Minimal Rényi–Ingarden–Urbanik Entropy of Multipartite Quantum States
Abstract
:1. Introduction
2. Minimal Rényi–Ingarden–Urbanik Entropy
- q = 0, corresponding to the tensor rank of |ψ〉, we shall also consider some other particular cases of the definition Equation (3).
- q = 1. The minimal IU entropy determines the minimal information gained by environment after performing a projective von-Neumann measurement of the pure state |ψ〉 〈ψ| in an arbitrary product basis [20].
- q = 2. The minimal decomposition entropy characterizes the maximal purity of the probability vector pµ associated with the outcomes of a projective measurement in a product basis and is accessible in a coincidence experiment with two copies of the multipartite state |ψ〉. This quantity was used by Parker and Rijmen [19] to analyze multipartite entanglement in the context of coding theory.
- q = ∞. In the limiting case q → ∞, the minimal RIU entropy gives , where the largest component of the vector pµ reads λmax = max |〈ψ|χsep〉|2. The maximum is taken over the set of all separable states, |χsep〉 = Uloc|0⋯0〉, so λmax is a decreasing function of the Fubini–Study distance to the closest separable state [16,17], , and its function is called the geometric measure of entanglement [18], .
3. Tensor Decompositions
3.1. Higher Order Singular Value Decomposition
3.2. Parallel Factor Decomposition
4. Three Qubits
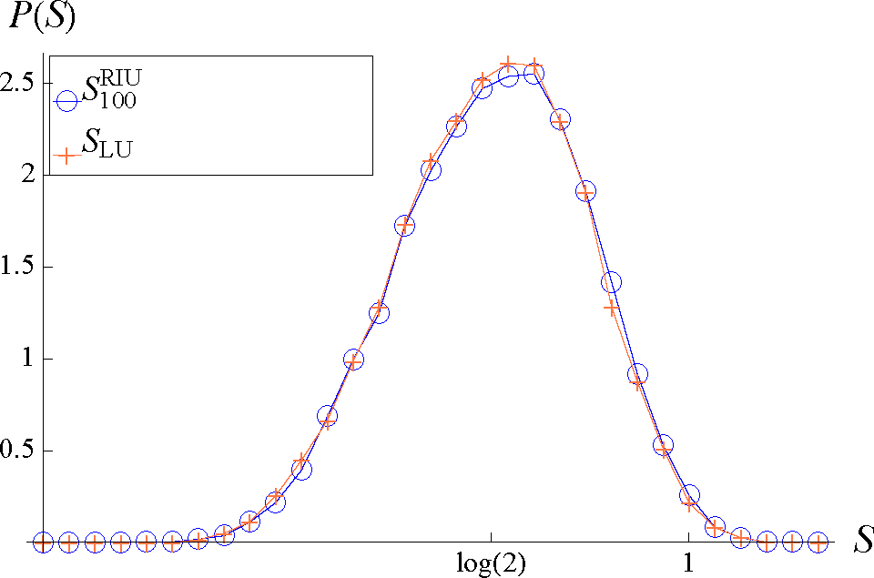
4.1. Minimal Decomposition Entropy
4.2. Distribution of Three-Tangle
5. Four Qubits
5.1. Minimal Decomposition Entropy
5.2. Distribution of the Hyperdeterminant |Det4|
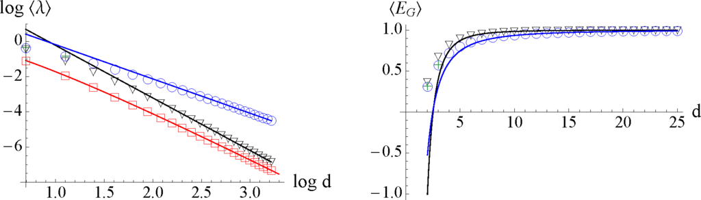
6. Three Qudits: Asymptotic Case
7. Conclusions
Appendix
A1. Moments of Three-Tangle τ
A2. Bound for Geometric Measure of Entanglement for Tripartite States
Acknowledgments
Author Contributions
Conflicts of Interest
References
- Horodecki, R.; Horodecki, P.; Horodecki, M.; Horodecki, K. Quantum entanglement. Rev. Mod. Phys. 2009, 81, 865–942. [Google Scholar]
- Bengtsson, I.; Życzkowski, K. Geometry of Quantum States. An Introduction to Quantum Entanglement, 1st ed; Cambridge University Press: New York, NY, USA, 2006. [Google Scholar]
- Acin, A.; Andrianov, A.; Costa, L.; Jané, E.; Latorre, J.I.; Tarrach, R. Generalized Schmidt decomposition and classffication of three-quantum-bit states. Phys. Rev. Lett. 2000, 85, 1560–1563. [Google Scholar]
- Sudbery, A. On local invariants of pure three-qubit states. J. Phys. A 2001, 34, 643–652. [Google Scholar]
- Williamson, M.S.; Ericsson, M.; Johansson, M.; Sjoqvist, E.; Sudbery, A.; Vedral, V.; Wootters, W.K. Geometric local invariants and pure three-qubit states. Phys. Rev. A 2011, 83, 062308. [Google Scholar]
- Luque, J.G.; Thibon, J.Y. Polynomial invariants of four qubits. Phys. Rev. A 2003, 67, 042303. [Google Scholar]
- Lévay, P. On the geometry of four-qubit invariants. J. Phys. A 2006, 39, 9533–9545. [Google Scholar]
- Gour, G.; Wallach, N.R. All maximally entangled four-qubit states. J. Math. Phys. 2010, 51, 112201. [Google Scholar]
