Next Article in Journal
Generalized Thermodynamic Optimization for Iron and Steel Production Processes: Theoretical Exploration and Application Cases
Previous Article in Journal
Influence of the Aqueous Environment on Protein Structure—A Plausible Hypothesis Concerning the Mechanism of Amyloidogenesis
 
 
Font Type:
Arial Georgia Verdana
Font Size:
Aa Aa Aa
Line Spacing:
Column Width:
Background:
Article

A Langevin Canonical Approach to the Study of Quantum Stochastic Resonance in Chiral Molecules

by
Germán Rojas-Lorenzo
1,
Helen Clara Peñate-Rodríguez
1,
Anais Dorta-Urra
2,
Pedro Bargueño
3 and
Salvador Miret-Artés
4,*
1
Instituto Superior de Tecnologías y Ciencias Aplicadas, Ave. Salvador Allende y Luaces, Quinta de Los Molinos, Plaza La Habana 10600, Cuba
2
Departamento de Física, Facultad de Ciencias Básicas y Aplicadas, Universidad Militar Nueva Granada, Bogotá 110111, Colombia
3
Departamento de Física, Universidad de los Andes, Bogotá 111711, Colombia
4
Instituto de Física Fundamental (CSIC), Serrano 123, Madrid 28006, Spain
*
Author to whom correspondence should be addressed.
Entropy 2016, 18(10), 354; https://doi.org/10.3390/e18100354
Submission received: 22 July 2016 / Revised: 21 September 2016 / Accepted: 26 September 2016 / Published: 29 September 2016
(This article belongs to the Section Statistical Physics)

Abstract

:
A Langevin canonical framework for a chiral two-level system coupled to a bath of harmonic oscillators is used within a coupling scheme different from the well-known spin-boson model to study the quantum stochastic resonance for chiral molecules. This process refers to the amplification of the response to an external periodic signal at a certain value of the noise strength, being a cooperative effect of friction, noise, and periodic driving occurring in a bistable system. Furthermore, from this stochastic dynamics within the Markovian regime and Ohmic friction, the competing process between tunneling and the parity violating energy difference present in this type of chiral systems plays a fundamental role. This mechanism is finally proposed to observe the so-far elusive parity-violating energy difference in chiral molecules.

1. Introduction

Open quantum systems is currently a very active field of research due to the fact that the interaction with the environment can hardly be ignored in many physical, chemical, and biological processes [1,2,3]. One of the most standard ways of analyzing the corresponding dynamics is by considering the system of interest and the environment as forming a whole closed system (the Universe). The so-called Caldeira–Leggett Hamiltonian [4] is a very illustrative and convenient starting point for an open dynamics. When tracing out the degrees of freedom of the environment in that dynamics, the resulting equations of motion for the system (in the Heisenberg picture of quantum mechanics) lead to some sort of coupled equations, one of them being a generalized Langevin equation. The presence of environmental fluctuations makes the system dynamical variables behave like stochastic processes. The generalized Langevin equation is transformed into a standard one when Ohmic (constant) friction is assumed.
An alternative approach can also be analyzed in terms of nonlinear quantum equations. One of them it is the well known logarithmic nonlinear Schrödinger equation proposed for an open dynamics due to Kostin [5]; in particular, for the Brownian motion (linear dissipation). This equation is known as the Schrödinger–Langevin, or Kostin, equation. Recently, an application of this equation to the harmonic oscillator under the presence of thermal fluctuations (white and colored) has been reported [6]. A generalized equation for nonlinear dissipation has also been proposed [7,8]. As pointed out by Schuch, Chung, and Hartmann [9], this equation does not give the correct reduced frequency of the dissipative harmonic oscillator. Their proposed equation—also reported by Nassar [10] and Nassar and Miret-Artés [11] in a different context, the continuous quantum measurement—tries to avoid this inconvenience. Beretta also used the new proposal within the formalism of density matrix in his version of quantum thermodynamics [12].
On the other hand, the description of many phenomena in terms of a two-level system (TLS) can also be found in the same fields of research mentioned before [13], going from chiral molecules, electron transfer reactions, high energy physics, quantum optics, and computation to biological homochirality. Concerning molecular chirality, the pioneering work of Harris and Stodolsky [14] considered the effect of parity violation on the tunneling dynamics of chiral molecules, relating it to their optical activity (see also [15]). Based on this approach, the so-called parity violating energy difference (PVED) is considered to be one of the possible origins of molecular homochirality, referring to the almost exclusive one-handedness of chiral molecules found in living systems (D-sugars and L-amino acids). This is one of the fundamental problems of science which still remains unsolved [16]. Thus, chiral molecules could be used as a test for parity violating interactions, since inconclusive results for electroweak parity violation would allow us to put some stringent bounds on parity-violating interactions different from the electroweak one. In particular, in the light of the recent advances in molecular PVEDs, some spin-dependent gravitational theories can be devised and studied [17,18].
In a series of papers [19,20,21,22], the authors have studied a chiral TLS in the presence of an environment (harmonic bath) leading to a more realistic analysis of chiral dynamics. The TLS is modeled by a two-well (asymmetric) potential within the Born–Oppenheimer approximation. A canonical formalism has been proposed where populations and coherences (by means of phase differences) are seen as stochastic processes, both of them being related to their optical properties. The time evolution of the non-isolated chiral TLS has provided information about coherent and incoherent tunneling. This theoretical analysis has also allowed us to successfully reproduce some thermodynamical properties of these systems from a stochastic dynamics. In general, there are several routes to reach thermodynamical properties such as partition functions, thermal averages, heat capacity, entropy, etc. Very likely, the most popular one is that based on the thermodynamic method coming from the path–integral formalism. An extensive account of this formalism can be found in Weiss’s book [1]. However, numerical instability problems from the analytic continuation of certain functions lead to some drawbacks. As an alternative way to avoid such problems, the computation of thermodynamic functions from a stochastic dynamics is carried out here, presenting some advantages. Thus, canonical thermal averages are then calculated when carrying out dynamical calculations for different bias or asymmetry. Analogously, one can also obtain the main equilibrium thermodynamics properties of the non-isolated TLS from the stochastic dynamics at asymptotic times (if the dynamics is ergodic) for a given bias and different temperatures. Furthermore, it is worth stressing that the thermodynamic functions are independent of the friction coefficient in the weak coupling limit. Therefore, our thermodynamic average values coming from solving the corresponding stochastic dynamics are independent of the friction coefficient as time goes to infinity; that is, when the thermal equilibrium with the bath is reached. In the strong coupling limit, this fact no longer holds [23]. A dynamical viewpoint has also been proposed within the density matrix formalism [24].
As a new extension of our work, the so-called quantum stochastic resonance (QSR) [25] provides a natural scenario to apply our canonical formalism. Very briefly, this process refers to the amplification of the response to an external periodic signal at a certain value of the noise strength, being a cooperative effect of friction, noise and periodic driving occurring in a bistable system. Classically, the output signal is maximum when the thermal hopping rate is in resonance with the frequency of the driving force. However, the quantum counterpart of this process seems to reveal new features [26]. Time-dependent bias effects have been used to enhance the very elusive parity violation effects in previously mentioned molecules. In particular, a proposal to detect parity violation effects in diatomic molecules by DeMille et al. [27] is currently ongoing and seems to be very promising (see [28] and references therein). In addition, a very recent work by Harris and Walls [29] proposes the use of an AC electric field that is resonantly modulated at the Larmor frequency to enhance the chiral term effects which appear when an electric field is coupled to nuclear magnetic resonance effects in chiral molecules [30]. In this spirit, QSR would constitute a good playground where parity violating effects in chiral molecules could be tested. In a previous work [31] within the linear response regime, we have shown that an external driving field that lowers and rises each of the minima of the well alternatively, a QSR signal should be observed only in the case that the PVED is different from zero, the resonance condition being independent of tunneling between the two enantiomers.
In this work, we mainly focus on the observation of QSR in chiral molecules within the previously developed canonical formalism. From this simple analysis, some important consequences on the possible detection of the PVED between chiral molecules are directly deduced. The manuscript is organized as follows. In Section 2, the dynamical theory of quantum thermodynamics previously developed by the authors is briefly summarized. Section 3 deals with the quantum stochastic resonance to be applied to chiral molecules. This section presents the main quantities of interest for the study of this singular resonance mechanism. In Section 4, these quantities are evaluated by numerically solving the coupled differential equations issued from this canonical formalism, with special emphasis on the signals of parity violation between enantiomers. Finally, some concluding remarks are found in Section 5.

