical Simulation of Williamson Combined Natural and Forced Convective Fluid Flow between Parallel Vertical Walls with Slip Effects and Radiative Heat Transfer in a Porous Medium. Entropy, 18(4), 147. https://doi.org/10.3390/e18040147