- Viehmann, O.; Eltschka, C.; Siewert, J. Polynomial invariants for discrimination and classification of four-qubit entanglement. Phys. Rev. A 2011, 83, 052330. [Google Scholar]
- Sharma, S.S.; Sharma, N.K. Negativity fonts, multiqubit invariants and four qubit maximally entangled states. Quantum Inf. Proc. 2012, 11, 1695–1714. [Google Scholar]
- Osterloh, A.; Hyllus, P. Estimating multipartite entanglement measures. Phys. Rev. A 2010, 81, 022307. [Google Scholar]
- Hilling, J.J.; Sudbery, A. The geometric measure of multipartite entanglement and the singular values of a hypermatrix. J. Math. Phys. 2010, 51, 072102. [Google Scholar]
- Gühne, O.; Seevinck, M. Separability criteria for genuine multiparticle entanglement. New J. Phys. 2010, 12, 053002. [Google Scholar]
- Rudnicki, Ł.; Horodecki, P.; Życzkowski, K. Collective uncertainty entanglement test. Phys. Rev. Lett. 2011, 107, 150502. [Google Scholar]
- Bennett, C.H.; di Vincenzo, D.P.; Smolin, J.A.; Wootters, W.K. Mixed-state entanglement and quantum error correction. Phys. Rev. A 1996, 54, 3824. [Google Scholar]
- Brody, D.C.; Hughston, L.P. Geometric quantum mechanics. J. Geom. Phys. 2001, 38, 19–53. [Google Scholar]
- Życzkowski, K.; Bentgsson, I. Relativity of Pure States Entanglement. Ann. Phys. 2002, 295, 115–135. [Google Scholar]
- Wei, T.C.; Goldbart, P.M. Geometric measure of entanglement and applications to bipartite and multipartite quantum states. Phys. Rev. A 2003, 68, 042307. [Google Scholar]
- Parker, M.G.; Rijmen, V. The Quantum Entanglement of Binary and Bipolar Sequences, Sequences and Their Applications, SETA’01. In Discrete Mathematics and Theoretical Computer Science Series; Helleseth, T., Kumar, P.V., Yang, K., Eds.; Springer: London, UK, 2001. [Google Scholar]
- Bravyi, S. Entanglement entropy of multipartite pure states. Phys. Rev. A 2003, 67, 012313. [Google Scholar]
- Ingarden, R.S.; Urbanik, K. Quantum informational thermodynamics. Acta Phys. Pol. 1962, 21, 281–304. [Google Scholar]
- Carteret, H.A.; Higuchi, A.; Sudbery, A. Multipartite generalisation of the Schmidt decomposition. J. Math. Phys. 2000, 41, 7932–7939. [Google Scholar]
- Spekkens, R.W.; Sipe, J.E. Non-orthogonal preferred projectors for modal interpretations of quantum mechanics. Found. Phys. 2001, 31, 1403–1430. [Google Scholar]
- Eisert, J.; Briegel, H.J. Schmidt measure as a tool for quantifying multiparticle entanglement. Phys. Rev. A 2001, 64, 022306. [Google Scholar]
- Hein, M.; Eisert, J.; Briegel, H.J. Multiparty entanglement in graph states. Phys. Rev. A 2004, 69, 062311. [Google Scholar]
- Chitambar, E.; Duan, R.; Shi, Y. Tripartite Entanglement Transformations and Tensor Rank. Phys. Rev. Lett. 2008, 101, 140502. [Google Scholar]
- De Lathauwer, L.; de Moor, B.; Vandewalle, J. A multilinear singular value decomposition. SIAM J. Matrix Anal. Appl. 2000, 21, 1253–1278. [Google Scholar]
- Bro, R. PARAFAC. Tutorial and applications. Chemometr. Intell. Lab. Syst. 1997, 38, 149–171. [Google Scholar]
