Biological Restoration of Urban Soils after De-Sealing Interventions
Abstract
1. Introduction
2. Materials and Methods
2.1. Sites and De-Sealing Operations
2.2. Experimental Plots
2.3. Soil Analyses
2.4. Plant Leaf Elemental Analysis
2.5. Data Analysis
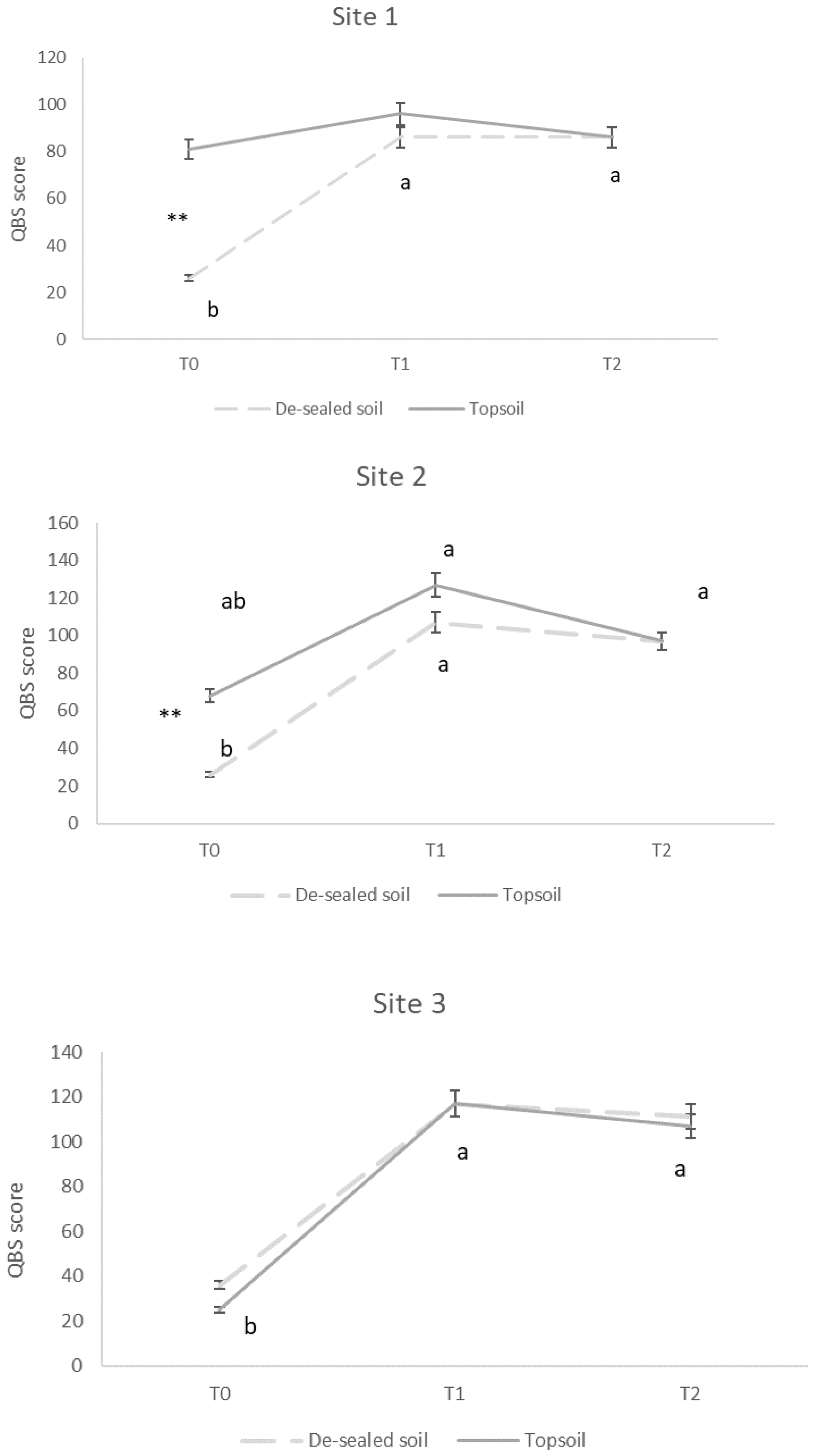
3. Results
4. Discussion
5. Conclusions
Author Contributions
Funding
Institutional Review Board Statement
Informed Consent Statement
Data Availability Statement
Acknowledgments
Conflicts of Interest
References
- EEA. Land and Soil in Europe—Ever-Sprawling Urban Concrete? 2019. Available online: https://www.eea.europa.eu/signals/signals-2019-content-list/articles/land-and-soil-in-europe (accessed on 25 May 2020).