2. A Canonical Formalism for Chiral Two-Level Systems

2.1. Isolated (Closed) Dynamics

The isolated TLS can be described by a Hamiltonian of the form H ^ = δ σ ^ x + ϵ σ ^ z , where σ ^ x , z are the Pauli matrices. This simple Hamiltonian serves as an appropriate model for describing the asymmetric double well potential within the Born–Oppenheimer approximation. As is well known, a study of this system can be performed using either the parity eigenstates | 1 and | 2 , or the chiral eigenstates | L and | R . These bases are related by a rotation through the θ angle given by tan 2 θ = δ / ϵ , δ being the tunneling rate and 2 ϵ the energy difference between chiral states [14,15] (note that ϵ can be positive or negative). This asymmetry is valid for a chiral system or any other bias term.
If the wave function is written as a linear combination of the chiral states, a useful representation of the isolated TLS can be obtained by using the polar form of the complex amplitudes [32,33]. It can then be showed that the population and phase differences between chiral states, defined as
z ( t ) | a R ( t ) | 2 | a L ( t ) | 2 and , Φ ( t ) Φ R ( t ) Φ L ( t ) ,
can be seen as a pair of canonically conjugate variables. The average energy in the normalized | Ψ ( t ) state is given by Ψ | H ^ | Ψ = 2 δ 1 z 2 cos Φ + 2 ϵ z H 0 , where H 0 represents a Hamiltonian function. Furthermore, the Heisenberg equations of motion can be easily derived from z ˙ = H 0 / Φ and Φ ˙ = H 0 / z , leading to the following non-linear coupled equations for an isolated chiral TLS [19,20,21,22]:
z ˙ = 2 δ 1 z 2 sin Φ Φ ˙ = 2 δ z 1 z 2 cos Φ + 2 ϵ ,
which are equivalent to the usual time-dependent Schrödinger equation ( = 1 ). Under the re-scaling, t 2 δ t , the Hamiltonian function H 0 can be expressed again as
H 0 = 1 z 2 cos Φ + ϵ δ z ,
where the two terms of Equation (2) represent the tunneling process and the underlying asymmetry (due to a bias or the PVED between enantiomers), respectively. This equation clearly shows the two competing processes in this dynamics. It is important to note that the ratio ϵ / δ gives us an indication of the importance of each contribution.

