Next Article in Journal
From Avatars to Algorithms: Virtual Streamers and AI-Enabled Consumer Behavior in Live Streaming Commerce—A Systematic Review
Previous Article in Journal
Transcending the Paradox of Statistical and Value Rationality: A Tripartite Evolutionary Game Analysis of E-Commerce Algorithmic Involution
Previous Article in Special Issue
Digital Supply Chain Integration and Sustainable Performance: Unlocking the Green Value of Data Empowerment in Resource-Intensive Sectors
 
 
Font Type:
Arial Georgia Verdana
Font Size:
Aa Aa Aa
Line Spacing:
Column Width:
Background:
Article

The Sword Effect of Electronic Informatization on Income Inequality: E-Commerce and E-Government

1
School of Public Policy and Administration, Chongqing University, Chongqing 400044, China
2
School of Business Administration, Northeastern University, Shenyang 110167, China
*
Author to whom correspondence should be addressed.
J. Theor. Appl. Electron. Commer. Res. 2026, 21(2), 56; https://doi.org/10.3390/jtaer21020056
Submission received: 15 December 2025 / Revised: 20 January 2026 / Accepted: 20 January 2026 / Published: 3 February 2026

Abstract

Market and government are the main bodies in solving the problem of income inequality, especially as both undergo electronic informatization. This study explores the effect of e-commerce and e-government on regional income inequality, along with its impact mechanisms and spatial characteristics. The results show a significant “sword effect” impact: e-commerce exacerbates income inequality, while e-government suppresses it. This conclusion remains valid after endogeneity and robustness tests. Mechanistically, e-commerce widens the gap by promoting industrial agglomeration and worsening resource misallocation, while e-government narrows it by enhancing fiscal transparency and alleviating resource misallocation. Spatially, all three variables exhibit spatial correlation and β-convergence; e-commerce and income inequality show α-divergence, while e-government shows α-convergence. E-commerce presents a negative spatial spillover of “aggravating local inequality but suppressing adjacent regional inequality,” while e-government’s inhibitory effect is limited to local cities. Their impacts show significant heterogeneity across regional gradients and geographical locations, providing a basis for differentiated policy implications.

1. Introduction

The distribution of income is a complex process and presents a polarization trend. The United Nations’ 2024 World Social Report shows that the poorest half of the world’s population owns only 2% of the wealth, while the richest 10% owns 76%. Income inequality is one of the core issues in economic development and social governance. It not only reflects the fairness of resource allocation [1] but also profoundly affects the sustainability of regional development and social stability [2]. Historical experience has shown that severe income inequality is often accompanied by higher crime rates and more frequent social unrest. Empirical evidence also shows that the long-term accumulation of income inequality would weaken the effectiveness of macroeconomic policies [3], reduce the efficiency of resource allocation [4], and ultimately slow down the economic growth rate [5]. Seeking solutions to income inequality has become a global consensus, as both developed economies (the richest 1% of households own 32.3% of the country’s wealth, while the bottom 50% only own 2.6% in the United States, as reported by Federal Reserve data in 2023) and underdeveloped economies (such as Haiti [6] and Ethiopia [7]) face this challenge. Although a series of factors have been proven to affect income inequality, the market and government are at the core of these factors. The former plays a decisive role in allocation, and the latter plays a dominant role. With the advent of electronic informatization, it is urgent to examine how networked business forms, e-commerce, and digital government, e-government, affect income inequality. Especially, both as the main body of electronic informatization, e-commerce and e-government may have a sword impact on income inequality; that is, one alleviates income inequality, while the other exacerbates it.
On the one hand, e-commerce is a new business form that relies on Internet technology. It breaks the limitations of traditional business in terms of time and space [8], enabling the rapid circulation and transactions of goods and services [9]. At the economic and social level, e-commerce has driven the development of related industries, created a large number of job opportunities, and become a driving force for economic growth [10]. However, there are different stances in academia regarding the impact of e-commerce on income inequality. Some scholars hold that the popularization of e-commerce enables groups with digital skills and resource advantages to increase their income. It would widen the gap with groups lacking these abilities further, thus exacerbating income inequality [11]. Other scholars hold the opposite standpoint. They argue that e-commerce provides a fair competition platform for small and medium-sized enterprises and individual entrepreneurs. It could lower the threshold for starting a business and enable more people to participate in economic activities, thereby helping to narrow income inequality [12]. On the other hand, e-government refers to the application of modern information technology in government affairs and the provision of public services [13]. Through digital and networked means, it achieves government information transparency, process optimization, and public services convenience. Economically, e-government improves the administrative efficiency of the government, reducing administrative costs. Socially, it promotes interaction and communication between the government and the public, and it enhances the government’s credibility and executive ability. Regarding the impact of e-government on income inequality, there are also various viewpoints. Some scholars believe that the development of e-government helps improve the government’s social governance ability and promote the fair distribution of public resources [14], thus narrowing the income inequality. Other scholars are concerned that there may be a digital divide problem in the implementation of e-government. That is, differences exist among various regions and groups in accessing and using e-government services. It may lead to a further concentration of resources in developed regions and advantageous groups [15], thus exacerbating income inequality.
In addition to the analysis of e-commerce and e-government on income inequality, these three may also exhibit spatial characteristics. From the perspective of their own spatial characteristics, income inequality, e-commerce, and e-government may have spatial correlations. The government and market in neighboring regions are inevitably related [16]. They are the core factors affecting income inequality, while there is a high probability of spatial correlation between income inequality in neighboring regions. Electronic informatization could further strengthen the connection between governments and markets in neighboring regions. It makes the spatial correlation both of e-commerce and e-government even more evident. In addition, these spatial correlation characteristics may lead to spatial convergence characteristics. As time goes on, the degrees of income inequality and the development levels of e-commerce and e-government among various regions may gradually tend to be consistent due to factors such as technology diffusion, policy guidance, and market mechanisms [17]. During the impact process, the influence of e-commerce and e-government on income inequality may also have spatial spillover characteristics. In other words, from the perspective of spatial influence, the development of e-commerce or e-government in a region would not only affect local income inequality but may also have spillover effects on surrounding areas. At the same time, this impact may also have spatial heterogeneity. Due to differences in their own conditions and development stages, the degree and direction of the impact of e-commerce and e-government on income inequality may vary among different regions. Especially, besides the sword of general impact, are there spatial sword effects; that is, e-commerce or e-government has the opposite impact on other regions while exacerbating/alleviating local income inequality. Therefore, it is a critical requirement to select representative research subjects to explore both the impact and spatial characteristics of e-commerce and e-government on income inequality.
As the world’s largest developing country, China has consistently attached high priority to income inequality. Also, it is regarded as a critical factor affecting social stability and economic development. To narrow the gap, the government has introduced targeted poverty alleviation, expanded social security, and promoted employment and entrepreneurship [18]. The gradual application of electronic informatization in government departments has made Chinese government decision-making more scientific and precise, providing support for alleviating income inequality. A government report in 2018 pointed out the mode of promoting “Internet + government services.” It is required to integrate resources, strengthen government–public interaction, and break through information silos. Since then, governments at all levels have built official sites and service platforms gradually, making information open and services efficient [19]. The United Nations E-Government Survey Report 2024 shows that China’s e-government level ranks 35th globally. More prominently, its online service index ranks 11th, ahead of developed countries such as the United States and Canada. However, it is still unknown whether the impact of e-government on income inequality is significant. Also, China has the world’s largest e-commerce market, with the world’s largest e-commerce retail sales and the most active mobile payment ecosystem. With internet technology spreading and infrastructure improving, platforms such as Taobao, JD, and Pinduoduo offer consumers diverse goods. It not only provides merchants with vast space, thereby enhancing customers’ purchasing power and merchants’ revenue, but also cultivates high-income entrepreneurs and managers. Compared to whether e-government has played a role in alleviating income inequality, whether e-commerce suppresses or exacerbates income inequality is more concerning. Therefore, choosing China as the research object is both representative and universal. It is representative because China is the world’s largest e-commerce market and ranks 35th in global e-government rankings. Its universality comes from being the largest developing country; China’s governance experience can provide a reference for both developed and developing countries.
Therefore, this study selects Chinese cities as the research sample to examine four questions. (1) The sword effect: Does e-commerce aggravate or alleviate income inequality? What role does e-government play? (2) The mechanisms: What mechanisms have e-commerce and e-government used to achieve their impact on income inequality? (3) The spatial characteristics: What are the spatial correlation and convergence characteristics of e-commerce, e-government, and income inequality? And, do e-commerce and e-government have spillover and heterogeneity characteristics in their impact on income inequality? (4) The policy response: what targeted measures can optimize e-commerce and e-government to narrow regional income inequality and sustain economic growth and equity? To answer these questions, this study summarizes relevant research and proposes corresponding hypotheses in Section 2. In order to verify the proposed hypothesis, this study elaborated on the selection of variables, including income inequality, e-commerce, and e-government, while the construction of the econometric models required is described in Section 3. Section 4 answers Questions (1) and (2) through a series of tests, while Section 5 responds to Question (3) from a spatial perspective. Section 6 provides a summary of the research conclusions and then proposes corresponding policy recommendations to answer Question (4).

2. Literature Review and Research Hypotheses

2.1. Direct Impact of E-Commerce and E-Government on Income Inequality

Income refers to the total inflow of economic benefits generated by an individual in daily activities such as selling goods, providing services, and transferring asset usage rights [20]. The market is one of the modern economic governance methods that determines income. It uses the invisible hand of supply and demand to price various production factors (especially labor) [21], thereby determining the income of individuals and households. However, a purely free market would widen the income gap between top talents and ordinary people, leading to severe income inequality [22]. In addition, unequal family backgrounds and educational resources could lead to different starting lines for individuals entering the market [23], and the market may amplify this initial advantage. In modern society, the combination of “market determination” and “government regulation” is a common model. Unlike the market’s pursuit of efficiency, the government focuses more on fairness and social stability. The government plays a role through visible hands such as laws and minimum wage, taxation and welfare, education, and healthcare [24]. Therefore, as the two fundamental methods of modern economic governance, the impact of the market and the government on income inequality is opposite; that is, a sword effect. The market and government of electronic informatization may exacerbate this sword impact on income inequality.
The market is the primary area for income creation and circulation, and it inherently exerts a profound influence on income distribution. Traditionally, factors such as production accessibility, information asymmetry, and transaction costs in the market lead to differential opportunities for income [25], thereby shaping income inequality. E-commerce is the electronically networked incarnation of the market. It is now reconstructing how the market affects income distribution [26]. On the one hand, e-commerce may exacerbate income inequality. This is because groups with inherent advantages, such as those possessing digital literacy, capital strength, and technological capabilities, could more effectively leverage the scalability and efficiency of e-commerce platforms to expand business scales, capture market share, and accumulate wealth rapidly [27]. In contrast, marginalized groups lacking these resources often face barriers in accessing e-commerce infrastructure, mastering operational skills, and obtaining platform traffic. These further widen the income inequality between advantageous and disadvantaged groups. On the other hand, e-commerce also holds the potential to narrow income inequality. By breaking geographical and temporal constraints, e-commerce lowers the entry threshold for market participation [28], enabling small and medium-sized enterprises, individual entrepreneurs, and residents in remote areas to access national or even global markets without relying on physical storefronts or large initial investments. This expanded market access creates new income-generating opportunities for previously excluded groups, promoting a more inclusive income creation process. Of course, these two positions may coexist in real economic and social scenarios. And, the impact of e-commerce on income inequality depends on which one plays a greater role in driving income inequality or promoting income equality. Therefore, this study proposes the following hypothesis:
H1a: 
E-commerce could impact income inequality significantly.
The relatively balanced distribution of income is one of the foundations for ensuring social stability, and the government plays a crucial role in this process. Government has established a system to reduce income inequality by imposing progressive tax rates on high-income groups and providing social security and transfer payments to low-income groups [29]. With the transformation of the government towards service-oriented, and the popularization of electronic information technology, e-government has become an important tool for alleviating income inequality [30]. Unlike the traditional package system used by the government to regulate income distribution, e-government is more flexible and efficient. Based on digital platforms, it breaks the information asymmetry between the government and the public, especially for marginalized groups in remote and underdeveloped areas [31]. Additionally, e-government streamlines administrative procedures for policy implementation and reduces rent-seeking behavior [32], thus ensuring that welfare resources directly reach groups in need. The alleviation of income inequality through e-government is not perfect, and it also carries the risk of exacerbating income inequality, primarily due to the “digital divide.” Regions with underdeveloped digital infrastructure and groups with low digital literacy are always excluded from e-government services. This exclusion further deprives them of opportunities to obtain public support, ultimately widening income inequality. In practice, the direction of e-government’s impact on income inequality depends on whether the government could effectively address the digital divide and ensure the inclusiveness of digital governance. Therefore, this study proposes the following hypothesis:
H1b: 
E-government could impact income inequality significantly.