- Piotrowska-Długosz, A.; Charzyński, P. The impact of the soil sealing degree on microbial biomass, enzymatic activity, and physicochemical properties in the Ekranic Technosols of Toruń (Poland). J. Soils Sediments 2014, 15, 47–59. [Google Scholar] [CrossRef]
- Salvati, L.; Mancini, A.; Bajocco, S.; Gemmiti, R.; Carlucci, M. Socioeconomic development and vulnerability to land degradation in Italy. Reg. Environ. Chang. 2011, 11, 767–777. [Google Scholar] [CrossRef]
- Burghardt, I.; Hynes, J.T. Excited-State Charge Transfer at a Conical Intersection: Effects of an Environment. J. Phys. Chem. A 2006, 110, 11411–11423. [Google Scholar] [CrossRef] [PubMed]
- Wessolek, G.; Schwärzel, K.; Greiffenhagen, A.; Stoffregen, H. Percolation characteristics of a water-repellent sandy forest soil. Eur. J. Soil Sci. 2007, 59, 14–23. [Google Scholar] [CrossRef]
- Gábor, P.; Jombach, S.; Ongjerth, R. The relation between the biological activity and the land surface temperature in Budapest. Appl. Ecol. Environ. Res. 2009, 7, 241–251. [Google Scholar] [CrossRef]
- Fokaides, P.A.; Kylili, A.; Nicolaou, L.; Ioannou, B. The effect of soil sealing on the urban heat island phenomenon. Indoor Built Environ. 2016, 25, 1136–1147. [Google Scholar] [CrossRef]
- Murata, T.; Kawai, N. Degradation of the urban ecosystem function due to soil sealing: Involvement in the heat island phenomenon and hydrologic cycle in the Tokyo metropolitan area. Soil Sci. Plant Nutr. 2018, 64, 145–155. [Google Scholar] [CrossRef]
- Bhaduri, B.; Minner, M.; Tatalovich, S.; Harbor, J. Long-term hydrologic impact of urbanization: A tale of two mod-els. J. Water Resour. Plan. Manag. 2001, 127, 13–19. [Google Scholar] [CrossRef]
- Ungaro, F.; Calzolari, C.; Pistocchi, A.; Malucelli, F. Modelling the impact of increasing soil sealing on runoff coeffi-cients at regional scale: A hydropedological approach. J. Hydrol. Hydromech. 2014, 62, 33–42. [Google Scholar] [CrossRef]
- Kayhanian, M.; Suverkropp, C.; Ruby, A.; Tsay, K. Characterization and prediction of highway runoff constituent event mean concentration. J. Environ. Manag. 2007, 85, 279–295. [Google Scholar] [CrossRef]
- Cambou, A.; Shaw, R.K.; Huot, H.; Vidal-Beaudet, L.; Hunault, G.; Cannavo, P.; Nold, F.; Schwartz, C. Estimation of soil organic carbon stocks of two cities, New York City and Paris. Sci. Total Environ. 2018, 644, 452–464. [Google Scholar] [CrossRef]
- European Commission. Communication from the Commission to the Parliament, the Council, the European Economic and Social Committee and the Committee of the Regions. Roadmap to a Resource Efficient Europe. COM (2011) 571 Final, 2011. Brussels, 20.9.2011. Available online: https://eurlex.europa.eu/legalcontent/EN/TXT/PDF/?uri=CELEX:52011DC0571&from=EN (accessed on 30 October 2020).