2.2. Stochastic (Open) Dynamics

The time behavior of an isolated chiral TLS can be understood by solving the coupled equations given by Equation (1) in terms of populations and coherences. In a system consisting of a high number of degrees of freedom due to the presence of a thermal bath, more sophisticated theoretical approaches are needed. Among the plethora of formalisms incorporating the interaction with the environment [1,2], the canonical formalism issued from a Caldeira–Leggett-like Hamiltonian [13] will be used (with a bilinear coupling between the TLS and the environment). Within the Markovian regime, the corresponding dynamics is given by the following coupled differential equations [19,20]:
z ˙ = 1 z 2 sin Φ γ Φ ˙ ( t ) + ξ ( t ) Φ ˙ = z 1 z 2 cos Φ + ϵ δ ,
where ξ ( t ) stands for the fluctuation force, which is assumed to be a Gaussian white noise with ξ ( t ) β = 0 (zero average) and ξ ( 0 ) ξ ( t ) β = m k B T γ δ ( t ) (delta-correlated). As usual, β = ( k B T ) 1 , k B being Boltzmann’s constant. The friction term is then described by γ ( t ) = 2 γ δ ( t ) , where γ is a constant and δ ( t ) is Dirac’s δ–function (not to be confused with the tunneling matrix element). The corresponding solutions of Equation (3) provide stochastic trajectories for the population, z, and phase differences, Φ, encoding all the information on the dynamics of the non-isolated chiral TLS. Let us note that the solutions depend on the four-dimensional parameter space: ϵ, δ, γ and T, apart from the initial conditions z ( 0 ) = z 0 and Φ ( 0 ) = Φ 0 .
In previous works, we have applied this formalism to study the dissipative and stochastic dynamics of chiral systems by analyzing the population difference and coherences [19,21], thermal averages and heat capacity [22], the geometric phase [33], as well as the decoherence process [20]. The obtained thermodynamical results agree very well with the standard results issued from a previous work devoted to the study of the thermodynamics of an ensemble of non-interacting chiral molecules [34], which was carried out with an alternative methodology.
In the following section, the present formalism will be employed to study the quantum stochastic resonance in chiral molecules with emphasis on possible effects on the PVED between enantiomers.

3. Quantum Stochastic Resonance for an Open Chiral Two Level System

Although we have assumed so far that both δ and ϵ are time-independent variables, a richer dynamics is obtained when considering one of them (or both) time dependent. In order to simplify the discussion, only a time varying bias is going to be considered here. As previously mentioned, time-dependent bias effects have been proposed to enhance the very elusive parity violation effects in molecules [27,28,29]. When the driving field enters the dynamics by making the replacement
ϵ ϵ ˜ ( t ) = ϵ + ϵ 1 cos ( ω t ) ,
where ω and ϵ 1 are the corresponding frequency and amplitude of the driving field, the Hamiltonian function for the isolated TLS is modified according to
H ˜ 0 = 1 z 2 cos Φ + ϵ ˜ δ z ,
where the time dependence is now also in the bias term, modulating then the competing mechanism between the tunneling and the asymmetry of the TLS. The driving field proposed in Equation (4) describes the case of a monochromatic periodic bias modulation [1].
Within the Markovian regime, the corresponding stochastic dynamics is now given by the following coupled differential equations
z ˙ = 1 z 2 sin Φ γ Φ ˙ ( t ) + ξ ( t ) Φ ˙ = z 1 z 2 cos Φ + ϵ ˜ δ ,
which can be seen as a straightforward extension of Equation (3) to an external driving field. In the deep tunneling regime, the TLS approximation is particularly useful, and the quantity of interest is the so-called power spectrum [1]
S ( ν ) = C ¯ a s y ( τ ) e i ν τ d τ
where C ¯ a s y ( τ ) is the time-averaged steady-state (asymptotic) population autocorrelation function
C ¯ a s y ( τ ) lim τ ω 2 π R e 0 2 π / ω z ( t + τ ) z ( t ) d t ,
which can be expressed as
C ¯ a s y ( τ ) = m = | P m ( ω , ϵ 1 ) | 2 e i m ω τ
P m being the Fourier coefficients of the asymptotic population
lim t z ( t ) = z a s y ( t ) = m = P m ( ω , ϵ 1 ) e i m ω t .
Taking into account Equations (7) and (9), the power spectrum is expressed as
S ( ν ) = 2 π m = | P m ( ω , ϵ 1 ) | 2 δ ( ν m ω ) = ( ϵ 1 ) 2 2 m = η m ( ω , ϵ 1 ) δ ( ν m ω ) ,
where η m are known as the power amplitudes
η m ( ω , ϵ 1 ) = 4 π | P m ( ω , ϵ 1 ) / ϵ 1 | 2 ,
which correspond to the different harmonics of the driving frequency. This is the way to observe the QSR. Classically, the stochastic resonance is maximal for the symmetric system ( ϵ = 0 ) whereas, in the deep quantum regime, the QSR is only effective for the asymmetric system or static bias [1]. Moreover, at low temperatures (coherent regime), the QSR occurs when the frequency of the driving force is near to fractional values of the static bias ( ω = ϵ / n , with n = 1 , 2 , 3 , . . . ). At these values, the amplitude of the fundamental frequency in the power spectrum is reinforced, and the coherent motion induced by the driving force is amplified [1]. Even more, when the amplitude of the driving force is smaller than the static bias, the power spectrum shows an amplification as a function of the temperature.
Furthermore, other magnitudes derived from the asymptotic behavior of the population also display the same behavior with time as, for instance, the internal energy U a s y and the specific heat C v a s y
U a s y ( t ) = m = U m ( ω , ϵ 1 ) e i m ω t ,
C v a s y ( t ) = m = C v , m ( ω , ϵ 1 ) e i m ω t ,
where C v , m = U m / T . In general, we have that
U m ( ω , ϵ 1 ) = Δ 2 ϵ P m ( ω , ϵ 1 )
and
C v , m ( ω , ϵ 1 ) = Δ 2 ϵ P m ( ω , ϵ 1 ) T ,
with Δ = δ 2 + ϵ 2 .
In the linear response regime, which is the appropriate regime to study the tiny P-odd effect predicted, only the first two contributions, m = 0 and m = ± 1 of z a s y ( t ) are important. Following the standard procedure [1], the zeroth-order contribution gives the population difference in thermal equilibrium without external driving field. The non-zero optical activity derived from this result is due to the PVED between enantiomers, ϵ. The second contribution given by P 1 is related by Kubo’s formula to the linear susceptibility of the system, χ ^ . Following the standard procedure [1], assuming small friction and the restrictions ω β 1 , ϵ 1 β 1 , and ϵ 1 < ϵ , this contribution of the response of our system to the external amplitude ϵ 1 is expressed as [31]
P 1 ( ω , ϵ 1 ) = ϵ 1 χ ^ ( ω ) = ϵ 1 4 λ 2 λ 2 + ω 2 f ( β , ϵ ) ,
where
f ( β , ϵ ) = β sech 2 β ϵ
and λ = π Δ 2 / ( 2 ω c ) , ω c being a cutoff frequency. As a function of the temperature, P 1 displays a maximum when
β ϵ tanh β ϵ = 1
leading to a critical temperature of
T q s r ϵ k B
which means that, due to the fact that the ϵ parameter is extremely small, the maximum lies in the ultracold regime and is also independent of the tunneling rate.