2.2. Impact Mechanism of E-Commerce and E-Government on Income Inequality

Not limited to affecting income inequality, e-commerce has a profound impact on industrial agglomeration [33]. Benefiting from the breakthrough of geographical limitations by e-commerce platforms, enterprises are able to reach a broader market. This provides favorable conditions for the concentration of related industries in specific regions. Thus, enterprises do not have to consider the distance from the market; they only need to be located near other enterprises to obtain more convenient opportunities for technology and experience exchange. The agglomeration could lead to economies of scale, reducing production costs and improving production efficiency [34]. Also, enterprises could share infrastructure. This, in turn, attracts more related enterprises to the specific region, further strengthening the agglomeration effect. However, industrial agglomeration driven by e-commerce may have negative impacts on regional income inequality. The agglomeration of resources in certain regions would lead to a situation where a few regions with favorable conditions develop rapidly, while other regions lag [35]. Advanced technology, high-quality talent, and large-scale capital tend to concentrate in these agglomeration areas. This makes it difficult for non-agglomeration areas to access resources, resulting in a widening gap in economic development and income accumulation within various regions. Moreover, within agglomeration areas, large-scale e-commerce enterprises may have a dominant position in the market, squeezing the living space of small- and medium-sized enterprises and further exacerbating income inequality.
While e-government could affect income inequality, its role in optimizing the policy environment is also deemed to be vital [36]. E-government shatters barriers rooted in geography, identity, and information asymmetry, thus empowering entities across groups. Most notably, e-government platforms centralize policy documents and make them accessible to all social entities without geographical or hierarchical restrictions [37]. This standardized process is built into the e-government system, thus not only improving the efficiency of policy implementation but also curbing rent-seeking behaviors. Further, optimized policy environment platforms create an equitable development foundation for market participants. Small- and medium-sized enterprises, rural operators, and low-income groups that were once marginalized by information isolation could access policy support. Also, standardized e-government systems prevent interest groups from monopolizing policy dividends, ensuring that the benefits of development are more evenly distributed among various social strata [38]. For vulnerable groups, targeted policies such as poverty alleviation and inclusive finance can be accurately delivered to those in need, directly improving their economic conditions. This multi-dimensional effect of the optimized policy environment gradually mitigates inequality in wealth accumulation, forming a positive cycle of fair development.
In addition to indirectly affecting income inequality through industrial agglomeration and policy environment individually, e-commerce and e-government may also achieve this impact through the common mechanism of resource allocation [39]. Resource misallocation refers to efficiency losses resulting from the nonoptimal use of factors of production [40]. E-commerce platforms typically prioritize resource distribution for merchants with higher transaction volumes and stronger brand recognition [41]. It makes production factors become excessively concentrated in advantageous regions and leading enterprises, whereas resources in less-developed areas or enterprises remain either idle or underutilized, thereby exacerbating the misallocation of resources. In contrast, e-government could effectively alleviate such resource misallocation through data integration and policy guidance functionalities. E-government platforms consolidate cross-departmental data spanning resource supply and demand, industrial development status, and regional comparative advantages, constructing a comprehensive information database for resource allocation [42]. Equipped with this data, policymakers could accurately monitor the real-time dynamics of resource flows and formulate targeted guiding policies. Further, the resource misallocation exacerbated by e-commerce may widen the development divide within both of regions and enterprises, since advantageous regions and leading enterprises secure more resource dividends to accelerate income accumulation, while underdeveloped regions and SMEs might be caught in a “resource poverty trap.” Conversely, e-government’s role in mitigating resource misallocation contributes to the rational allocation of development opportunities, empowering underdeveloped regions and vulnerable market entities to obtain the essential resources required for growth [43]. This contrast in resource allocation effects would lead to differing trajectories of income inequality, with e-commerce tending to widen inequality and e-government working to narrow it.
Based on the above, this study proposes the following hypothesis:
H2: 
E-commerce and e-government could affect income inequality through industrial agglomeration and policy environment, respectively, and through resource misallocation simultaneously.

2.3. Spatial Characteristics of E-Commerce, E-Government, and Income Inequality

Regional income inequality, e-commerce, and e-government may all exhibit significant spatial correlation. For income inequality, the “neighborhood effect” plays a key role. It means when a region has a high level of income inequality, its adjacent regions are more likely to face similar issues. This might be due to factors such as labor mobility, industrial transfer, and policy learning among neighboring regions leading to the imitation of income distribution patterns [44,45]. For e-commerce, spatial correlation might be driven by network externalities and infrastructure layout. Regions with developed e-commerce could drive the development of e-commerce in neighboring regions through shared logistics networks and cross-regional platform operations [46]. For e-government, spatial correlation stems from institutional imitation and intergovernmental collaboration. Local governments often learn from the successful experiences of neighboring regions in e-government construction, leading to similar e-government development levels across adjacent regions [47]. In addition, cross-regional e-government collaboration further strengthens spatial linkages.
On the basis that regional income inequality, e-commerce, and e-government all exhibit significant spatial correlation, they might also demonstrate other spatial characteristics, such as spatial convergence. Income inequality might show spatial convergence, which can be driven by cross-regional factor flow and policy learning effects [45]. Regions with relatively high initial income inequality often face problems such as labor outflow and insufficient consumption capacity, which could restrict the further expansion of income inequality. Simultaneously, the experience of inclusive development from regions with low income inequality could spread to adjacent regions with high inequality. E-commerce could also present spatial convergence, mainly relying on the popularization of digital infrastructure and the diffusion of e-commerce technologies and models [46,48]. Developed regions with mature e-commerce ecosystems might drive the development of neighboring underdeveloped regions through technology sharing, talent training, and logistics network extension. As digital literacy becomes more widespread among the population, the gap in e-commerce development between regions could gradually shrink. E-government, as a public service tool promoted by the government with unified planning, might have more obvious spatial convergence characteristics. Intergovernmental cooperation in cross-regional e-government could force underdeveloped regions to improve their digital governance capabilities [47,49]. Moreover, with the continuous advancement of national digital government construction, the gap in e-government development between regions could be further narrowed.
Not only may these three variables exhibit spatial characteristics themselves, but the impact of e-commerce and e-government on income inequality might also present spatial attributes. For e-commerce, such potential spatial influences on regional income inequality could be attributed to the cross-regional flow of factors. Developed e-commerce regions might promote the development of related industries in neighboring regions and the diffusion of e-commerce operation experiences [46,48]. This could create more employment opportunities and income sources for adjacent regions, thereby possibly affecting their income distribution. Regarding e-government, its potential spatial influences on income inequality may stem from the cross-regional diffusion of policy dividends and digital governance capabilities. E-government platforms with standardized service processes and transparent policy implementation could serve as a model for neighboring regions, promoting the optimization of their policy environments [47,49]. This might help adjacent regions improve the efficiency of public resource allocation and ensure that welfare policies reach vulnerable groups more accurately, thereby possibly alleviating local income inequality. Additionally, cross-regional e-government cooperation could directly drive the improvement of governance efficiency in adjacent regions, which may further affect the fairness of local income distribution. Such spatial influences of e-commerce and e-government on income inequality might manifest in positive ways, named the spillover effect, or in negative ways, known as the siphon effect. Whether these spatial influences tend toward positive or negative directions remains to be verified.
Therefore, this study proposes the following hypothesis:
H3: 
E-commerce, e-government, and income inequality all exhibit spatial convergence characteristics, and the first two have spatial spillover effects on income inequality.

3. Research Design

3.1. Variable Selection

3.1.1. Dependent Variable: Regional Income Inequality

This study uses the urban Gini coefficient to measure regional income inequality (Y1). The Gini coefficient provides a standardized measure of regional income inequality by describing the relationship between the proportion of accumulated population and the proportion of accumulated wealth. Its value range is originally between 0 (absolute equality) and 1 (absolute inequality), which can intuitively reflect the distribution balance of income among various income groups, and it is a classic indicator for measuring income and income inequality [50]. Among them, nighttime light intensity is used to capture accumulated wealth, reflecting the intensity and distribution of human activities.

3.1.2. Independent Variables: E-Commerce (X1) and E-Government (X2)

This study uses the e-commerce transaction volume (millions) to measure the level of e-commerce development in prefecture-level cities (X1). This indicator directly reflects the scale and activity of e-commerce activities at the city level. By quantifying the total value of goods and services transactions within the region, it provides an objective and measurable proxy variable for the development level of e-commerce. It covers the total value of multiple transaction modes such as B2B, B2C, and C2C, and it could accurately capture the actual development volume of urban e-commerce [48].
To measure the development level of urban e-government (X2), we draw on the research methods of Yang et al. [51] and construct a multidimensional comprehensive scoring index system. This indicator system covers the dimensions of service supply capacity, service response capacity, service intelligence capacity, data-driven capacity, and urban governance synergy. By using the objective weighting method of entropy weight, various dimensional indicators are weighted and synthesized to form the comprehensive score of e-government.

3.1.3. Control Variables

Population density (C1). Areas with high population density are prone to forming a “resource concentration effect,” which may widen the income inequality, while the resource allocation in sparse areas is more even [52]. Therefore, the population density is characterized by the ratio of the total number of permanent residents at the end of the year (in 10,000 people) to the administrative land area of the region (in square kilometers) and is used as a control variable.
Human capital (C2). Education is an investment in people that can increase an individual’s knowledge, skills, and abilities, known as human capital, leading to higher labor productivity. In the labor market, high-productivity workers naturally receive higher wages [53]. To separate this impact, “the number of people with college degrees or above at the end of the year in the region divided by the total number of permanent residents and multiplied by 100%” is used to measure human capital, and as one of the control variables.
Industrial structure upgrading (C3). The expansion of the proportion of the tertiary industry has created a demand for both high-skilled and high-income positions (such as finance, technology, consulting, and law) and low-skilled and low-income positions (such as catering, retail, cleaning, and nursing), which is one of the important factors affecting income inequality [54]. In order to remove this interference, the percentage of regional tertiary industry added value/regional gross domestic product (GDP) is used as a proxy variable for the control variable of tertiary industry proportion.
Fiscal pressure (C4). Cities with abundant finances could narrow the gap through online transfer payments, while regions with tight finances may exacerbate income inequality [52]. The percentage of “(Regional Local Government General Public Budget Expenditure—Regional Local Government General Public Budget Revenue)/Regional GDP” is used to measure fiscal deficit pressure and as one of the control variables.
Financial development (C5). Financial developed regions could help more people expand their business through e-commerce and reduce income inequality [54]. The percentage of “(year-end deposit balance of regional financial institutions + year-end loan balance of regional financial institutions)/regional GDP” is used as a proxy variable for the control variable of financial development.
Opening up (C6). Cross border e-commerce in regions with high openness is usually more active, and foreign-related services are correspondingly more comprehensive, thus narrowing income inequality [55]. However, opening up itself may bring about a “first rich group” and widen income inequality, and the confusion surrounding this factor needs to be eliminated. The percentage of “the annual total import and export volume of the region (denominated in RMB)/regional GDP” is used to measure the degree of openness of prefecture level cities.
The temporal variation patterns of each variable from 2018 to 2023 are shown in the kernel density plot in Figure 1. In the kernel density plot, the higher the peak value, the denser the data. The number of peaks indicates the differentiation situation. When presenting a single peak, there is no differentiation; when there are two or more peaks, it indicates the presence of two or more stages of differentiation. The curve moves with the change of year, indicating an increase in the level of the variable, and vice versa, indicating a decrease. The distribution of regional income inequality (Y) tends to concentrate towards higher values in the later stage, indicating an increase in the concentration degree of income inequality within regions during this period; that is, the state of income inequality is more stably maintained at a higher level. Furthermore, income inequality also shows a trend of multi-level differentiation. On the contrary, the distribution of e-commerce (X1) and e-government (X2) continue to shift towards higher values, indicating that the development level of e-commerce and e-government has significantly improved and gradually converged during this period. Here, another obvious phenomenon is that both e-commerce and e-government have experienced fluctuating changes. In 2020, the level of e-was is the lowest, while e-government was the highest, which had a significant correlation with the COVID-19 in China. Because COVID-19 can be attached to commodities, the Chinese government has implemented stricter control over cross-border and domestic regional commodity trade, resulting in a significant decline in e-commerce trade volume in 2020 and a gradual recovery thereafter. Also, in 2020, in order to avoid the spread of COVID-19 caused by human-to-human contact, the local government made significant efforts to improve the e-government system so it could meet administrative needs.
Among the control variables, population density (C1), industrial structure upgrading (C3), fiscal pressure (C4), and financial development (C5) are converging towards higher values, corresponding to an increase in population concentration, a stabilization of industrial upgrading processes, and a reduction in both fiscal pressure and financial development in regional differences. The diffusion of human capital (C2) and opening up (C6) towards high values reflects the intensification of regional differentiation in human capital levels and the expansion of regional differences in openness. Compared to the core variables of this study, most control variables are unimodal, indicating that there is no clear differentiation trend between regions. Meanwhile, these control variables also increase over time and are not as significant as the changes in income inequality, e-commerce, and e-government. The relatively stable control variables provide a solid foundation for exploring the impact of e-commerce and e-government on income inequality. Among the fluctuating changes in income inequality, the impact of U-shaped changes in e-commerce and N-type changes in e-government may be opposite, which is consistent with hypotheses H1a and H1b proposed in Section 2.1; that is, the impact of electronic informatization presents a sword effect.