- Jiang, B.; Ma, S.; Zhang, S. Tensor principal component analysis via convex optimization. Math. Program. Ser. A 2015, 150, 423–457. [Google Scholar]
- Kolda, T.G.; Bader, B.W. Tensor Decompositions and Applications. SIAM Rev. 2009, 51, 455–500. [Google Scholar]
- Liu, B.; Li, J.L.; Li, X.; Qiao, C.F. Local unitary classification of arbitrary dimensional multipartite pure states. Phys. Rev. Lett. 2012, 108, 50501. [Google Scholar]
- Enríquez, M.; Rosas-Ortiz, O. The Kronecker product in terms of Hubbard operators and the Clebsch-Gordan decomposition of SU(2) × SU(2). Ann. Phys. 2013, 339, 218–265. [Google Scholar]
- Nion, D.; de Lathauwer, L. An Enhanced Line Search Scheme for Complex-Valued Tensor Decompositions. Application in DS-CDMA. Signal Process. 2008, 88, 749–755. [Google Scholar]
- Hübener, R.; Kleinmann, M.; Wei, T.C.; Gühne, O. Geometric measure of entanglement for symmetric states. Phys. Rev. A 2009, 80, 032324. [Google Scholar]
- Hayashi, M.; Markham, D.; Murao, M.; Owari, M.; Virmani, S. The geometric measure of entanglement for a symmetric pure state with non-negative amplitudes. J. Math. Phys. 2009, 50, 122104. [Google Scholar]
- Wei, T.C.; Severini, S. Matrix permanent and quantum entanglement of permutation invariant states. J. Math. Phys. 2010, 51, 092203. [Google Scholar]
- Slomczyński, W.; Życzkowski, K. Mean dynamical entropy of quantum maps on the sphere diverges in the semiclassical limit. Phys. Rev. Lett. 1998, 80, 1880–1883. [Google Scholar]
- Mirbach, B.; Korsch, H.J. A generalized entropy measuring quantum localization. Ann. Phys. 1998, 265, 80–97. [Google Scholar]
- Chen, L.; Xu, A.; Zhu, H. Computation of the geometric measure of entanglement for pure multiqubit states. Phys. Rev. A 2010, 82, 032301. [Google Scholar]
- Aulbach, M.; Damian, M.; Mio, M. The maximally entangled symmetric state in terms of the geometric measure. New J. Phys. 2010, 12, 073025. [Google Scholar]
- Coffmand, V.; Kundu, J.; Wootters, W.K. Distributed entanglement. Phys. Rev. A 2000, A61, 052306. [Google Scholar]
- Hill, S.; Wootters, W.K. Entanglement of a Pair of Quantum Bits. Phys. Rev. Lett. 1997, 78, 5022–5025. [Google Scholar]
- Cayley, A. On the Theory of Linear Transformations. Camb. Math. J 1845, 4, 193–209. [Google Scholar]
- Gelfand, I.M.; Kapranov, M.M.; Zelevinsky, A.V. Discriminants, Resultants, and Multidimensional Determinants, 1st ed; Birkhauser: Boston, MA, USA, 1994. [Google Scholar]
- Osterloh, A.; Siewert, J. Constructing N-qubit entanglement monotones from antilinear operators. Phys. Rev. A 2005, 72, 012337. [Google Scholar]
- Miyake, A. Classification of multipartite entangled states by multidimensional determinants. Phys. Rev. A 2003, 67, 012108. [Google Scholar]
- Kendon, V.; Nemoto, V.K.; Munro, W. Typical entanglement in multiple-qubit systems. J. Mod. Opt. 2002, 49, 1709–1716. [Google Scholar]
- Alsina, D.; Latorre, J.I. Unpublished Preprint; Barcelona, Spain, 2014.