4. Results

In order to study the dynamics of the QSR, the coupled differential equations given by Equation (6) have to be solved. Units along this work are dimensionless. By doing this, we are considering a general dynamics where any chiral molecule can be represented. For example, if for a given chiral molecule δ = 10 4 meV, we set this value to be 1 after passing the tunneling rate to inverse of atomic units of time, 3.675 × 10 5 . In all the calculation, we have further assumed that δ ϵ in order to properly analyze the competition between tunneling and asymmetry or between delocalization and localization. For time integration, the time step used is optimized for an Ohmic friction of γ = 0.1 or 0.01 (dimensionless rate). When working on thermodynamic functions, reduced units have also been employed; that is, energies and temperatures are divided by Δ. As mentioned previously, at high temperatures, β 1 γ , thermal effects are going to be predominant over quantum effects which become relevant, in general, at times on the order of or less than the so-called thermal time, β (in atomic units). However, at very low temperatures, β 1 γ , the noise is usually colored and its auto-correlation function is complex, our approach being no longer valid. Here, a anonical (Maxwell–Boltzman) distribution is assumed, and only classical noise is considered since the ultracold regime is not going to be analyzed. On the other hand, the role of initial conditions has been extensively discussed in the literature (see, for example, [1,2]); for practical purposes, the chiral system will be prepared in one of its two states, left or right ( z 0 = 0.999 or 0.999 in order to avoid initial singularities, and very far from the equilibrium condition), and the initial phase difference Φ 0 will be uniformly distributed around the interval [ π , π ] . The stochastic trajectories issued then from solving Equation (6) are dependent on the five dimensional parameter space ( ϵ , ϵ 1 , δ , γ , T ) , apart from z 0 and Φ 0 . When running trajectories, there are some of them visiting nonphysical regions; that is, | z | > 1 . This drawback is mainly associated with the intensity of the noise, since for large values of it (which depends on both the temperature and the friction coefficient), the stochastic z-trajectories can become unbounded. To overcome this problem, we have implemented a reflecting boundary condition such that when the trajectory reaches z > 1 , we replace its value by 2 z (or when z < 1 , by 2 + z ). The number of such pathological trajectories is found to be very small, and over a very large number of trajectories, their weight is totally negligible.
The general strategy consists of solving the pair of non-linear coupled Equations (6) for the canonical variables under the action of a Gaussian white noise, which is implemented by using an Ermak-like approach [35,36]. Note that in the Langevin-like coupled equations to be solved, the noise term only appears in the equation of motion of the z-variable. The time step used is 10 2 (dimensionless units) for all the cases analyzed. For a given ϵ 1 , unstable trajectories can also be found for certain values of ϵ, δ, and γ in the simple case of dissipative (non-noisy) dynamics [19]. As this problem persists in case of dealing with stochastic trajectories, not every triplet ( ϵ , δ , γ ) gives place to a stable trajectory. In these cases, the time evolution of each individual trajectory is not possible, and a previous stability analysis is mandatory. However, in the stable case, a satisfactory description of population differences and coherences, average energies, and heat capacity have been achieved by running up to 10 4 trajectories (as previously used) [21,22]. The friction coefficient used is finally γ = 0.1 (dimensionless rate), and a canonical (Maxwell–Boltzmann) distribution is assumed, only classical noise being considered.