3.2. Model Construction

3.2.1. Benchmark Regression Model

To take into account the impacts of e-commerce and e-government on each other, they are included in the benchmark model. The following equation is constructed to examine both the impact of e-commerce and e-government on regional income inequality:
Y i , t = α 0 + α 1 X 1 i , t + α 2 X 2 i , t + α 3 C o n t r o l s i , t + C i t y i + Y e a r t + ε i , t
where Yi,t denotes the latent variable for the regional income inequality of city i in year t. X1i,t and X2i,t represent e-commerce and e-government, respectively, and Controlsi,t represents the aforementioned control variables. εi,t is the random error term. The city, i, and year, t, effects are fixed.

3.2.2. Mediation Effect Model

To explore the impact mechanism of e-commerce and e-government on regional income inequality, this study adopts the two-step method to construct mediating effect regression equations, as follows.
M i , t = β 0 + β 1 X i , t + β 2 C o n t r o l s i , t + C i t y i + Y e a r t + ε i , t
Y i , t = β 0 + β 1 M i , t + β 2 C o n t r o l s i , t + C i t y i + Y e a r t + ε i , t
In Equation (2), Mi,t is the dependent variable for Xi,t, e-commerce and e-government. In Equation (3), Yi,t is the dependent variable for Mi,t. Thus, Mi,t is the mediating variable that needs to be further verified. The meanings of other letters are consistent with Equation (1).

3.2.3. Spatial Correlation Model

Based on the consideration of spatial effects, the global Moran Index of Y, X1, and X2 is calculated, as follows, to reflect the similarity values within adjacent regions in the spatial data.
I = N W i = 1 N j = 1 N w i j ( x i x ¯ ) ( x j x ¯ ) i = 1 N ( x i x ¯ ) 2
In Equation (4), W is the sum of all spatial weights, while xi and xj are the observation values of the i-th (i = 1, 2, 3, …, N) and j-th (j = 1, 2, 3, …, N) regions, respectively. wij is the spatial weight between region i and region j. The value range of the Moran index is from −1 to 1. When the Moran index approaches 1, the values of adjacent regions tend to be similar, indicating spatial clustering. When the Moran index approaches −1, the values in adjacent regions tend to be different, indicating spatial dispersion. When the Moran’s index approaches 0, it indicates that there is no spatial autocorrelation.

3.2.4. Spatial Convergence Model

To investigate the convergence characteristics of various core variables, this paper constructed α convergence and β convergence models [56] for Y, X1, and X2, respectively. Among them, α convergence reflects the deviation from the overall level over time. If this value gradually decreases with each year, it indicates that the dispersion of each city is gradually decreasing, that is, the difference is gradually narrowing, forming a trend of convergence towards the mean. The calculation coefficient of the α convergence coefficient is shown in Equation (5), while N is the number of regions.
σ t = i ( l n Y i , t Y t ) 2 / N
β convergence refers to the ratio of the development speed of the next period to the previous period, which can be divided into absolute β convergence and relative β convergence. Absolute β convergence reflects that variables at various levels would converge to the same level over time under the same structure, and its calculation formula is as follows. Yi,t+1/Yi,t is the growth rate of city i in period t + 1, and Yi,t is the value of variable in city i and period t. α is a constant term, β is the parameter to be estimated, and ui,t is the error term. If parameter β is significant and less than 0, it indicates a convergence trend; otherwise, it manifests as divergence.
Y i , t + 1 Y i , t = α + β Y i , t + u i , t
The relative β convergence suggests that the level of a variable depends not only on its initial level but also on other influencing factors. It reflects that various regions would converge to their own steady state. The calculation of relative β convergence is shown in Equation (7), where C represents the added control variable, γ is its coefficient, and the rest is consistent with absolute β convergence shown in Equation (6).
Y i , t + 1 Y i , t = α + β Y i , t + γ C + u i , t

3.2.5. Spatial Econometric Model

In order to further integrate all of the core variables and explain the spatial impact of e-commerce and e-government on regional income inequality, this paper constructs a series of spatial econometric models for investigation [57]. The spatial econometric models mainly include the Spatial Auto Regressive model (SAR), Spatial Error Model (SEM), and Spatial Durbin Model (SDM), as follows.
SAR :   Y i , t = ρ W Y i , t + β 1 X 1 i , t + β 2 X 1 i , t + α i + γ t + u i , t
SEM :   Y i , t = β 1 X 1 i , t + β 2 X 1 i , t + α i + γ t + u i , t
SDM :   Y i , t = ρ W Y i , t + β 1 X 1 i , t + θ 1 W X 1 i , t + β 2 X 1 i , t + θ 2 W X 1 i , t + α i + γ t + u i , t
i and t represent the city and year, respectively, ρ is the spatial error coefficient, λ is the spatial error coefficient, and β and θ are the coefficients to be estimated. αi represents spatial individual effects, γt represents spatial temporal effects, and ui,t is the random error term. W is a standardized spatial weight matrix. Based on the geographic distance between cities, it is represented by a geographic proximity matrix in this study.

3.3. Data Source

The Personal Income Tax Law was revised from CNY 3500 per month to CNY 5000 in 2018, which reduced the tax burden on middle and low-income groups and may lead to the formation of a new pattern of income inequality. Therefore, the time span of this study also starts from 2018. In addition, considering the availability of data, this study uses data of 222 prefecture-level cities from 2018 to 2023 to examine the impact of e-commerce and e-government on regional income inequality. Among the core variables, the accumulated wealth in the Gini coefficient comes from the NPP-VIRS and DMSP-OLS data of the National Oceanic and Atmospheric Administration (NOAA) in United States, and the e-commerce data comes from the China Urban Statistical Yearbook and the China E-commerce Report. For the control variables, the population density data is sourced from the China Statistical Yearbook, Statistical Yearbook of Prefecture level Cities, and local government statistical bulletins on national economic and social development; The human capital data is sourced from national census data and the China Population and Employment Statistics Yearbook; The industrial structure upgrading data comes from the China Urban Statistical Yearbook and GDP accounting reports of various cities; The fiscal pressure data is sourced from the China Fiscal Yearbook and local fiscal statistics; The financial development data comes from the China Financial Yearbook and reports from various branches of the People’s Bank of China; The Opening-up data is sourced from statistical data of various directly affiliated customs districts of the General Administration of Customs and the China Foreign Economic and Trade Statistical Yearbook. Interpolation is used to supplement missing data, and the descriptive statistics and correlation tests of each variable are shown in Table 1.
In Table 1, E-commerce data exhibits a relatively wide threshold range, and the median indicates a skewed distribution of data. Here, the e-commerce data has not been logarithmically processed for the following two reasons. First, most of the indicators involved in this study are in proportional form. Regional income inequality (Y), population density (C1), fiscal pressure (C4), financial development (C5), and opening up (C6) are proportional representations of one variable in another. Human capital (C2) and industrial structure upgrading (C3) are the same, just in percentage form. E-government (X2) is a comprehensive score based on multiple data. These relative value indicators do not require logarithmic transformation. Therefore, to maintain consistency, e-commerce (X1) also does not undergo logarithmic processing. Secondly, the volume of e-commerce transactions (millions) is used to measure the level of e-commerce. As an absolute value, the inclusion of e-commerce in quantitative analysis is a more practical consideration, as it is easier to determine how much the income inequality would change for every 1 million increases in it. On the contrary, its logarithmic form could not intuitively reflect this connection.

4. Empirical Analysis

4.1. Benchmark Regression

The benchmark regression results are reported in Table 2, with regional income inequality as the dependent variable and e-commerce (X1) and e-government (X2) as the core independent variables. Here, the Hausman test with a p-value of 0 significantly rejects the null hypothesis, so the city–year double fixed model for regression is employed. The coefficients of e-commerce are significantly positive in all regressions from Columns (1) to (5) and pass the 1% statistical significance tests. Conversely, another core independent variable, e-government, has significant negative regression coefficients in all models, also passing the 1% statistical significance tests. From the perspective of model fitting goodness, with the gradual addition of control variables, the adjusted coefficients of determination (adj.R2) gradually increased from 0.8257 in Column (1) to 0.8328 in Column (5), indicating that the explanatory power of the models continue to strengthen. Furthermore, the residual standard deviation (sigma_e) gradually decreased from 288.3417 to 282.4020, indicating that the added control variables effectively captured some of the influencing factors of regional income inequality and improved the accuracy of the core independent variable estimation results. The constant terms are significantly positive in all columns, consistent with the statistical characteristics set by the models. The benchmark regression results, which include all control variables as shown in Column (5), indicate that for every unit increase in e-commerce, the regional income inequality would significantly increase by 0.836 units. E-government has a significant inhibitory effect on regional income inequality, with the latter decreasing by 4.246 units for every unit increase in the former. Thus, H1a and H1b are proved.
Among the control variables, the coefficients of population density (C1) are all negative at the 1% significance level, indicating that the increase in population density has a significant inhibitory effect on regional income inequality. This might be the resource sharing and equal opportunities brought about by population agglomeration, which alleviates the income distribution gap. The coefficients of human capital (C2) are significantly positive in all models, indicating a positive correlation between the improvements in human capital and regional income inequality. This may be because high-human-capital groups are more likely to accumulate wealth in the early stages and widen the distribution gap. The high-human-capital group is more likely to accumulate wealth in the early stages, thereby widening the distribution gap, which may be the reason for this result. The coefficients of industrial structure upgrading (C3), although all positive, do not pass the statistical significance tests. This indicates that there is only a weak trend in the positive impact of industrial structure upgrading on regional income inequality, and it has not yet formed a statistically significant effect. The significant positive coefficients of fiscal pressure (C4) indicate that the increase in local fiscal pressure would significantly exacerbate regional income inequality, which may be due to the inequality in the transfer of fiscal pressure. The coefficients of financial development (C5) are significantly negative, indicating that the improvement in financial development has a significant inhibitory effect on regional income inequality, reflecting the inclusive characteristics of finance. In addition, the negative impact of opening-up (C6) on regional income inequality is not statistically significant.

4.2. Endogenous Test

Although six control variables have been considered, there is still a risk of omitted variables. In addition, there might be a reverse causal relationship between core independent variables, e-commerce and e-government, and the dependent variable, regional income inequality. Therefore, this section uses both the omitted variable sensitivity test method and the instrumental variable method to examine the potential endogeneity issues that might arise from the above two situations.