- Higuchi, A.; Sudbery, A. How entangled can two couples get? Phys. Lett. A 2000, 273, 213–217. [Google Scholar]
- Ambainis, A.; Harrow, A.W.; Hastings, M.B. Random tensor theory: Extending random matrix theory to mixtures of random product states. Commun. Math. Phys. 2012, 310, 25–74. [Google Scholar]
- Gurau, R. Universality for random tensors. Ann. Inst. H. Poincaré Probab. Statist. 2014, 50, 1474–1525. [Google Scholar]
- Adamczak, R.; Latała, R.; Puchała, Z.; Życzkowski, K. Asymptotic entropic uncertainty relations 2014, arXiv, 1412.7065.
- Uhlmann, A. Entropy and optimal decompositions of states relative to a maximal commutative subalgebra. Open Syst. Inf. Dyn. 1998, 5, 209–228. [Google Scholar]
- Collins, B.; Śniady, P. Integration with respect to the haar measure on unitary, orthogonal and symplectic group. Commun. Math. Phys. 2006, 264, 773–795. [Google Scholar]
- Puchała, Z.; Miszczak, J.A. Symbolic integration with respect to the Haar measure on the unitary group in Mathematica 2011, arXiv, 1109.4244.









| q | Sq(|ψtypical〉) | Sq(|ψtypical〉HOSVD) | |||||||
|---|---|---|---|---|---|---|---|---|---|
| 〈Sq〉 | ΔSq | 〈Sq〉 | ΔSq | 〈Sq〉 | ΔSq | ||||
| 1 | 1.717 | 2.973 | 0.161 | 1.132 | 1.407 | 0.355 | 0.907 | 0.858 | 0.184 |
| 2 | 1.534 | 2.397 | 0.224 | 0.812 | 0.794 | 0.368 | 0.650 | 0.461 | 0.197 |
| 100 | 1.125 | 1.334 | 0.260 | 0.488 | 0.317 | 0.280 | 0.383 | 0.169 | 0.144 |
| k | k-th Moment of PB(τ) | 〈τk〉, k-th Moment of P(τ) |
|---|---|---|
| 1 | 1/3 | 1/3 |
| 2 | 8/55 | 8/55 |
| 4 | 533/12,573 ≈ 0.04239 | 128/3003 ≈ 0.04262 |
| 6 | 309,14/1,819,783 ≈ 0.01699 | 7168/41,5701 ≈ 0.01724 |
| 8 | 112,955/13,778,357 ≈ 0.008198 | 98,304/11,685,817 ≈ 0.008412 |
| 10 | 1,840,340/411,553,533 ≈ 0.004472 | 262,144/56,497,545 ≈ 0.00464 |
| 12 | 672000151/252556684751 ≈ 0.002661 | 4194304/1502700975 ≈ 0.002791 |
| q | Sq(|ψtypical〉) | Sq(|ψtypical〉HOSVD) | |||||||
|---|---|---|---|---|---|---|---|---|---|
| 〈Sq〉 | ΔSq | 〈Sq〉 | ΔSq | 〈Sq〉 | ΔSq | ||||
| 1 | 2.381 | 5.686 | 0.124 | 2.038 | 4.234 | 0.283 | 1.633 | 2.687 | 0.145 |
| 2 | 2.159 | 4.698 | 0.190 | 1.601 | 2.727 | 0.403 | 1.199 | 1.473 | 0.192 |
| 100 | 1.60 | 2.635 | 0.254 | 1.027 | 1.219 | 0.405 | 0.701 | 0.513 | 0.145 |
© 2015 by the authors; licensee MDPI, Basel, Switzerland This article is an open access article distributed under the terms and conditions of the Creative Commons Attribution license (http://creativecommons.org/licenses/by/4.0/).
Share and Cite
Enríquez, M.; Puchała, Z.; Życzkowski, K. Minimal Rényi–Ingarden–Urbanik Entropy of Multipartite Quantum States. Entropy 2015, 17, 5063-5084. https://doi.org/10.3390/e17075063
Enríquez M, Puchała Z, Życzkowski K. Minimal Rényi–Ingarden–Urbanik Entropy of Multipartite Quantum States. Entropy. 2015; 17(7):5063-5084. https://doi.org/10.3390/e17075063
Chicago/Turabian StyleEnríquez, Marco, Zbigniew Puchała, and Karol Życzkowski. 2015. "Minimal Rényi–Ingarden–Urbanik Entropy of Multipartite Quantum States" Entropy 17, no. 7: 5063-5084. https://doi.org/10.3390/e17075063
APA StyleEnríquez, M., Puchała, Z., & Życzkowski, K. (2015). Minimal Rényi–Ingarden–Urbanik Entropy of Multipartite Quantum States. Entropy, 17(7), 5063-5084. https://doi.org/10.3390/e17075063