- Ugolini, F.; Baronti, S.; Lanini, G.M.; Maienza, A.; Ungaro, F.; Calzolari, C. Assessing the influence of topsoil and technosol characteristics on plant growth for the green regeneration of urban built sites. J. Environ. Manag. 2020, 273, 111168. [Google Scholar] [CrossRef] [PubMed]
- IUSS Working Group WRB. World Reference Base for Soil Resources 2014. International Soil Classification System for Naming Soils and Creating Legends for Soil Maps; Update 2015; Food and Agriculture Organization of The United Nations: Rome, Italy, 2015. [Google Scholar]
- Parisi, V.; Menta, C.; Gardi, C.; Jacomini, C.; Mozzanica, E. Microarthropod communities as a tool to assess soil quality and biodiversity: A new approach in Italy. Agric. Ecosyst. Environ. 2005, 105, 323–333. [Google Scholar] [CrossRef]
- Anderson, J.; Domsch, K. A physiological method for the quantitative measurement of microbial biomass in soils. Soil Biol. Biochem. 1978, 10, 215–221. [Google Scholar] [CrossRef]
- Ciardi, C.; Nannipieri, P. A comparison of methods for measuring ATP in soil. Soil Biol. Biochem. 1990, 22, 725–727. [Google Scholar] [CrossRef]
- Browman, M.G.; Tabatabai, M.A. Phosphodiesterase Activity of Soils. Soil Sci. Soc. Am. J. 1978, 42, 284–290. [Google Scholar] [CrossRef]
- Tabatabai, M.; Bremner, J. Use of p-nitrophenyl phosphate for assay of soil phosphatase activity. Soil Biol. Biochem. 1969, 1, 301–307. [Google Scholar] [CrossRef]
- Tabatabai, M.A.; Bremner, J.M. Arylsulfatase Activity of Soils. Soil Sci. Soc. Am. J. 1970, 34, 225–229. [Google Scholar] [CrossRef]
- Nannipieri, P.; Ceccanti, B.; Cervelli, S.; Sequi, P. Use of 0·1 m pyrophosphate to extract urease from a podzol. Soil Biol. Biochem. 1974, 6, 359–362. [Google Scholar] [CrossRef]
- Zornoza, R.; Landi, L.; Nannipieri, P.; Renella, G. A protocol for the assay of arylesterase activity in soil. Soil Biol. Biochem. 2009, 41, 659–662. [Google Scholar] [CrossRef]
- Tabatabai, M.A. Soil enzymes. In Methods of Soil Analysis. Part 2. Chemical and Microbiological Properties, 2nd ed.; Page, A.L., Miller, R.H., Keeney, D.R., Eds.; American Society of Agronomy/Soil Science Society of America: Madison, WI, USA, 1982; pp. 903–947. [Google Scholar]
- Imparato, V.; Hansen, V.; Santos, S.S.; Nielsen, T.K.; Giagnoni, L.; Hauggaard-Nielsen, H.; Winding, A. Gasifica-tion biochar has limited effects on functional and structural diversity of soil microbial communities in a temperate agroeco-system. Soil Biol. Biochem. 2016, 99, 128–136. [Google Scholar] [CrossRef]
- Dick, R.; Kandeler, E. Enzymes in Soils. In Encyclopedia of Soils in the Environment; Hillel, D., Ed.; Elsevier: Oxford, UK, 2005; pp. 448–456. [Google Scholar]
- Marchi, N.; Ungaro, F. Carta del Fondo Naturale—Antropico dei Metalli Pesanti. 2019. Available online: https://ambiente.regione.emilia-romagna.it/it/geologia/suoli/metalli-pesanti/carta-del-fondo-naturale-antropico-della-pianura-emiliano-romagnola-alla-scala1-250-000-2012 (accessed on 30 October 2020).