The numerical uncertainty when solving Equation (6) has been calculated to be O z ( d t 2 ) = 1.92 × 10 4 for z and O Φ ( d t 2 ) = 1.3 × 10 3 radians for Φ, where d t is the time step. From simple arguments, we have estimated that the error in z is d z = 0.097 . For other magnitudes, such as the heat capacity, we have that d C v = 0.022 (in our reduced units).
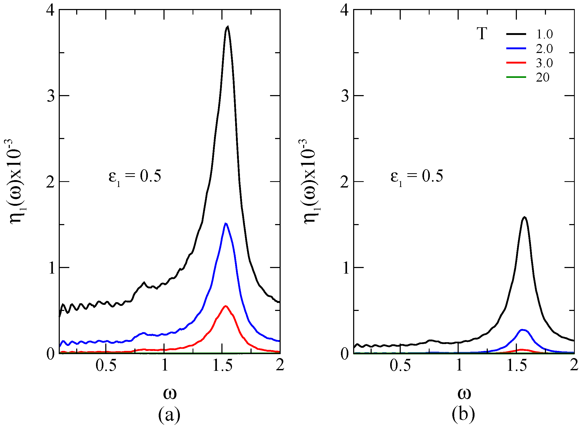
The QSR can be observed from the power amplitudes. In Figure 1, the power amplitude η 1 of the power spectrum as a function of the frequency of the external driving force (Figure 1a) and the temperature (Figure 1b) are plotted. The results are obtained for ϵ = 1.2 , δ = 1.0 , and γ = 0.1 . In Figure 1b, three different regimes are clearly displayed for a given driving frequency, as a function of the temperature. In the case of ϵ 1 > ϵ , the power amplitude exhibits a more or less exponential decay as the temperature increases. When ϵ 1 < ϵ , a maximum (quantum stochastic resonance) is observed at low temperatures, around the critical temperature T q s r . Finally, if ϵ 1 < < ϵ , the resonance maximum is clearly enhanced. The evolution of the system could be described in the framework of the linear response theory [1]. Moreover, in Figure 1a where η 1 is plotted as a function of ω for different temperatures, a large peak near 1.5 and a smaller one around 0.75 ( ω = ϵ / 2 ) are observed, as also predicted by different theories. We also note that these peaks disappear as temperature increases. From Equation (17), a simple analytical expression can be easily deduced from this power amplitude.
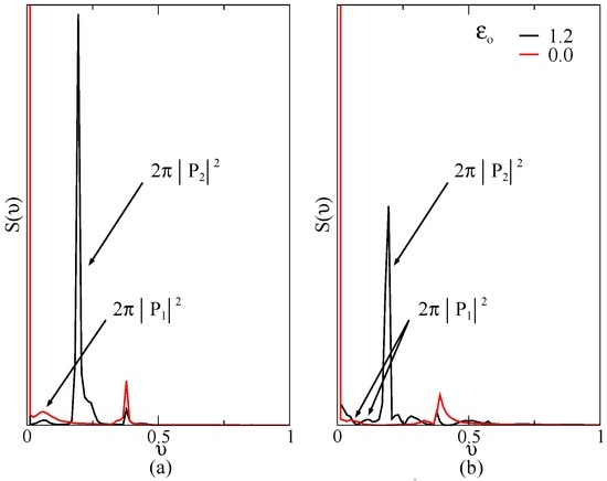
A very interesting and distinguishing feature between biased and unbiased systems is shown clearly in Figure 2. The second Fourier coefficient of the power spectrum is completely suppressed for a symmetric (unbiased) potential. In Figure 2a (b), the dynamics is starting from (out of) the thermodynamical equilibrium. In both cases, the parameters are ϵ 1 = 0.5 , ω = 0.5 , γ = 0.1 , and δ = 1.0 . According to these results, the presence of P 2 peak in the power spectrum could be used as an unambiguous signal of parity violation in chiral molecules.
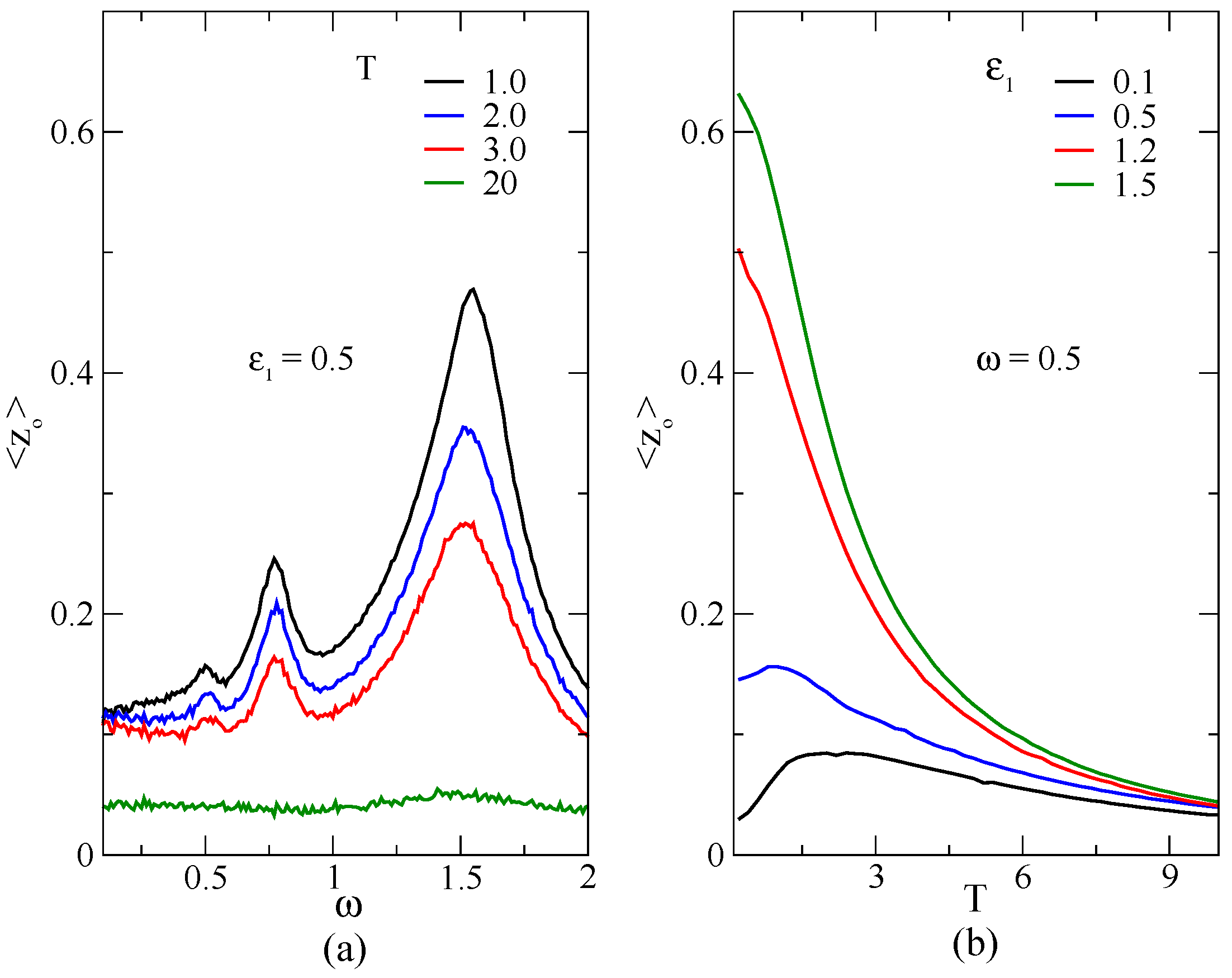
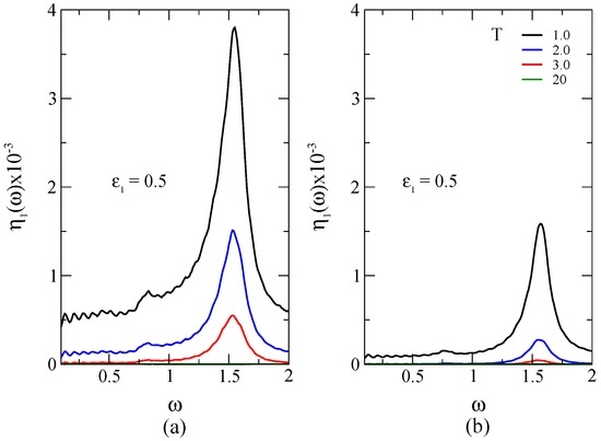
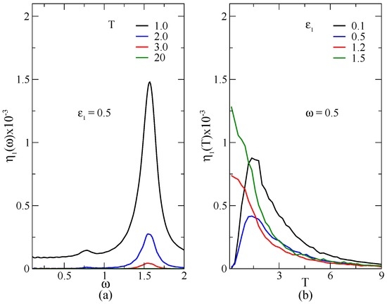
Interestingly enough, the features observed in the amplitude of the fundamental frequency of the power spectrum are also revealed in the behavior of other magnitudes, such as the population difference. In Figure 3, average population differences, < z 0 > , as a function of the frequency of the external driving force (Figure 3a) and as a function of the temperature (Figure 3b) are displayed for ϵ = 1.2 , δ = 1.0 , and γ = 0.1 . It is clearly observed that the population difference exhibits well defined peaks around the fractional values of the static bias even for frequency values around ω = ϵ / 3 . When the temperature is increased more and more, an incoherent regime is rapidly established. For the same cases, in Figure 4, the power amplitude η 1 ( ω ) of the fundamental frequency in the power spectrum is plotted when propagation is starting far from thermodynamical equilibrium values (Figure 4a) and close to them (Figure 4b). When simulations start far from the thermodynamical equilibrium, the quantum stochastic resonance features observed in η 1 ( ω ) are shown to be larger than those obtained starting closer.
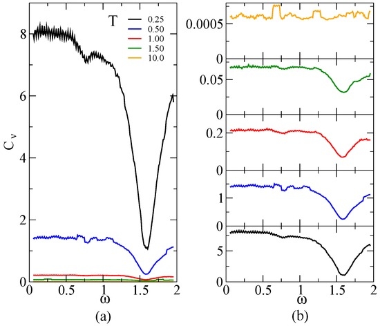
Finally, in Figure 5, the heat capacity as a function of the frequency of the external bias for different temperatures is displayed. In these calculations, ϵ = 1.2 , ϵ 1 = 0.5 , δ = 1.0 , and γ = 0.1 . This thermodynamical function shows a strong dependence on this frequency with temperature. It is important to note the appearance of extrema in the same regions where average population differences display a maximum (see Figure 3). The same behavior is observed when starting the dynamics from non-equilibrium initial conditions. Different plots of the Fourier components of the internal energy and heat capacity at asymptotic times can also be easily analyzed in the light of Equations (14)–(16).