4.2.1. Testing for Omitted Variables

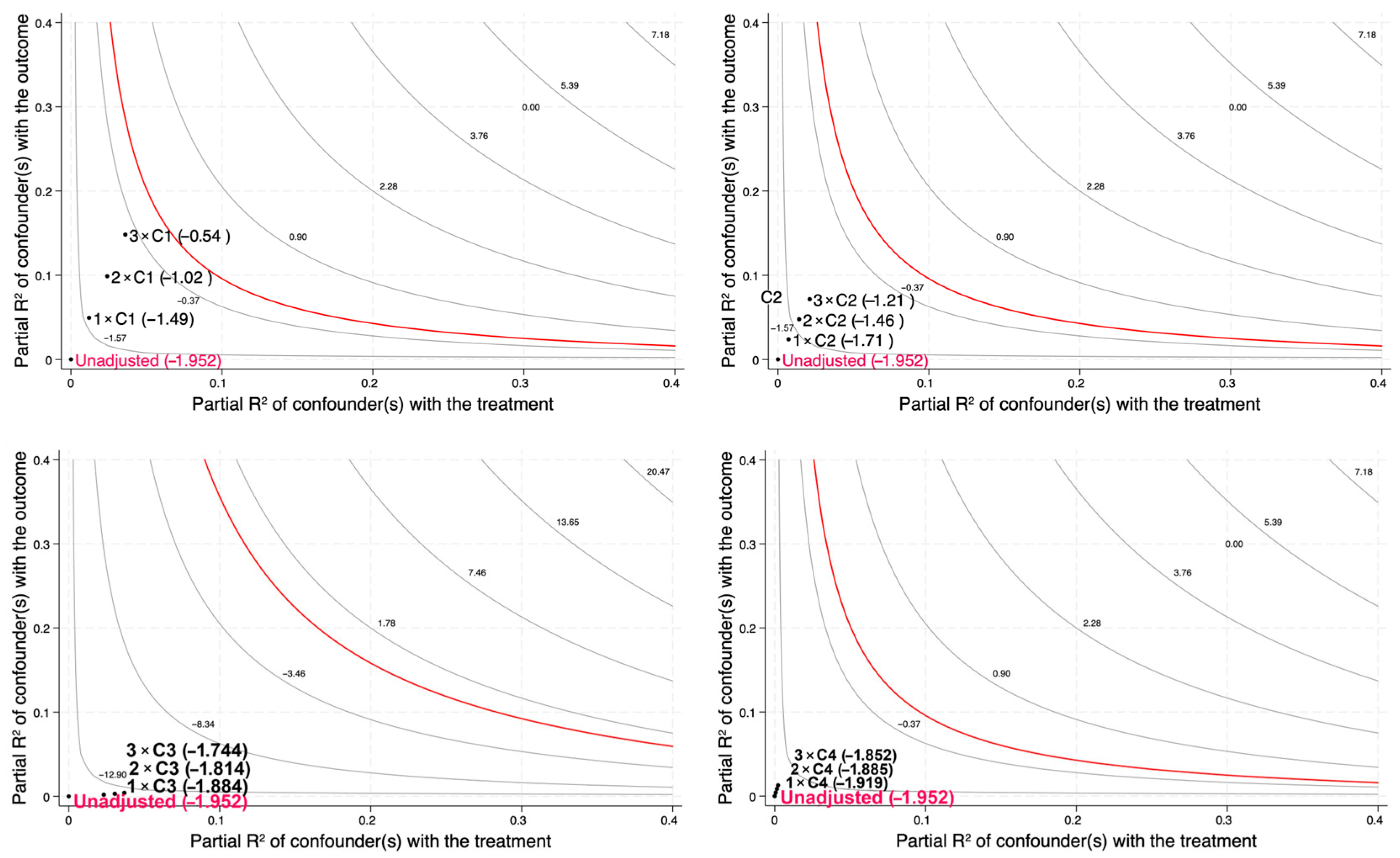
This section uses omitted variable sensitivity analysis to address endogeneity issues. Referring to the omitted variable sensitivity test method proposed by Carlos et al. [53], the impact of unobservable omitted variables on estimation results would be validated. The logic of this method is to select a comparison variable, and to use the Sensemakr command of STATA 18.0 software to estimate how many times the strength of this comparison variable would be needed to affect the benchmark regression results for possible omitted variables. All control variables are selected as comparison variables for testing, and the results are shown in Figure 2 and Figure 3. The former is for e-commerce, while the latter is for e-government.
The contour lines in both Figure 2 and Figure 3 represent the values of regression coefficients, with the red line indicating 0. The four numerical points at the bottom left of the coordinate axis refer to cases where no comparison variable is added, omitted variables with the same intensity as the comparison variable are added, omitted variables with twice the intensity of the comparison variable are added, and omitted variables with three times the intensity of the comparison variable are added. The regression coefficient values of the corresponding econometric models are indicated in parentheses. It can be observed that the values of the four variables corresponding to each of the six control variables are all located on the left side of the red line 0. This indicates that even if omitted variables with up to three times the intensity are added, the original estimated coefficients would not change sign, which means that the sensitivity test for omitted variables has been passed. Thus, H1a and H1b are still verified, even after omitted variable tests.

4.2.2. Instrumental Variables Test

To alleviate the possible reverse causality problem between the core independent variables and dependent variable, this section selects the pilot of cross-border e-commerce comprehensive experimental zone as the instrumental variable (IV) of e-commerce and the pilot of smart construction city as the IV of e-government, while kt employs the two-stage least squares method (2SLS) for further testing. The pilot cross-border e-commerce comprehensive pilot zone is a national policy led by the State Council. Supporting measures including customs clearance simplification, tax refund optimization, and cross-border logistics support could accurately reduce e-commerce transaction costs. Pilot qualifications are not determined by the development level of e-commerce in a city or dependent variables but are coordinated and allocated by the country based on top-level designs such as macro-opening strategies and regional economic layout. Thus, the pilot of cross-border e-commerce comprehensive experimental zone has strong policy externalities and meets the requirements as the instrumental variable. The pilot of smart city construction is supported by information technologies such as big data and cloud computing. The core task is to promote e-government upgrading projects such as government data sharing and “one-stop service”, which could drive the transformation of e-government to digital and intelligent directly. In addition, these pilot cities are jointly selected by multiple ministries and commissions. The selection criteria are based on macro endowments such as the informatization foundation, regional representativeness, and governance needs. Therefore, the pilot of smart construction city cannot be affected by independent variables and random disturbance terms, which meets the requirement of being the instrumental variable.
It should be noted that the dependent variable of this study is a measure of income inequality within the city. Most pilot cities have a more important position in regional development and are also more affluent. However, the prosperity of a city itself does not necessarily mean that its internal income inequality is greater or smaller. To observe income inequality distribution in pilot cities more intuitively, this study combines the years in which the cities were piloted with their corresponding income inequality rankings, as shown in Figure 4. The pilot cross-border e-commerce comprehensive pilot zone primarily focuses on the period from 2015 to 2022, while the pilot of smart city construction focuses on the period from 2012 to 2014. Regardless of which pilot city policy it is, the income inequality ranking of the pilot cities is divergent. This indicates that the two pilot city policies are not only implemented in cities with income equality or inequality, but rather, they have a relatively uniform and irregular distribution. In other words, these two pilot city policies did not directly lead to changes in urban income inequality, which makes both instrumental variables selected in this study compliant with exclusivity constraints.
The results of the instrumental variable validity tests (Table 3) show that the Kleiberen–Paap LM statistic is 5.895 in the e-commerce instrumental variable regression and 83.373 in the e-government instrumental variable regression, both of which are significant at the 1% statistical level. This set of results demonstrates that the selected IVs can effectively identify the impact of core independent variables. The Cragg–Donald Wald statistics are 36.863 (p = 0.000) and 154.086 (p = 0.000), respectively, indicating that there is no weak instrumental variable problem for IVs, which satisfies the core premise of instrumental variable validity. From the further analysis of the correlation between IVs and core independent variables, the coefficients of the cross-border e-commerce comprehensive experimental zone pilot in Column (1) and the intelligent construction city pilot in Column (3) are both significantly positive, confirming the stable positive correlation between IVs and core independent variables. The results of the second-stage regression in Columns (2) and (4) show that the regression results considering IVs are consistent with the benchmark regression, indicating that there is no reverse causal relationship between the core independent variables and dependent variable. Instrumental variables testing further proves H1a and H1b.

4.3. Robustness Test

4.3.1. Robustness Test for Variable Replacement

To verify the interference of measurement bias of the dependent variable on the original conclusion, the Theil index is used to replace the Gini coefficient of cities in the benchmark regression for re-regression [58], and the corresponding results are shown in Column (1) of Table 4. Although there are differences in the calculation logic between them, the Theil index and Gini coefficient are both classic methods for measuring income distribution inequality. The results shown in Column (1) are completely consistent with the original regression results in terms of the significance of the core independent variables and their positive/negative impact on the dependent variable. This ensures that the impact of e-commerce and e-government on regional income inequality is robust, rather than being a special result caused by a certain measurement method.

4.3.2. Robustness Test for Variable Increase

Considering that housing price factors may also exert a non-negligible impact, we incorporate housing-related variables to perform supplementary robustness tests. Specifically, we introduce two key metrics, annual average housing price (yuan) and annual median housing price (yuan), as control variables. The city-level housing price data are sourced from the China City Statistical Yearbook. The regression results with these two housing control variables are presented in Columns (2) and (3) of Table 4, respectively. The consistency of our core findings across these specifications not only mitigates the potential bias arising from the omission of housing factors but also further bolsters the reliability and credibility of our baseline empirical results.

4.3.3. Robustness Test for Sample Changing

To verify the robustness of sample selection, this section constructs a new sample by excluding core cities to conduct a robustness test for sample selection bias. The results are shown in Column (2) of Table 4. Considering that four municipalities directly under the central government have been excluded during the initial sample screening stage, this test also excluded observations from 14 other core cities [59], thus forming a research dataset containing 1248 samples. The results in column (4) indicate that the results after excluding the core cities are completely consistent with the original regression results in terms of influence direction and significance level, with only slight differences in the absolute values of the coefficients. Therefore, the impact of e-commerce and e-government on regional income inequality is robust and not affected by sample selection interference.

4.3.4. Robustness Test of Clustering

Considering the location characteristics of China’s regional economic development, this section adopts urban-area (eastern, central, western) clustering and conducts re-regression estimation. As shown in column (5) of Table 4, the estimated coefficient signs and significance levels of the core independent variables are consistent with the original regression results. This test ensures that heteroscedasticity and group effect interference do not affect the original conclusion of the impact of e-commerce and e-government on regional income inequality. After all the three robustness tests, H1a and H1b are still valid.

4.4. Impact Mechanism Test

To investigate the different pathways through which e-commerce and e-government affect regional income inequality, this section uses a two-step mediation test framework to examine the impact mechanisms from three aspects, industrial agglomeration, policy environment, and resource misallocation. Among them, industrial agglomeration is characterized by the level of industrial agglomeration [60], policy environment uses fiscal transparency as a proxy variable [61], and resource misallocation is reflected by the resource mismatch index [62].
In terms of industrial agglomeration, the regression results in Column (1) of Table 5 show that e-commerce has a significant impact on industrial agglomeration and is significant at the 1% statistical level, indicating that the penetration of e-commerce can significantly improve the level of regional industrial agglomeration. Then, the results of Column (2) indicate that industrial agglomeration has a significant effect on widening regional income inequality. Therefore, the conclusion that e-commerce can expand regional income inequality by enhancing industrial agglomeration can be summarized. Meanwhile, the regression results in Column (1) also indicate that e-government does not have a significant impact on industrial agglomeration; that is, the mechanism of industrial agglomeration only exists in the impact of e-commerce on regional income inequality.
In terms of policy environment, the regression results in Column (3) of Table 5 show that the construction of e-government has significantly improved the financial transparency of local governments. The results in Column (4) further reveal that fiscal transparency has a significant negative impact on regional income inequality. The above results indicate that e-government can enhance fiscal transparency through channels such as information disclosure, process transparency, and strengthened supervision, thereby suppressing excessive regional income inequality within cities. In contrast, the results in column (3) show that e-commerce has no significant impact on the policy environment, meaning that the mechanism of the policy environment only exists in the impact of e-government on regional income inequality. The impact of increased fiscal transparency on income inequality may lie in the following aspects: (1) Fiscal transparency enables government revenue and expenditure to be openly traced, which can reduce the monopoly of resources by elite groups or interest groups, ensure that fiscal expenditures are more inclined towards vulnerable groups, and directly improve the survival and development conditions of low-income earners. (2) Corruption is often a significant cause of exacerbating inequality, and e-government could reduce the transmission of implicit benefits [63], ensuring that social welfare and tax incentives accurately cover those who truly need them. (3) The improvement in transparency could help the public understand the impact of policies and promote public discussions on inequality issues. The government is therefore more likely to respond to the demands of vulnerable groups, adjust redistribution policies, and thus form a virtuous governance cycle.
In terms of resource misallocation, the results in Column (5) of Table 5 reflect that both e-commerce and e-government could have significant impacts on resource misallocation. E-commerce could significantly exacerbate resource mismatch, while e-government would significantly alleviate resource misallocation within cities. The results in Column (6) further reveal that resource misallocation significantly increases regional income inequality. Based on the results in Columns (5) and (6), it can be found that both e-commerce and e-government have a resource misallocation mechanism in their impact on regional income inequality. The former exacerbates resource misallocation and leads to greater regional income inequality [64], while the latter suppresses regional income inequality by alleviating resource misallocation [65].
The above test results and analysis jointly support hypothesis H2; that is, e-commerce and e-government could affect income inequality through industrial agglomeration and policy environment, respectively, and through resource misallocation simultaneously.