- Kim, R.-Y.; Yoon, J.-K.; Kim, T.-S.; Yang, J.E.; Owens, G.; Kim, K.-R. Bioavailability of heavy metals in soils: Definitions and practical implementation—A critical review. Environ. Geochem. Health 2015, 37, 1041–1061. [Google Scholar] [CrossRef]
- Imperato, M.; Adamo, P.; Naimo, D.; Arienzo, M.; Stanzione, D.; Violante, P. Spatial distribution of heavy metals in urban soils of Naples city (Italy). Environ. Pollut. 2003, 124, 247–256. [Google Scholar] [CrossRef]
- Charzyński, P.; Plak, A.; Hanaka, A. Influence of the soil sealing on the geoaccumulation index of heavy metals and various pollution factors. Environ. Sci. Pollut. Res. 2017, 24, 4801–4811. [Google Scholar] [CrossRef] [PubMed]
- Cai, Q.-Y.; Mo, C.-H.; Li, H.-Q.; Lü, H.; Zeng, Q.-Y.; Li, Y.-W.; Wu, X.-L. Heavy metal contamination of urban soils and dusts in Guangzhou, South China. Environ. Monit. Assess. 2012, 185, 1095–1106. [Google Scholar] [CrossRef] [PubMed]
- Menta, C.; Conti, F.D.; Pinto, S.; Bodini, A. Soil Biological Quality index (QBS-ar): 15 years of application at global scale. Ecol. Indic. 2018, 85, 773–780. [Google Scholar] [CrossRef]
- Lynch, J.M.; Whipps, J.M. Substrate flow in the rhizosphere. Plant Soil 1990, 129, 1–10. [Google Scholar] [CrossRef]
- Kuzyakov, Y.; Domanski, G. Carbon input by plants into the soil. Review. J. Plant Nutr. Soil Sci. 2000, 163, 421–431. [Google Scholar] [CrossRef]
- Cardoso, E.J.B.N.; Vasconcellos, R.L.F.; Bini, D.; Miyauchi, M.Y.H.; Dos Santos, C.A.; Alves, P.R.L.; De Paula, A.M.; Nakatani, A.S.; Pereira, J.D.M.; Nogueira, M.A. Soil health: Looking for suitable indicators. What should be considered to assess the effects of use and management on soil health? Sci. Agric. 2013, 70, 274–289. [Google Scholar] [CrossRef]
- Brookes, P.C. The use of microbial parameters in monitoring soil pollution by heavy metals. Biol. Fertil. Soils 1995, 19, 269–279. [Google Scholar] [CrossRef]
- Eitminaviciute, I. Microarthropod communities in anthropogenic urban soils. 1. Structure of microarthropod complexes in soils of roadside lawns. Èntomol. Rev. 2006, 86, S128–S135. [Google Scholar] [CrossRef]
- Kabata-Pendias, A.; Pendias, H. Trace Metals in Plants and Soils; CRC Press: Boca Raton, FL, USA, 2001. [Google Scholar]
- Salvati, L. Monitoring high-quality soil consumption driven by urban pressure in a growing city (Rome, Italy). Cities 2013, 31, 349–356. [Google Scholar] [CrossRef]





| Municipality | Site | Latitude | Longitude | Area, m2 | De-Sealed Area Types |
|---|---|---|---|---|---|
| Carpi | 1 | 44°47′6.7″ N | 10°53′18.4″ E | 2500 | public car parks located in the downtown |