5. Conclusions

In previous works, we have successfully applied this Langevin canonical formalism to the stochastic dynamics of a chiral TLS to the calculation of some quantum thermodynamical functions, such as, for example, the partition function and heat capacity. In this paper, we have extended and carried out new numerical analysis of this Langevin canonical approach to the dynamics of a QSR as well as proposed conditions to be observed, eventually enhancing the so-far elusive detection of PVED in chiral molecules. This resonance is considered as a well-known cooperative effect of friction, noise, and periodic driving occurring in a bistable system. Under the presence of the driving field, the heat capacity has also been analyzed at asymptotic times. We have assumed so far that the tunneling rate is a constant value. Obviously, this rate could be considered to also be a function of time. This should have important implications in the detection of QSR in chiral molecular systems. Due to the fact that this stochastic dynamics is occurring at ultracold regimes, a sort of Bose–Einstein condensation could take place. Moreover, at this regime, the noise is usually colored with a complex time autocorrelation function. These new ingredients should be incorporated to such a dynamics in order to improve the description of non-isolated chiral TLS. Work in this direction is now in progress.

Acknowledgments

Helen Clara Peñate-Rodríguez and Germán Rojas-Lorenzo acknowledge a scientific project from InSTEC. Pedro Bargueño acknowledge the support from the Faculty of Science and Vicerrectoría de Investigaciones of Universidad de Los Andes, Bogotá, Colombia. Salvador Miret-Artés acknowledges a grant with Ref. FIS2014-52172-C2-1-P from the Ministerio de Economía y Competitividad (Spain).

Author Contributions

Helen Clara Peñate-Rodríguez, Anais Dorta-Urra and Germán Rojas-Lorenzo conceived and prepared the numerical code as well as obtained the numerical results; Pedro Bargueño and Salvador Miret-Artés analyzed the data and wrote the paper. All authors have read and approved the final manuscript.

Conflicts of Interest

The authors declare no conflict of interest.