5. Spatial Characteristics Analysis

5.1. Spatial Correlation Characteristic

The spatial correlation of each core variable is the basis for exploring whether it has spatial convergence and spillover characteristics. Therefore, this section first conducts spatial correlation characteristic tests on each core variable. Based on Equation (4), Figure 5 reports the global Moran Index of regional income inequality, e-commerce, and e-government from 2018 to 2023. This result shows that the Moran Indices of most of the three variables passed the significance test at the 1% level during the study period, with only the Moran Index of e-commerce in 2020 being significant at the 5% level, indicating a significant spatial correlation characteristic of each core variable in the spatial dimension. Specifically, the Moran Index of regional income inequality is generally within the range of 0.0449–0.1302, showing a slight upward trend from 2018 to 2019, a decrease in volatility from 2020 to 2022, then a rebound to 0.1166 in 2023. This reflects that there are periodic fluctuations in the spatial agglomeration of regional income inequality, but it always maintains a positive correlation. The spatial correlation of income inequality is not only the basis for further investigating its spatial convergence characteristics but also a necessary condition for exploring spatial spillover benefits as the dependent variable.
The Moran Index of e-commerce showed a significant negative value (−0.0341) in 2020, indicating the e-commerce in that year exhibited spatial dispersion, which may be due to the impact of COVID-19. Since then, the Moran Index of e-commerce has been increasing year by year, indicating a significant increase in its spatial agglomeration in the post-pandemic era. The Moran Index of e-government has maintained a long-term positive correlation, showing an overall fluctuating upward trend from 2018 to 2023 and reaching a peak of 0.2097 in 2023, indicating that the spatial agglomeration effect of e-government continues to strengthen. Although the spatial correlations of them are not the necessary conditions for conducting spatial econometric analysis as explanatory variables, they are indeed the basis for analyzing whether each has spatial convergence characteristics.

5.2. Spatial Convergence Characteristic

5.2.1. α Convergence Characteristic

Based on the spatial correlation of each core variable, the specific value of the α convergence coefficients is calculated using Equation (5), as shown in Figure 6. In Figure 6a, the α convergence coefficients of regional income inequality show an overall upward trend from 2018 to 2023. Among them, there was a slight decline in 2020, and the coefficient showed a sharp increase in 2023. This trend indicates that the regional income inequality during the study period is in a sustained state of diffusion, which meets the criteria for judging the α divergence characteristic. In terms of e-commerce, the evolution of the α convergence coefficients exhibits differentiated characteristics. As shown in Figure 6b, except for a slight sudden increase in 2020 compared to other years, all other years have maintained a steady upward trend. From the overall evolution law, the α convergence coefficients of this dimension show an upward trend, meeting the conditions for the existence of α divergence. In terms of e-government, as shown in Figure 6c, the α convergence coefficients showed a downward fluctuation trend and remained relatively stable from 2018 to 2021. Since 2022, these coefficients have shown a slight increase. However, the overall evolution direction of the α convergence coefficients of e-government is still decreasing, from the perspective of the entire study period. This phenomenon indicates that there is a significant α convergence characteristic in e-government. The α convergence of income inequality and e-commerce means that it is necessary to explore their β convergence. This is because β convergence is the necessary condition for the existence of α convergence, but not the sufficient condition. It is urgent to conduct further β convergence tests to address the statement about convergence characteristics in Hypothesis H3.

5.2.2. β Convergence Characteristic

Combining Equation (6) and Equation (7) with various control variables, Table 6 reports the estimated absolute and relative β convergence coefficients of regional income inequality, e-commerce, and e-government. From the coefficients of these core variables, it can be seen that the coefficients of the three under the two convergence models are significantly negative (p < 0.001), indicating that regional income inequality, e-commerce, and e-government all have significant β convergence characteristics and tend to stabilize over time. Furthermore, from the perspective of convergence speed, in both absolute and relative β convergence, the absolute values of the coefficients for e-government (absolute β convergence value of 0.010, relative β convergence value of 0.015) are greater than those for regional income inequality (absolute and relative β convergence coefficients of 4.158 and 4.122, respectively) and e-commerce (absolute and relative β convergence coefficients of 9.02 × 10−3 and 9.23 × 10−3, respectively), indicating that e-government has the fastest convergence speed. Combining the results of relative β convergence, after adding control variables, the absolute value of the coefficients of e-government increased from 0.010 to 0.015, indicating that its convergence speed further accelerated. In contrast, the absolute value of the coefficients of e-commerce and regional income inequality changes less, and the convergence speed is relatively gentle under the influence of control variables.

5.3. Spatial Spillover Characteristic

Table 7 reports the test results for the selection of spatial econometric models for SAR, SEM, and SDM models. The LM test results show that Moran’s I, LM lag, LM error, and corresponding robustness test statistics are all significant at the 1% level (p = 0.000), once again indicating significant spatial correlation in the research subjects and requiring the introduction of spatial econometric models. In the two-way fixed effects test, both the LR-both/ind and LR-both/time statistics pass the 1% level significance tests, indicating that the model should simultaneously control for cities and year fixed effects. Furthermore, the LR test and Wald test are used to distinguish the form of the model. The statistics of LR-SDM/SEM and LR-SDM/SAR are significant at the 1% level, while Wald SDM/SEM and Wald SDM/SAR are also significant at the 1% levels. This means that the SDM cannot degenerate into SEM or SAR. Based on the above test results, this study chooses the SDM that includes both cities and years fixed effects for subsequent spatial spillover effect analysis.
Table 8 reports the estimation results of SDM with regional income inequality as the dependent variable. Among them, the rho coefficient is significantly positive, further verifying the rationality of examining the impact of e-commerce and e-government on regional income inequality from a spatial dimension. From the perspective of local effects (Main column), the coefficient of e-commerce is significantly positive, indicating that the e-commerce in the local area would significantly exacerbate regional income inequality. The coefficient of e-government is significantly negative, indicating that the improvement of e-government could effectively alleviate local regional income inequality. These findings are consistent with the benchmark regression results. From the perspective of spatial spillover effects (Wx column), the coefficient of e-commerce is significantly negative, indicating it would suppress income inequality in adjacent regions and exhibit the characteristic of “spatial negative spillover”. The coefficient of e-government is positive but not significant, which means its spatial spillover effect has not yet shown statistical significance. The above results collectively indicate that e-commerce has unintentionally contributed to the reduction in income inequality in neighboring regions while exacerbating local inequality. This may be due to the local e-commerce siphoning resources from surrounding areas, resulting in a decrease in the overall economic development level of these neighboring cities and creating a low-income form of income equality. The alleviating effect of e-government on income inequality could only be limited to local areas and has not formed a spatial demonstration and driving effect.
In addition, to ensure the credibility of the results of spatial spillover effects, this study added two robustness tests that are different from benchmark regression. The first approach is to change the original geographic spatial matrix to an economic–geography distance matrix. This matrix is obtained by assigning the same weight to the economic distance matrix and the geographical distance matrix, then adding them together. Among them, the economic distance matrix is calculated based on the absolute value of the difference in per capita GDP between each city [66]. The second approach is to use a dynamic Durbin model, which combines dynamic effects and spatial lag effects to simultaneously capture the dynamic changes in variables in time and spillover effects in space [67]. The two supplementary tests, shown in Table 9, are similar to the results in Table 8, indicating that the results of the original spatial spillover effect are robust.
Based on the empirical results and analysis in this section and Section 5.2, Hypothesis H3 is partially confirmed. Contrary to the hypothesis, the impact of e-government on income inequality did not show spatial spillover effect.

5.4. Spatial Heterogeneity Characteristic

To analyze the spatial heterogeneity of the impact of e-commerce and e-government on regional income inequality in cities of different regions, this section divides the research samples according to various properties, as shown in Figure 7. According to the gradient of economic development, the sample could be divided into eastern, central, and western regions (corresponding to the upper-left subgraph in Figure 7, distinguished by pink, orange, and red colors), reflecting the spatial heterogeneity under regional development policy differences. According to geographical location, the sample could be divided into the southern and the northern region, with Qinling–Huaihe as the boundary between them. The light and dark green parts in the upper-right subfigure of Figure 7 represent the northern and southern regions, respectively, reflecting the impact of differences in natural geographical conditions. The above two classifications are based on considerations of natural conditions and the economic differences they lead to. The former, based on geographical gradients, also reflects the gradient of regional economic development in China. China’s previous economic development relied heavily on exports, resulting in a regional pattern of coastal (eastern) areas, receiving (central) zones, and inland (western) areas. The latter, based on the differences in climate conditions caused by geographical location, also highlights the differences in regional development in China. Through these two various classifications based on natural geography, this study attempts to explore the heterogeneity of the impact of e-commerce and e-government on income inequality in terms of geographical location.
In addition to natural geographical conditions, this study also attempts to examine the heterogeneity of influences caused by human factors. Based on the Tengchong–Heihe line, the sample could be divided into three categories, north of the line, along the line, and south of the line (corresponding to the lower left quadrant in Figure 7, distinguished by light, general, and deep blue), which fits the spatial imbalance characteristics of population and economic distribution. According to whether they are in urban agglomerations or not, the sample could be divided into cities within urban agglomerations (including five national level urban agglomerations, such as Beijing–Tianjin–Hebei, Yangtze River Delta, and Pearl River Delta) and non-urban agglomerations cities. In the lower right quadrant of Figure 7, orange and yellow are used to distinguish whether city is within the urban agglomerations in order to capture the heterogeneous effects of urban agglomerations. Both classifications are due to the choice of humanities. The former is due to population mobility, which has resulted in less than 45% of the land accommodating over 90% of the population on the east side of the Tengchong–Heihe line. The latter refers to the administrative division of urban cluster development in China in recent years, taking into account population agglomeration.
The different classifications based on natural geography and human factors mentioned above help to supplement the understanding of hypotheses H1a and H1b; that is, whether the sword effect of e-commerce and e-government on income inequality holds true in all regions.
Based on four types of spatial heterogeneity, Table 10 reveals significant spatial heterogeneity characteristics in the effects of e-commerce and e-government on regional income inequality. In the economic gradient dimension of the eastern, central, and western regions, the exacerbating effect of e-commerce on income inequality presents a pattern of “central > eastern > western,” while the alleviating effect of e-government is manifested as “western > central > eastern.” In the geographical location bounded by Qinling–Huaihe, the intensification effect of e-commerce is stronger in the south, while the alleviation effect of e-government is only significant in the north. From the division of Tengchong–Heihe line, the impact of e-commerce on regional income inequality is extremely strong in the northern region of the line, while the alleviation effect of e-government is concentrated in the areas along and south of the line. In the dimensions of urban agglomerations and non-urban agglomerations, the intensifying effect of e-commerce is more prominent in cities outside the urban agglomerations, while the mitigating effect of e-government is also slightly stronger than those within urban agglomerations. Overall, the intensity and significance of the exacerbating effect of e-commerce on regional income inequality and the mitigating effect of e-government show significant spatial heterogeneity with differences in regional types, which also provides an empirical basis for the formulation of differentiated regional policies.

6. Conclusions and Inspiration

6.1. Main Conclusions

Based on the panel data of 222 cities in China from 2018 to 2023, this study systematically examines the ‘sword effect’ of e-commerce and e-government on regional income inequality. Then, their impact mechanisms and spatial characteristics are explored. The main conclusions are as follows.
E-commerce and e-government exhibit a significant “dual-track” impact on regional income inequality, which constitutes the core manifestation of the “sword effect” of electronic informatization. Benchmark regression results show that the increase in e-commerce significantly exacerbates regional income inequality, while the improvement of e-government significantly relieves it. This sword effect is not affected by endogeneity interference and remains robust. The impact mechanisms of e-commerce and e-government on regional income inequality have both specificity and commonality. For e-commerce, it exacerbates regional income inequality through two channels, promoting industrial agglomeration and worsening resource misallocation. For e-government, it suppresses regional income inequality by improving fiscal transparency and alleviating resource misallocation.
Regional income inequality, e-commerce, and e-government all demonstrate significant spatial correlation and β spatial convergence characteristics. However, regional income inequality and e-commerce show α divergence, while e-government shows α convergence. Also, the results of spatial measurement indicate that e-government significantly alleviates local income inequality. However, its impact on adjacent regions is not significant, failing to form a cross-regional demonstration effect. As a comparison, the spatial impact of e-commerce on regional income inequality presents another sword effect. It exacerbates local income inequality but suppresses income inequality in adjacent regions, presenting a “spatial negative spillover” feature. From the perspective of economic gradient, the exacerbating effect of e-commerce follows the order of “central > eastern > western”, while the alleviating effect of e-government follows “western > central > eastern.” In terms of geographical location (Qinling–Huaihe line), e-commerce’s intensifying effect is stronger in the south, and e-government’s alleviating effect is only significant in the north. Along the Tengchong–Heihe line, e-commerce has a strong impact on income inequality in the northern region. At the same time, e-government’s alleviating effect is concentrated in areas along and south of the line. In terms of urban agglomeration, e-commerce’s intensifying effect is more prominent in non-urban agglomeration cities.