| Forli | 2 | 44°13′15.5″ N | 12°02′5.8″ E | 2000 | public car parks located in the downtown |
| San Lazzaro di Savena | 3 | 44°28′41.1″ N | 11°24′36.1″ E | 16,000 | local waste management company |
| Site | Soil Material | pH | Bulk Density | Sand % | Silt % | Clay % | Textural Class USDA |
|---|---|---|---|---|---|---|---|
| Site 1 | De-sealed soil | 8.0 | 1.039 ± 0.116 | 46.1 | 29.45 | 24.46 | Loam |
| Site 1 | Topsoil | 8.0 | 1.159 ± 0.047 | 34.17 | 41.67 | 24.16 | Loam |
| Site 2 | De-sealed soil | 8.0 | 1.422 ± 0.068 | 56.94 | 26.16 | 16.91 | Sandy loam |
| Site 2 | Topsoil | 7.8 | 1.431 ± 0.032 | 42.91 | 27.9 | 29.19 | Clay loam |
| Site 3 | De-sealed soil | 8.1 | 1.311 ± 0.025 | 56.56 | 24.3 | 19.14 | Sandy loam |
| Site 3 | Topsoil | 8.0 | 1.392 ± 0.006 | 42.06 | 28.8 | 29.14 | Clay loam |
| Site | Time | Zn (mg/Kg) | Pb (mg/Kg) | Cu (mg/Kg) | ||||||||||
|---|---|---|---|---|---|---|---|---|---|---|---|---|---|---|
| De-sealed soil | 1 | T0 | 36.45 | ± | 1.5 | bA | 14.73 | ± | 0.45 | aA | 19.3 | ± | 0.68 | aA |
| 1 | T1 | 139.15 | ± | 1.11 | aA | 39.35 | ± | 0.35 | bA | 93.54 | ± | 1.01 | bA | |
| 1 | T2 | 73.7 | ± | 1.45 | bA | nd | ± | 71.68 | ± | 5.6 | bA | |||
| Topsoil | 1 | T0 | 67.36 | ± | 0.57 | aA | 13.7 | ± | 0.43 | aA | 41.05 | ± | 2.23 | aB |
| 1 | T1 | 121.19 | ± | 1.73 | bA | 27.01 | ± | 0.8 | bA | 84.89 | ± | 1.69 | bA | |
| 1 | T2 | 111.2 | ± | 3.65 | bA | 35.28 | ± | 4.49 | b | 92.79 | ± | 6 | bA | |
| De-sealed soil | 2 | T0 | 58.53 | ± | 1.17 | aA | 15.17 | ± | 1.08 | aA | 33.07 | ± | 0.27 | aA |
| 2 | T1 | 70.62 | ± | 0.13 | abA | 28.25 | ± | 0.28 | bA | 42.64 | ± | 0.65 | bA | |
| 2 | T2 | 57.32 | ± | 2.06 | bA | 28.7 | ± | 2.73 | bA | 42.42 | ± | 1.79 | bA | |
| Topsoil | 2 | T0 | 58.45 | ± | 0.72 | aA | 14.69 | ± | 0.12 | aA | 33.32 | ± | 0.32 | aB |
| 2 | T1 | 103.08 | ± | 5.74 | bB | 26.64 | ± | 0.67 | bA | 69.08 | ± | 1.27 | bA | |
| 2 | T2 | 104.57 | ± | 6.42 | bB | 30.35 | ± | 1.52 | bA | 77.3 | ± | 3.71 | bA | |
| De-sealed soil | 3 | T0 | 58.88 | ± | 0.38 | aA | 17.34 | ± | 0.09 | aA | 28.79 | ± | 0.24 | aA |
| 3 | T1 | 70.61 | ± | 1.13 | abA | 21.47 | ± | 0.94 | abA | 42.08 | ± | 1.83 | bA | |
| 3 | T2 | 81.71 | ± | 3.6 | bA | 25.05 | ± | 1.01 | bA | 46.05 | ± | 0.88 | bA | |
| Topsoil | 3 | T0 | 41.33 | ± | 0.66 | aA | 12.42 | ± | 0.27 | aA | 19.74 | ± | 0.16 | aA |
| 3 | T1 | 102.64 | ± | 1.16 | bB | 29.76 | ± | 0.24 | abA | 57.58 | ± | 0.27 | bA | |
| 3 | T2 | 101.43 | ± | 1.89 | bB | 40.11 | ± | 8.19 | bB | 58.81 | ± | 0.72 | bA | |