References

  1. Weiss, U. Quantum Dissipative Systems, 2nd ed.; World Scientific: Singapore, 1999. [Google Scholar]
  2. Breuer, H.-P.; Petruccione, F. The Theory of Open Quantum Systems; Oxford University Press: Oxford, UK, 2006. [Google Scholar]
  3. Sanz, A.S.; Miret-Artes, S. A Trajectory Description of Quantum Processes. I. Fundamentals: A Bohmian Perspective; Springer: Berlin/Heidelberg, Germany, 2012. [Google Scholar]
  4. Caldeira, A.O.; Leggett, A.J. Quantum tunnelling in a dissipative system. Ann. Phys. 1983, 149, 374–456. [Google Scholar] [CrossRef]
  5. Kostin, M.D. On the Schrödinger–Langevin equation. J. Chem. Phys. 1972, 57, 3589. [Google Scholar] [CrossRef]
  6. Katz, R.; Gossiaux, P.B. The Schrödinger–Langevin equation with and without thermal fluctuations. Ann. Phys. 2016, 368, 267–295. [Google Scholar] [CrossRef]
  7. Bargueño, P.; Miret-Artés, S. The generalized Schrödinger–Langevin equation. Ann. Phys. 2014, 346, 59–65. [Google Scholar] [CrossRef]
  8. Vargas, A.F.; Morales-Durán, N.; Bargueño, P. A Bohmian approach to the non-Markovian non-linear Schrödinger–Langevin equation. Ann. Phys. 2015, 356, 498–504. [Google Scholar] [CrossRef]
  9. Schuch, D.; Chung, K.-M.; Hartmann, H. Nonlinear Schrödinger equation-type field equation for the description of dissipative systems. I. Derivation of the nonlinear field equation and one-dimensional example. J. Math. Phys. 1983, 24, 1652. [Google Scholar] [CrossRef]
  10. Nassar, A.B. Quantum trajectories and the Bohmian time constant. Ann. Phys. 2013, 331, 317–322. [Google Scholar] [CrossRef]
  11. Nassar, A.B.; Miret-Artés, S. Dividing line between quantum and classical trajectories in a measurement problem: Bohmian time constant. Phys. Rev. Lett. 2014, 111, 150401. [Google Scholar] [CrossRef] [PubMed]
  12. Beretta, G.P. Nonlinear model dynamics for closed-system, constrained, maximal-entropy-generation relaxation by energy redistribution. Phys. Rev. E 2006, 73, 026113. [Google Scholar] [CrossRef] [PubMed]
  13. Leggett, A.J.; Chakravarty, S.; Dorsey, A.T.; Fisher, M.P.A.; Garg, A.; Zwerger, W. Dynamics of the dissipative two-state system. Rev. Mod. Phys. 1987, 59. [Google Scholar] [CrossRef]
  14. Harris, R.A.; Stodolsky, L. Quantum beats in optical activity and weak interactions. Phys. Lett. B 1978, 78, 313–317. [Google Scholar] [CrossRef]
  15. Quack, M. On the measurement of the parity violating energy difference between enantiomer. Chem. Phys. Lett. 1986, 132, 147–153. [Google Scholar] [CrossRef]
  16. Guijarro, A.; Yus, M. The Origin of Chirality in the Molecules of Life: A Revision from Awareness to the Current Theories and Perspectives of this Unsolved Problem; Royal Society of Chemistry: London, UK, 2008. [Google Scholar]
  17. Bargueño, P.; de Tudela, R.P. Constraining long-range parity violation in gravitation using high resolution spectroscopy of chiral molecules. Phys. Rev. D 2008, 78, 1002004. [Google Scholar] [CrossRef]
  18. Bargueño, P. Chirality and gravitational parity violation. Chirality 2015, 27, 375–381. [Google Scholar] [CrossRef] [PubMed]
  19. Bargueño, P.; Peñate-Rodríguez, H.C.; Gonzalo, I.; Sols, F.; Miret-Artes, S. Friction-induced enhancement in the optical activity of interacting chiral molecules. Chem. Phys. Lett. 2011, 516, 29–34. [Google Scholar] [CrossRef]
  20. Dorta-Urra, A.; Peñate-Rodríguez, H.C.; Bargueño, P.; Rojas-Lorenzo, G.; Miret-Artes, S. Dissipative geometric phase and decoherence in parity-violating chiral molecules. J. Chem. Phys. 2012, 136, 174505. [Google Scholar] [CrossRef] [PubMed]
  21. Peñate-Rodríguez, H.C.; Dorta-Urra, A.; Bargueño, P.; Rojas-Lorenzo, G.; Miret-Artes, S. A langevin canonical approach to the dynamics of chiral systems: Populations and coherences. Chirality 2013, 25, 514–520. [Google Scholar] [CrossRef] [PubMed]
  22. Peñate-Rodríguez, H.C.; Dorta-Urra, A.; Bargueño, P.; Rojas-Lorenzo, G.; Miret-Artes, S. A langevin canonical approach to the dynamics of chiral systems: thermal averages and heat capacity. Chirality 2014, 26, 319–325. [Google Scholar] [CrossRef] [PubMed]
  23. Ingold, G.-L.; Hänggi, P.; Talkner, P. Specific heat anomalies of open quantum systems. Phys. Rev. E 2009, 79, 061105. [Google Scholar] [CrossRef] [PubMed]
  24. Kosloff, R. Quantum thermodynamics: A dynamical viewpoint. Entropy 2013, 15, 2100–2128. [Google Scholar] [CrossRef]
  25. Gammaitoni, L.; Hänggi, P.; Jung, P.; Marchesoni, F. Stochastic resonance. Rev. Mod. Phys. 1998, 70, 223. [Google Scholar] [CrossRef]
  26. Carrega, M.; Solinas, P.; Sassetti, M.; Weiss, U. Energy exchange in driven open quantum systems at strong coupling. Phys. Rev. Lett. 2016, 116, 240403. [Google Scholar] [CrossRef] [PubMed]
  27. DeMille, D.; Cahn, S.B.; Murphree, D.; Rahmlow, D.A.; Kozlov, M.G. Using molecules to measure nuclear spin-dependent parity violation. Phys. Rev. Lett. 2008, 100, 023003. [Google Scholar] [CrossRef] [PubMed]
  28. Cahn, S.B.; Ammon, J.; Kirilov, E.; Gurevich, Y.V.; Murphree, D.; Paolino, R.; Rahmlow, D.A.; Kozlov, M.G.; DeMille, D. Zeeman-tuned rotational level-crossing spectroscopy in a diatomic free radical. Phys. Rev. Lett. 2014, 112, 163002. [Google Scholar] [CrossRef] [PubMed]
  29. Walls, J.D.; Harris, R.A. Measuring chirality in NMR in the presence of a time-dependent electric field. J. Chem. Phys. 2014, 140, 234201. [Google Scholar] [CrossRef] [PubMed]
  30. Buckingham, A.D. Chirality in NMR spectroscopy. Chem. Phys. Lett. 2004, 398, 1–5. [Google Scholar] [CrossRef]
  31. Bargueño, P.; Miret-Artes, S.; Gonzalo, I. Quantum stochastic resonance in parity violating chiral molecules. Phys. Chem. Chem. Phys. 2011, 13, 850–853. [Google Scholar] [CrossRef] [PubMed]
  32. Bengtsson, I.; Zyczkowski, K. Geometry of Quantum States; Cambridge University Press: Cambridge, UK, 2006. [Google Scholar]
  33. Bargueño, P.; Miret-Artes, S. Dissipative and stochastic geometric phase of a qubit within a canonical Langevin framework. Phys. Rev. A 2013, 87, 012125. [Google Scholar] [CrossRef]
  34. Bargueño, P.; Gonzalo, I.; Pérez de Tudela, R.; Miret-Artés, S. Parity violation and critical temperature of non-interacting chiral molecules. Chem. Phys. Lett. 2009, 483, 204–208. [Google Scholar] [CrossRef]
  35. Ermak, D.L.; Buckholtz, H. Numerical integration of the Langevin equation: Monte Carlo simulation. J. Comput. Phys. 1980, 35, 169–182. [Google Scholar] [CrossRef]
  36. Allen, M.P.; Tildesley, D.J. Computer Simulation of Liquids; Oxford University Press: Oxford, UK, 1987. [Google Scholar]
Figure 1. Power amplitude η 1 of the fundamental frequency in the power spectrum as a function of the frequency of the external driving force (a) and the temperature (b). The results are obtained for ϵ = 1.2 , δ = 1.0 , and γ = 0.1 .
Figure 1. Power amplitude η 1 of the fundamental frequency in the power spectrum as a function of the frequency of the external driving force (a) and the temperature (b). The results are obtained for ϵ = 1.2 , δ = 1.0 , and γ = 0.1 .
Figure 2. Suppression of the second term, P 1 , of the power spectrum for (a) a symmetric (unbiased) and (b) asymmetric (biased) potential. Notice that ϵ 0 ϵ .
Figure 2. Suppression of the second term, P 1 , of the power spectrum for (a) a symmetric (unbiased) and (b) asymmetric (biased) potential. Notice that ϵ 0 ϵ .
Figure 3. Average population differences, < z 0 > , as a function of the frequency of the external driving force (a) and as a function of the temperature (b). The results are obtained for ϵ = 1.2 , δ = 1.0 , and γ = 0.1 .
Figure 3. Average population differences, < z 0 > , as a function of the frequency of the external driving force (a) and as a function of the temperature (b). The results are obtained for ϵ = 1.2 , δ = 1.0 , and γ = 0.1 .
Figure 4. Power amplitude η 1 ( ω ) of the fundamental frequency in the power spectrum when propagations start far from thermodynamical equilibrium values (a) and when they start closer to the thermodynamical equilibrium values (b). The results are obtained for ϵ = 1.2 , ϵ 1 = 0.5 , δ = 1.0 , and γ = 0.1 .
Figure 4. Power amplitude η 1 ( ω ) of the fundamental frequency in the power spectrum when propagations start far from thermodynamical equilibrium values (a) and when they start closer to the thermodynamical equilibrium values (b). The results are obtained for ϵ = 1.2 , ϵ 1 = 0.5 , δ = 1.0 , and γ = 0.1 .
Figure 5. Heat capacity as a function of the frequency of the external bias for different temperatures (a). In the (b), the small frequency region is expanded. In the calculations ϵ = 1.2 , ϵ 1 = 0.5 , δ = 1.0 , and γ = 0.1 .
Figure 5. Heat capacity as a function of the frequency of the external bias for different temperatures (a). In the (b), the small frequency region is expanded. In the calculations ϵ = 1.2 , ϵ 1 = 0.5 , δ = 1.0 , and γ = 0.1 .