6.2. Discussion

In terms of benchmark regression and impact mechanisms, the findings of this study are consistent with some existing research conclusions while presenting divergences with others. Regarding the exacerbating effect of e-commerce on income inequality, this study aligns with the viewpoint that groups with digital literacy and resource advantages could leverage new business forms to accumulate wealth rapidly [68], thereby widening the income gap with disadvantaged groups. The mechanism test further confirms that e-commerce promotes industrial agglomeration and worsens resource misallocation. This is in line with current research that the digital economy drives the concentration of production factors in specific regions and leading enterprises [69], further resulting in uneven resource distribution. For the inhibitory effect of e-government on income inequality, this study echoes the research emphasizing that e-government could improve the transparency of public resource allocation and reduce rent-seeking behavior, thus contributing to narrowing income disparities [31,32]. The mechanism of e-government alleviating resource misallocation also corroborates the previous conclusion that digital governance optimizes resource utilization efficiency [39]. However, this study contradicts the viewpoints of several scholars who believed that e-commerce lowers entrepreneurial thresholds and narrows income inequality [70]. The reason for this divergence may lie in the different research contexts; they mainly focused on the global promotion effect of e-commerce on inclusive entrepreneurship. This study found that the resource concentration effect of e-commerce in developing economies is more prominent than the inclusive effect in the short term. Additionally, this study differs from the concern of some scholars that e-government may exacerbate income inequality due to the digital divide [71]. The possible reason is that China’s continuous promotion of digital infrastructure construction and inclusive e-government services has alleviated the exclusion of disadvantaged groups, making the positive effect of e-government on fair resource allocation more significant.
In terms of spatial characteristics, the research results also show both consistency and inconsistency with existing literature. The significant spatial correlation between income inequality, e-commerce, and e-government, as verified in this study, is consistent with previous research. Just as Liu et al. argued, factors such as inter-regional labor mobility, industrial transfer, and institutional imitation lead to spatial agglomeration or diffusion of economic and governance factors [72]. The β-convergence characteristics of the three core variables align with the notion that technology diffusion [73] and policy guidance [74] promote the gradual convergence of development levels across regions. However, this study’s conclusion that e-commerce exhibits “negative spatial spillover” is inconsistent with current research, which suggests that e-commerce’s cross-regional resource integration could drive the economic development of neighboring regions and narrow the income inequality [17]. The divergence stems from the different perspectives on spatial effects. Ma et al. focused on the positive spillover of e-commerce in promoting employment and income increase in neighboring regions [75]. Meanwhile, this study found that local e-commerce formed a “resource siphon effect,” leading to the outflow of production factors from adjacent regions. This reduces the overall economic activity level of neighboring regions, resulting in a low-income equilibrium that appears as “suppressed inequality.” Additionally, the finding that e-government’s inhibitory effect on income inequality is limited to local areas contradicts the expectation that inter-governmental collaboration would generate cross-regional demonstration effects [75]. The reason may be that China’s e-government construction still has obvious regional autonomy characteristics. The interconnection and mutual recognition of cross-regional service systems are insufficient. These factors may make it difficult for the experience and dividends of e-government in developed regions to spread to adjacent areas promptly.

6.3. Policy Implications

This study puts forward the following policy implications to optimize the role of e-commerce and e-government based on the above conclusions to provide a governance basis for policy makers.
(1)
Implement differentiated guidance strategies for e-commerce development. For regions with a strong intensifying effect of e-commerce, an “e-commerce inclusive development fund” should be established to support low-income groups. At the same time, e-commerce platforms need to be guided to optimize the resource allocation mechanism and promote the “de-agglomeration” of e-commerce-related industries through policies. This could reduce the income inequality caused by industrial agglomeration.
(2)
Strengthen the construction of e-government with a focus on enhancing spillover effects. On the one hand, the construction of a national unified e-government service platform should be accelerated, especially in western and northern regions. On the other hand, fiscal transparency could be taken as a breakthrough point to improve the information disclosure system of e-government.
(3)
Formulate “region-specific” supporting policies based on spatial heterogeneity. For the central region, the construction of supporting industries needs to be strengthened to avoid the widening of income inequality due to unbalanced industrial development. For the western region, investment in e-government infrastructure could be increased to enhance its ability to suppress income inequality. For the northern region, focus should be on improving the quality of e-government services to make up for the weak alleviating effect of e-commerce. For non-urban agglomeration cities, policy support for e-commerce and e-government should be increased.
(4)
Take advantage of the “convergence characteristics” of e-government to drive the balanced development of electronic informatization. Since e-government has the fastest convergence speed, the promotion of e-government construction in underdeveloped regions should be prioritized through targeted policies such as financial transfer payments and technical assistance. At the same time, the convergence of e-government could be used to drive the coordinated development of e-commerce in underdeveloped regions, and to form a “e-government-led, e-commerce-supported” balanced development pattern of electronic informatization.

6.4. Limitations

This study has a limitation regarding the time span of the panel dataset, which only covers the period from 2018 to 2023. For empirical research focusing on structural variables such as income inequality, with dynamics that are also shaped by long-term socioeconomic transitions, institutional reforms, and demographic shifts, a 6-year observation window is relatively short. Future research could extend the observation period by incorporating historical data to conduct a more comprehensive analysis of the long-run determinants and evolution of income inequality. Additionally, expanding the time horizon would facilitate more robust tests of the temporal stability of the relationships.

Author Contributions

Conceptualization, Z.L. and S.W.; methodology, Z.L.; software, Z.L.; formal analysis, Z.L.; investigation, Z.L.; resources, Z.L.; data curation, Z.L.; writing—original draft preparation, Z.L.; writing—review and editing, Z.L.; visualization, Z.L.; supervision, S.W.; project administration, S.W.; funding acquisition, S.W. All authors have read and agreed to the published version of the manuscript.

Funding

This research was funded by “Major Program of National Social Science Foundation of China, grant number 23&ZD068”, “National Natural Science Foundation of China, grant number 72404052”, “Research Project of Humanities and Social Sciences of the Ministry of Education, grant number 24YJC790177”, “National Social Science Fund of China, grant number 22BGL280”, and “Fundamental Research Funds for the Central Universities, grant number N2406007”.

Institutional Review Board Statement

Not applicable.

Informed Consent Statement

Not applicable.

Data Availability Statement

The data will be made available upon request from the authors.

Conflicts of Interest

The authors declare no conflicts of interest.