| Soil | Species | Site 1 | Site 2 | Site 3 | ||||||
|---|---|---|---|---|---|---|---|---|---|---|
| Cu | ||||||||||
| De-sealed | E. × ebbingei | 9.7 | ± | 1.4 a | 7.6 | ± | 0.3 a | 16.4 | ± | 1.1 a |
| V. tinus | 8.9 | ± | 0.7 a | 10.8 | ± | 1.2 a | 13.7 | ± | 1.4 a | |
| Topsoil | E. × ebbingei | 7.4 | ± | 0.8 a | 13.7 | ± | 1.1 b | 12.2 | ± | 1.9 a |
| V. tinus | 10.6 | ± | 1.0 a | 12.3 | ± | 1.0 a | 16.6 | ± | 1.6 a | |
| Zn | ||||||||||
| De-sealed | E. × ebbingei | 18.2 | ± | 2.6 a | 8.8 | ± | 2.1 a | 13.2 | ± | 3.5 a |
| V. tinus | 14.0 | ± | 2.3 a | 7.6 | ± | 1.6 a | 3.9 | ± | 0.6 a | |
| Topsoil | E. × ebbingei | 17.4 | ± | 3.6 a | 14.3 | ± | 1.6 a | 19.8 | ± | 3.1 a |
| V. tinus | 10.9 | ± | 3.0 a | 23.5 | ± | 2.5 b | 10.7 | ± | 2.5 a | |
| Pb | ||||||||||
| De-sealed | E. × ebbingei | 10.9 | ± | 2.9 a | 21.7 | ± | 2.3 a | 15.1 | ± | 3.4 a |
| V. tinus | 30.6 | ± | 4.7 b | 14.8 | ± | 3.3 a | 14.4 | ± | 1.7 a | |
| Topsoil | E. × ebbingei | 12.2 | ± | 1.1 a | 15.5 | ± | 2.2 a | 6.9 | ± | 1.8 a |
| V. tinus | 12.0 | ± | 1.6 a | 14.1 | ± | 1.5 a | 9.9 | ± | 2.0 a | |
Publisher’s Note: MDPI stays neutral with regard to jurisdictional claims in published maps and institutional affiliations. |
© 2021 by the authors. Licensee MDPI, Basel, Switzerland. This article is an open access article distributed under the terms and conditions of the Creative Commons Attribution (CC BY) license (http://creativecommons.org/licenses/by/4.0/).
Share and Cite
Maienza, A.; Ungaro, F.; Baronti, S.; Colzi, I.; Giagnoni, L.; Gonnelli, C.; Renella, G.; Ugolini, F.; Calzolari, C. Biological Restoration of Urban Soils after De-Sealing Interventions. Agriculture 2021, 11, 190. https://doi.org/10.3390/agriculture11030190
Maienza A, Ungaro F, Baronti S, Colzi I, Giagnoni L, Gonnelli C, Renella G, Ugolini F, Calzolari C. Biological Restoration of Urban Soils after De-Sealing Interventions. Agriculture. 2021; 11(3):190. https://doi.org/10.3390/agriculture11030190
Chicago/Turabian StyleMaienza, Anita, Fabrizio Ungaro, Silvia Baronti, Ilaria Colzi, Laura Giagnoni, Cristina Gonnelli, Giancarlo Renella, Francesca Ugolini, and Costanza Calzolari. 2021. "Biological Restoration of Urban Soils after De-Sealing Interventions" Agriculture 11, no. 3: 190. https://doi.org/10.3390/agriculture11030190
APA StyleMaienza, A., Ungaro, F., Baronti, S., Colzi, I., Giagnoni, L., Gonnelli, C., Renella, G., Ugolini, F., & Calzolari, C. (2021). Biological Restoration of Urban Soils after De-Sealing Interventions. Agriculture, 11(3), 190. https://doi.org/10.3390/agriculture11030190