Share and Cite

MDPI and ACS Style

Rojas-Lorenzo, G.; Peñate-Rodríguez, H.C.; Dorta-Urra, A.; Bargueño, P.; Miret-Artés, S. A Langevin Canonical Approach to the Study of Quantum Stochastic Resonance in Chiral Molecules. Entropy 2016, 18, 354. https://doi.org/10.3390/e18100354

AMA Style

Rojas-Lorenzo G, Peñate-Rodríguez HC, Dorta-Urra A, Bargueño P, Miret-Artés S. A Langevin Canonical Approach to the Study of Quantum Stochastic Resonance in Chiral Molecules. Entropy. 2016; 18(10):354. https://doi.org/10.3390/e18100354

Chicago/Turabian Style

Rojas-Lorenzo, Germán, Helen Clara Peñate-Rodríguez, Anais Dorta-Urra, Pedro Bargueño, and Salvador Miret-Artés. 2016. "A Langevin Canonical Approach to the Study of Quantum Stochastic Resonance in Chiral Molecules" Entropy 18, no. 10: 354. https://doi.org/10.3390/e18100354

APA Style

Rojas-Lorenzo, G., Peñate-Rodríguez, H. C., Dorta-Urra, A., Bargueño, P., & Miret-Artés, S. (2016). A Langevin Canonical Approach to the Study of Quantum Stochastic Resonance in Chiral Molecules. Entropy, 18(10), 354. https://doi.org/10.3390/e18100354

Note that from the first issue of 2016, this journal uses article numbers instead of page numbers. See further details here.

Article Metrics

Back to TopTop