References

  1. Wang, Q.; Yang, Z.; Li, R. Bridging energy transition and income inequality: The moderating effect of institutional transparency. Sustain. Dev. 2024, 32, 5031–5057. [Google Scholar] [CrossRef]
  2. Zhang, S.; Li, G.; Yu, R.; Chang, Y.; Yang, Y.; Zhang, Q.; Liu, W.; Hao, J. Understanding the shortboard of regional sustainable development: Fairness and efficiency of rural public resource allocation in China. Environ. Dev. Sustain. 2024, 26, 16739–16756. [Google Scholar] [CrossRef]
  3. Lenza, M.; Slacalek, J. How does monetary policy affect income and wealth inequality? Evidence from quantitative easing in the euro area. J. Appl. Econ. 2024, 39, 746–765. [Google Scholar] [CrossRef]
  4. Esteban, J.; Ray, D. Inequality, lobbying, and resource allocation. Am. Econ. Rev. 2006, 96, 257–279. [Google Scholar] [CrossRef]
  5. Islam, M.R.; Mcgillivray, M. Wealth inequality, governance and economic growth. Econ. Model. 2020, 88, 1–13. [Google Scholar] [CrossRef]
  6. Garcia, A.I.L.; Berens, S. Taxing the wealthy in Haiti: Evidence from a conjoint experiment on property tax preferences. World Dev. 2025, 196, 107–193. [Google Scholar] [CrossRef]
  7. Thiede, B.C. Rainfall shocks and within-community wealth inequality: Evidence from rural Ethiopia. World Dev. 2014, 64, 181–193. [Google Scholar] [CrossRef]
  8. Yuan, H.; Lu, K.; Fang, W. Machines vs. humans: The evolving role of artificial intelligence in livestreaming e-commerce. J. Bus. Res. 2025, 188, 115–177. [Google Scholar] [CrossRef]
  9. Chen, H.; Wang, Y. Cross-border e-commerce, financial development, and trade in services. Financ. Res. Lett. 2025, 86, 108815. [Google Scholar] [CrossRef]
  10. Yu, W.; Du, B.; Guo, X.; Marinova, D. Total factor productivity in Chinese manufacturing firms: The role of E-commerce adoption. Electron. Commer. Res. 2025, 25, 1005–1031. [Google Scholar] [CrossRef]
  11. Coccia, S.; Russo, A. Inequality and transmission channels of monetary policy in a macro agent-based model. Econ. Model. 2025, 153, 107316. [Google Scholar] [CrossRef]
  12. Paun, C.; Ivascu, C.; Olteteanu, A.; Dantis, D. The Main Drivers of E-Commerce Adoption: A Global Panel Data Analysis. J. Theor. Appl. Electron. Commer. Res. 2024, 19, 2198–2217. [Google Scholar] [CrossRef]
  13. Apeksha, H.; Parul, G.; Anand, J.; Mihalis, G.; Dwivedi Yogesh, K. The effects of trust on behavioral intention and use behavior within e-government contexts. Int. J. Inf. Manag. 2025, 67, 102553. [Google Scholar]
  14. Banerjee, A.; Duflo, E.; Imbert, C.; Mathew, S.; Pande, R. E-governance, Accountability, and Leakage in Public Programs: Experimental Evidence from a Financial Management Reform in India. Am. Econ. J. Appl. Econ. 2020, 12, 39–72. [Google Scholar] [CrossRef]
  15. Mao, Z.; Zhu, Y. Does e-government integration contribute to the quality and equality of local public services? Empirical evidence from China. Hum. Soc. Sci. Commun. 2025, 12, 242. [Google Scholar] [CrossRef]
  16. Peng, K.; Yu, F.; Kong, D.; Li, Y.; Geng, R. Do government-guided funds “guide” the transregional mobility of capital? Evidence from cross-city equity investments. Financ. Res. Lett. 2024, 66, 105661. [Google Scholar] [CrossRef]
  17. Ma, X.; Komatsu, S. Impact of e-commerce on income inequality: Evidence from rural China based on cross-county panel data. Inf. Technol. Dev. 2025, 31, 635–663. [Google Scholar] [CrossRef]
  18. Nor, I.A. Entrepreneurship Development as a Tool for Employment Creation, Income Generation, and Poverty Reduction for the Youth and Women. J. Knowl. Econ. 2024, 15, 19387–19410. [Google Scholar] [CrossRef]
  19. Nam, H.; Nam, T.; Kim, S. Identifying the Determinants of Platform-Based E-Government Service Use. J. Glob. Inf. Manag. 2024, 32, 1–21. [Google Scholar] [CrossRef]
  20. Liu, Z.; Spiegel, M.; Zhang, J. Capital flows and income inequality. J. Int. Econ. 2023, 144, 103776. [Google Scholar] [CrossRef]
  21. Franklin-Hall, A. Freedom and the Invisible Hand: Hussain on the Judgment-Bypassing Character of the Market. Can. J. Philos. 2025, 1–15. [Google Scholar] [CrossRef]
  22. Greenwald, D.L.; Lettau, M.; Ludvigson, S.C. How the wealth was won: Factor shares as market fundamentals. J. Political Econ. 2025, 133, 1083–1132. [Google Scholar] [CrossRef]
  23. Karlson, K.B.; Birkelund, J.F. Family background, educational qualifications, and labour market attainment: Evidence from Danish siblings. Eur. Sociol. Rev. 2022, 38, 988–1000. [Google Scholar] [CrossRef]
  24. Long, H.; Tao, C.; Yao, Z.; Zhu, Y. Visible hands versus invisible hands: Default risk and stock price crashes in China. Pac. Basin Financ. J. 2025, 91, 102715. [Google Scholar] [CrossRef]
  25. Javier, B.; Kristian, B.L.; Zofio, J.L. Industry location and wages: The role of market size and accessibility in trading networks. Reg. Sci. Urban Econ. 2016, 71, 1–24. [Google Scholar]
  26. Han, G.; Feng, Z.; Chen, S.; Xue, X.; Wu, H. Evaluating differential pricing in e-commerce from the perspective of utility. Electron. Commer. Res. Appl. 2024, 64, 101373. [Google Scholar] [CrossRef]
  27. Nadia, Z.; Anastasios, Z.; Samuel, A.; Grigorios, L. The micro-foundations of digitally transforming SMEs: How digital literacy and technology interact with managerial attributes. J. Bus. Res. 2023, 159, 113755. [Google Scholar] [CrossRef]
  28. Wei, J.; Wei, X.; Zhang, D.D.; Liu, J. First-party content and market concentration on a B2B E-commerce platform-Theory and empirical evidence. Decis. Support Syst. 2023, 170, 113958. [Google Scholar] [CrossRef]
  29. Pavel, B. Rising earnings inequality and optimal income tax and social security policies. J. Monet. Econ. 2023, 134, 35–52. [Google Scholar]
  30. Auerbach Alan, J. Public Finance Implications of Economic Inequality. J. Econ. Perspect. 2025, 39, 149–170. [Google Scholar] [CrossRef]
  31. Abulhaija, S.; Arroyab, M.F.; Kwong, C.; Zeng, W. Exploring the impact of external rewards on e-government services adoption: Empirical evidence from Jordan. Public Manag. Rev. 2025, 28, 180–206. [Google Scholar] [CrossRef]
  32. Sharma, S.; Kar, A.; Gupta, M. Building Accountability in e-government Services: Inputs for Policy. Australas. J. Inf. Syst. 2025, 29, 45. [Google Scholar] [CrossRef]
  33. Zeng, G.; Wu, M.; Yuan, X. Digital economy and industrial agglomeration. Econ. Anal. Policy 2025, 84, 475–498. [Google Scholar] [CrossRef]
  34. Guo, K.; Guo, X. Industrial agglomeration and corporate labor investment efficiency: A study based on the industry heterogeneity perspective. Manag. Decis. Econ. 2025, 45, 3127–3151. [Google Scholar] [CrossRef]
  35. Huang, D.; Xu, G.; Li, C.; Yang, S. Effects of high-tech industrial agglomeration and innovation on regional economic development in China: Evidence from spatial-temporal analysis and Spatial Durbin Model. Econ. Anal. Policy 2025, 86, 692–712. [Google Scholar] [CrossRef]
  36. Huang, X.; Hu, Y.; Zhang, F.; Li, T. Government digital transformation for sustainable development: How e-government initiatives enhance total factor energy efficiency. Res. Int. Bus. Financ. 2025, 80, 103084. [Google Scholar]
  37. Peeters, R.; Miller, M.; Schuilenburg, M. Digital government inclusion: Exploring strategies for inclusive government automation. Gov. Inf. Q. 2025, 42, 102028. [Google Scholar] [CrossRef]
  38. Sel, P. The Digital Masons: Technology Providers and Social Credit System Construction in China. J. Chin. Polit. Sci. 2025, 30, 395–420. [Google Scholar] [CrossRef]
  39. Jiang, L.; Li, B.; Zhang, M. The impact of digital transformation on the efficiency of corporate resource allocation: Internal mechanisms and external environment. Technol. Forecast. Soc. Change 2025, 215, 124107. [Google Scholar] [CrossRef]
  40. Yang, B.; Fan, F.; Dai, S.; Chen, S. Industrial Robots, Resource Misallocation, and Firm Innovation Performance: Evidence from China. J. Reg. Sci. 2025. [Google Scholar] [CrossRef]
  41. Yuan, M.; Qiu, R.; Sun, M.; Shao, S.; Fan, Z.P. Blockchain implementation decisions in a dual-channel supply chain under different market power structures. Int. J. Prod. Res. 2025, 63, 5238–5262. [Google Scholar] [CrossRef]
  42. Xu, W.; Guo, J.; Zhou, J. Impact of digital governance on the green utilization efficiency of urban land. Land Use Policy 2025, 153, 107539. [Google Scholar] [CrossRef]
  43. Gai, Q.; Guo, N.; Li, B.; Shi, Q.; Zhu, X. Rural Pensions, Labor Reallocation, and Aggregate Income: An Empirical and Quantitative Analysis of China. Econometrica 2025, 93, 1663–1696. [Google Scholar] [CrossRef]
  44. Liu, J.; Wang, X. Exploring the driving effect of the digital economy on rural labor force’s occupational transformation: Based on analysis of CFPS panel data. Int. Rev. Financ. Anal. 2025, 101, 104010. [Google Scholar]
  45. Li, W.; Li, J. Analysis of the Spatial Pattern and Influencing Factors of the Coupled and Coordinated Development of Digital Infrastructure and Public Employment Service Efficiency. Sustainability 2025, 17, 9152. [Google Scholar] [CrossRef]
  46. Qi, Q.; Rasouli, S.; Feng, T. Acceptance of crowd-sourced delivery tasks using diverse transportation mode options. Transp. Policy 2025, 173, 103796. [Google Scholar] [CrossRef]
  47. Chen, X.; Sullivan, A.A. With or without you: Does local autonomy increase intergovernmental collaboration? Public Manag. Rev. 2025, 1–29. [Google Scholar] [CrossRef]
  48. Wei, B.; Zhao, C.; Cai, W.; Luo, M. Online markets, offline homes: E-commerce development and rural migrant workers’ urban settlement intentions in China. Cities 2025, 161, 105867. [Google Scholar] [CrossRef]
  49. Ren, H. When rivals collaborate: The effect of resource constraints on intergovernmental collaboration. J. Chin. Gov. 2025, 1–28. [Google Scholar] [CrossRef]
  50. Steenbrink, R.; Skali, A. Wealth inequality and economic growth: Evidence from the World Inequality Database. World Dev. 2026, 199, 107250. [Google Scholar]
  51. Yang, C.; Luo, H.; Yang, S.; Li, L. Digital platforms and smart city synergies: Unlocking cross-sector innovation and governance in urban transformation. Technovation 2025, 147, 103307. [Google Scholar] [CrossRef]
  52. Woojin, J. Mapping community development aid: Spatial analysis in Myanmar. World Dev. 2023, 164, 106–124. [Google Scholar] [CrossRef]
  53. Yi, D.; Wu, D.; Gan, L.; Clark, W.A. Does urban housing demolition increase wealth inequality in China? Cities 2024, 150, 105053. [Google Scholar] [CrossRef]
  54. Song, Z.; Cheng, Z.; Li, M.Y. Does income inequality restrain marriage? A longitudinal study from the 35 large and medium-sized cities of China. Cities 2024, 152, 105200. [Google Scholar] [CrossRef]
  55. Hong, X.N.; Chen, Q.H.; Man, D.L.; Shi, C.Y.; Wang, N. The impact of digitalization on the rich and the poor: Digital divide or digital inclusion? Technol. Soc. 2024, 78, 102634. [Google Scholar] [CrossRef]
  56. Wang, S.; Wang, C.; Cao, Y.; Qin, X. Impact of green development on the achievement of China’s common prosperity goal and its spatial characteristics. Int. J. Glob. Warm. 2026, 38, 59–82. [Google Scholar] [CrossRef]
  57. Wang, S.; Yang, C.; Hou, D.; Dai, L. How do urban agglomerations drive economic development? A policy implementation and spatial effects perspective. Econ. Anal. Policy 2023, 80, 1224–1238. [Google Scholar] [CrossRef]
  58. Shen, H.; Luo, T.; Gao, Z.; Zhang, X.; Zhang, W.; Chuang, Y. Digital financial inclusion and the urban–rural income gap in China: Empirical research based on the Theil index. Econ. Res.-Ekon. Istraž. 2023, 36, 3. [Google Scholar] [CrossRef]
  59. Zhang, Y.; Wu, X.; Cai, R. The Effects of Rural E-Commerce on Income Inequality: Evidence from the National Rural E-Commerce Comprehensive Demonstration Policy in China. Econ. Anal. Policy 2025, 87, 221–234. [Google Scholar] [CrossRef]
  60. Luo, X.; Gao, N.; Yuan, X. Locational Drivers of China’s Digital Creative Industries: Unveiling Regional Concentration and Sectoral Differences. J. Theor. Appl. Electron. Commer. Res. 2025, 20, 123. [Google Scholar] [CrossRef]
  61. Li, R.; Wang, Q.; Qu, T. Transparency and citizen satisfaction: A meta-analysis and future research agenda. Public Manag. Rev. 2025, 1–35. [Google Scholar] [CrossRef]
  62. Kim, J.; Kang, H. Bureaucratic burden or administrative capacity? Administrative intensity and fiscal performance of local governments. Public Manag. Rev. 2025, 1–22. [Google Scholar] [CrossRef]
  63. Wu, A.M.; Yan, Y.; Vyas, L. Public sector innovation, e-government, and anticorruption in China and India: Insights from civil servants. Aust. J. Public Adm. 2020, 79, 370–385. [Google Scholar] [CrossRef]
  64. Zhang, Y.; Han, Y. Does Cross-Border E-Commerce Broaden the Innovation Boundaries of Firms? Evidence from a Quasi-Natural Experiment in China. J. Theor. Appl. Electron. Commer. Res. 2025, 20, 358. [Google Scholar] [CrossRef]
  65. Li, W.; Du, Y.; Tang, X. Digital Economy Governance and Corporate Cost Stickiness: Evidence from China. J. Theor. Appl. Electron. Commer. Res. 2025, 20, 313. [Google Scholar] [CrossRef]
  66. Gan, T.; Yang, H.; Liang, W.; Liao, X. Do economic development and population agglomeration inevitably aggravate haze pollution in China? New evidence from spatial econometric analysis. Environ. Sci. Pollut. Res. 2021, 28, 5063–5079. [Google Scholar] [CrossRef] [PubMed]
  67. Wang, S.; Wang, J.; Wang, Y.; Wang, X. Spillover and Re-Spillover in China’s Collaborative Innovation. Int. Reg. Sci. Rev. 2023, 46, 38–68. [Google Scholar] [CrossRef]
  68. Shatila, K.; Aránega, A.Y.; Soga, L.R.; Hernández-Lara, A.B. Digital literacy, digital accessibility, human capital, and entrepreneurial resilience: A case for dynamic business ecosystems. J. Innov. Knowl. 2025, 10, 100709. [Google Scholar] [CrossRef]
  69. Hong, Q.Q.; Su, J. The impact of rural e-commerce platforms on the transformation of industrial structure: Evidence from China. Rev. Dev. Econ. 2024, 28, 1267–1291. [Google Scholar] [CrossRef]
  70. Hu, S.; Zhang, H.Q.; Wang, Y.D. Does e-commerce development drive regional entrepreneurial activity? Spatial spillover effect and mechanism analysis. Int. J. Prod. Econ. 2025, 284, 09611. [Google Scholar] [CrossRef]
  71. Gyau, E.B.; Li, Y.Y.; Appiah, M. Global digital transformation: Discovering the impact of digitalization on income inequality in OECD countries, the moderating role of globalization. Econ. Change Restruct. 2025, 58, 6. [Google Scholar] [CrossRef]
  72. Liu, Y.; Zhang, X. Does labor mobility follow the inter-regional transfer of labor-intensive manufacturing? The spatial choices of China’s migrant workers. Habitat Int. 2022, 124, 102559. [Google Scholar] [CrossRef]
  73. Hübler, M. Technology diffusion under contraction and convergence: A CGE analysis of China. Energy Econ. 2011, 33, 131–142. [Google Scholar] [CrossRef]
  74. Camagni, R.P. Development scenarios and policy guidelines for the lagging regions in the 1990s. Reg. Stud. 1992, 26, 361–374. [Google Scholar] [CrossRef]
  75. AbouAssi, K.; Bowman, M.; Johnston, J.M.; Bauer, Z.; Tran, L. Relations, resources, and costs: Exploring cross-sectoral collaboration at the local level in a developing country. Int. Public Manag. J. 2021, 24, 646–672. [Google Scholar] [CrossRef]
Figure 1. Kernel density plot of temporal variations of variables.
Figure 1. Kernel density plot of temporal variations of variables.
Jtaer 21 00056 g001
Figure 2. Testing of omitted variables in e-commerce.
Figure 2. Testing of omitted variables in e-commerce.
Jtaer 21 00056 g002aJtaer 21 00056 g002b
Figure 3. Testing of omitted variables in e-government.
Figure 3. Testing of omitted variables in e-government.
Jtaer 21 00056 g003
Figure 4. Distribution of income inequality ranking in pilot cities. Note: The further away each point is from the horizontal axis, the higher its income inequality. The color of each point has no specific meaning; it is only used to prevent being obscured.
Figure 4. Distribution of income inequality ranking in pilot cities. Note: The further away each point is from the horizontal axis, the higher its income inequality. The color of each point has no specific meaning; it is only used to prevent being obscured.
Jtaer 21 00056 g004
Figure 5. Moran Index of core variables. Note: ***, and ** indicate significance at the 1%, and 5% levels, respectively.
Figure 5. Moran Index of core variables. Note: ***, and ** indicate significance at the 1%, and 5% levels, respectively.
Jtaer 21 00056 g005
Figure 6. α convergence index of core variables.
Figure 6. α convergence index of core variables.
Jtaer 21 00056 g006
Figure 7. Heterogeneity division of research samples. Note: The above map only categorizes the cities involved in this study based on various criteria. Cities not involved in this study, represented by white areas, have not been categorized, but this does not imply that they do not fall under any of the criteria.
Figure 7. Heterogeneity division of research samples. Note: The above map only categorizes the cities involved in this study based on various criteria. Cities not involved in this study, represented by white areas, have not been categorized, but this does not imply that they do not fall under any of the criteria.
Jtaer 21 00056 g007
Table 1. Descriptive statistics and correlation testing of variables.
Table 1. Descriptive statistics and correlation testing of variables.
YX1X2C1C2C3C4C5C6
Y1.000
X1−0.124 ***1.000
X2−0.143 ***0.073 ***1.000
C1−0.321 ***0.213 ***0.248 ***1.000
C2−0.0370.291 ***0.156 ***0.210 ***1.000
C3−0.159 ***0.333 ***0.199 ***0.352 ***0.644 ***1.000
C40.219 ***−0.215 ***−0.321 **−0.562 ***−0.410 ***−0.433 ***1.000
C5−0.051 *0.245 ***0.069 ***0.056 **0.579 ***0.595 ***−0.050 *1.000
C6−0.093 ***0.059 ***0.124 ***0.271 ***0.236 ***0.258 ***−0.261 ***0.088 ***1.000
Mean0.35911.36269.9385.9570.0252.3820.1152.9880.002
Min0.00480.14431.772.9260.0012.124−0.0091.2010
Max0.498389.9490.458.1760.1852.7230.4327.1740.02
Median0.3723.32371.1106.0480.0152.3740.0982.6510.001
VIF 1.161.131.582.172.401.972.021.14
Note: ***, **, and * indicate significance at the 1%, 5%, and 10% levels, respectively.
Table 2. Benchmark regression results.
Table 2. Benchmark regression results.
Variable(1)(2)(3)(4)(5)
X18.24 × 10−5 ***7.81 × 10−5 ***7.79 × 10−5 ***8.36 × 10−5 ***8.36 × 10−5 ***
(0.000)(0.000)(0.000)(0.000)(0.000)
X2−4.466 × 10−4 ***−4.738 × 10−4 ***−4.694 × 10−4 ***−4.110 × 10−4 ***−4.246 × 10−4 ***
(0.007)(0.004)(0.004)(0.008)(0.006)
C1 −0.146 ***−0.146 ***−0.145 ***−0.151 ***
(0.001)(0.001)(0.001)(0.001)
C2 0.514 **0.512 **0.426 *0.428 *
(0.046)(0.043)(0.081)(0.082)
C3 0.0500.0440.0470
(0.137)(0.160)(0.133)
C4 0.266 ***0.264 ***
(0.000)(0.000)
C5 −0.012 ***−0.011 ***
(0.003)(0.008)
C6 −2.321
(0.137)
CityYESYESYESYESYES
YearYESYESYESYESYES
Constant0.389 ***1.248 ***1.127 ***1.139 ***1.175 ***
(0.000)(0.000)(0.000)(0.000)(0.000)
Observations13321332133213321332
adj.R20.82570.82870.82890.83230.8328
sigma_e0.0290.0290.0290.0280.028
Note: p-value is in brackets. ***, **, and * indicate significance at the 1%, 5%, and 10% levels, respectively.
Table 3. Results of IV tests using 2SLS.
Table 3. Results of IV tests using 2SLS.
X1X2
(1)(2)(3)(4)
IV16.452 ** 9.558 ***
(0.013) (0.000)
X1 1.246 × 10−3 **−0.049 ***4.16 × 10−5 *
(0.017)(0.007)(0.083)
X2−0.550 **−4.750 × 10−4 * −2.467 × 10−3 ***
(0.021)(0.053) (0.000)
ControlsYESYESYESYES
CityYESYESYESYES
YearYESYESYESYES
Constant−172.7910.299468.9510.093
(0.488)(0.301)(0.895)(0.795)
Observations1332133213321332
adj.R20.24210.13100.14760.1453
sigma_e0.0020.0400.0400.040
Kleibergen-PaapLM5.895[0.015]83.373[0.000]
Cragg-Donald Wald 36.863[0.000]154.086[0.000]
Note: ***, **, and * indicate significance at the 1%, 5%, and 10% levels, respectively.
Table 4. Results of robustness test.
Table 4. Results of robustness test.
(1)(2)(3)(4)(5)
X12.25 × 10−4 ***8.241 × 10−5 ***8.263 × 10−5 ***7.44 × 10−5 ***8.361 × 10−5 ***
(0.000)(0.000)(0.000)(0.000)(0.003)
X2−0.001 ***−4.226 × 10−4 **−4.221 × 10−4 **−3.938 × 10−4 **−4.246 × 10−4 **
(0.000)(0.012)(0.012)(0.028)(0.023)
ControlsYESYESYESYESYES
CityYESYESYESYESYES
YearYESYESYESYESYES
Constant−0.2851.035 ***1.032 ***1.037 **1.175
(0.248)(0.000)(0.000)(0.014)(0.165)
Observations13321332133212481332
adj.R20.71320.86230.86230.85710.8328
sigma_e0.0180.0280.0280.0280.028
Note: ***, and ** indicate significance at the 1%, and 5% levels, respectively.
Table 5. Results of testing the impact mechanism.
Table 5. Results of testing the impact mechanism.
Industrial AgglomerationPolicy EnvironmentResource Misallocation
(1)(2)(3)(4)(5)(6)
Mediators 6.944 × 10−3 ** −1.984 × 10−4 *** 2.277 × 10−3 ***
(0.036) (0.008) (0.000)
X10.006 *** −0.0079.658 × 10−5 ***0.002 ***
(0.000) (0.738)(0.000)(0.000)
X2−0.001−4.447 × 10−4 ***0.200 *** −0.002 **
(0.300)(0.008)(0.004) (0.036)
ControlsYESYESYESYESYESYES
CityYESYESYESYESYESYES
YearYESYESYESYESYESYES
Constant3.701 ***0.953 ***140.561 *0.9575 ***0.9570.906 ***
(0.000)(0.000)(0.080)(0.000)(0.438)(0.000)
Observations133213321332133213321332
adj.R20.71990.86180.63260.86180.65360.8619
sigma_e0.1350.02810.4420.0280.1420.028
Note: ***, **, and * indicate significance at the 1%, 5%, and 10% levels, respectively.
Table 6. β convergence coefficients.
Table 6. β convergence coefficients.
Absolute β ConvergenceRelative β Convergence
YX1X2YX1X2
Coefficient of
core variables
−4.158 **−9.02 × 10−3 ***−0.010 ***−4.122 ***−9.23 × 10−3 ***−0.015 ***
(0.000)(0.000)(0.000)(0.000)(0.000)(0.000)
Observations111011101110111011101110
ControlsNONONOYESYESYES
CityYESYESYESYESYESYES
YearYESYESYESYESYESYES
adj.R20.28570.01940.21890.37360.02100.4913
sigma_e0.2991.7620.1430.2811.7670.115
Note: ***, and ** indicate significance at the 1%, and 5% levels, respectively.
Table 7. Inspection results of spatial econometric model selection.
Table 7. Inspection results of spatial econometric model selection.
TestsCoefficientp-Value
LM TestMoran’s I18.664(0.000)
LM-lag32.157(0.000)
Robust_LM-lag5.658(0.017)
LM-error429.750(0.000)
Robust_LM-error403.251(0.000)
Two-way Fixed Effect TestLR-both/ind63.82(0.000)
LR-both/time1910.59(0.000)
LR TestLR-SDM/SEM21.46(0.000)
LR-SDM/SAR45.36(0.000)
Wald TestWald-SDM/SEM27.06(0.001)
Wald-SDM/SAR70.58(0.000)
Table 8. Empirical results of spatial econometric model.
Table 8. Empirical results of spatial econometric model.
MainWx
X15.48 × 10−5 *−1.656 × 10−4 ***
(0.057)(0.001)
X2−3.006 × 10−4 ***1.478 × 10−3
(0.009)(0.120)
C1−0.157 ***1.173 ***
(0.000)(0.000)
C20.381 **6.550 ***
(0.013)(0.003)
C30.019−0.155
(0.520)(0.527)
C40.237 ***−0.3106
(0.000)(0.487)
C5−0.057−0.038
(0.111)(0.317)
C6−2.472 ***21.492
(0.007)(0.148)
rho2.533 ***
(0.000)
sigma2_e0.5270 ***
(0.000)
Observations1332
Number of id222
R-squared0.0057
Note: ***, **, and * indicate significance at the 1%, 5%, and 10% levels, respectively.
Table 9. Robustness test results of spatial econometric model.
Table 9. Robustness test results of spatial econometric model.
Economic–Geography Distance MatrixDynamic Durbin Model
MainWxMainWx
L1.Y −0.015
(0.630)
X14.920 × 10−5 *−2.203 × 10−4 **5.560 × 10−5 *−3.052 × 10−4 ***
(0.080)(0.013)(0.079)(0.000)
X2−2.931 × 10−4 **−3.496 × 10−4−3.871 × 10−4 **−1.987 × 10−3
(0.010)(0.786)(0.011)(0.241)
C1−0.129 ***0.463 *−0.214 ***1.870 ***
(0.002)(0.056)(0.001)(0.000)
C20.292 **1.7380.2678.967 ***
(0.051)(0.421)(0.146)(0.001)
C3−0.0070.1430.0270.408
(0.826)(0.549)(0.619)(0.384)
C40.246 ***−0.950 **0.252 ***−0.752
(0.000)(0.029)(0.000)(0.160)
C5−0.008 **0.018−0.009 *−0.081
(0.017)(0.533)(0.086)(0.170)
C6−2.513 ***8.074−3.144 **12.878
(0.005)(0.537)(0.023)(0.570)
rho2.5852 ***2.5002 ***
(0.000)(0.000)
sigma2_e0.0005 ***0.0007 ***
(0.000)(0.000)
Observations13321110
Number of id222222
R-squared0.22030.0026
Note: ***, **, and * indicate significance at the 1%, 5%, and 10% levels, respectively.
Table 10. Regression results of spatial heterogeneity.
Table 10. Regression results of spatial heterogeneity.
Divided by Economic GradientDivided by Geographical Location
(1) Eastern(2) Central(3) Western(4) Northern (5) Southern
X17.62 × 10−5 ***1.866 × 10−4 ***7.61 × 10−5 *7.36 × 10−5 ***1.249 × 10−4 ***
(0.002)(0.000)(0.054)(0.001)(0.000)
X2−3.901 × 10−4 *−4.149 × 10−4 **−4.670 × 10−4 ***−4.806 × 10−4 **−1.486 × 10−4
(0.071)(0.033)(0.003)(0.024)(0.570)
ControlsYESYESYESYESYES
CityYESYESYESYESYES
YearYESYESYESYESYES
Constant1.448 ***−0.641−0.006−1.2061.387 ***
(0.000)(0.278)(0.470)(0.115)(0.000)
Observations546462324552780
adj.R20.54030.71250.56810.68450.5179
sigma_e0.0290.0240.0290.0270.028
Heihe–Tengchong LineUrban Agglomeration
(6) North(7) Along(8) South(9) Within(10) Outside
X12.068 × 10−3 **7.48 × 10−5 **8.59 × 10−5 ***3.40 × 10−5 *7.66 × 10−5 ***
(0.026)(0.026)(0.001)(0.086)(0.000)
X2−5.06 × 10−5−1.039 × 10−3 ***−2.066 × 10−4 **−3.125 × 10−4 *−3.876 × 10−4 **
(0.990)(0.001)(0.016)(0.091)(0.044)
ControlsYESYESYESYESYES
CityYESYESYESYESYES
YearYESYESYESYESYES
Constant0.0390.066 ***1.077 ***0.042 ***−0.017
(0.533)(0.000)(0.000)(0.000)(0.976)
Observations30348954504828
adj.R20.46540.59010.60160.51120.6405
sigma_e0.0410.0290.0270.0260.028
Note: ***, **, and * indicate significance at the 1%, 5%, and 10% levels, respectively.
Disclaimer/Publisher’s Note: The statements, opinions and data contained in all publications are solely those of the individual author(s) and contributor(s) and not of MDPI and/or the editor(s). MDPI and/or the editor(s) disclaim responsibility for any injury to people or property resulting from any ideas, methods, instructions or products referred to in the content.

Share and Cite

MDPI and ACS Style

Lu, Z.; Wang, S. The Sword Effect of Electronic Informatization on Income Inequality: E-Commerce and E-Government. J. Theor. Appl. Electron. Commer. Res. 2026, 21, 56. https://doi.org/10.3390/jtaer21020056

AMA Style

Lu Z, Wang S. The Sword Effect of Electronic Informatization on Income Inequality: E-Commerce and E-Government. Journal of Theoretical and Applied Electronic Commerce Research. 2026; 21(2):56. https://doi.org/10.3390/jtaer21020056

Chicago/Turabian Style

Lu, Zhuocheng, and Song Wang. 2026. "The Sword Effect of Electronic Informatization on Income Inequality: E-Commerce and E-Government" Journal of Theoretical and Applied Electronic Commerce Research 21, no. 2: 56. https://doi.org/10.3390/jtaer21020056

APA Style

Lu, Z., & Wang, S. (2026). The Sword Effect of Electronic Informatization on Income Inequality: E-Commerce and E-Government. Journal of Theoretical and Applied Electronic Commerce Research, 21(2), 56. https://doi.org/10.3390/jtaer21020056

Article Metrics

Back to TopTop