Using Blockchain Technology to Combat Counterfeits: The Optimal Pricing Scheme of Two Competitive Platforms
Abstract
1. Introduction
2. Literature Review
2.1. Anti-Measures for Deceptive Counterfeit
2.2. Platform Service Operations
2.3. Blockchain Technologies
3. Model
- (i)
- For the privacy-information-sensitive consumers (), the basic utility obtained by purchasing the product on platform B is given by , where denotes the price of platform B in period 1, and represents the consumer’s perceived privacy-information leakage degree due to blockchain adoption, whereas the utility function of purchasing the product on platform T is , where represents the consumer’s sensitivity degree to counterfeits.
- (ii)
- For the privacy-information-insensitive consumers (), the basic utility obtained by purchasing the product on platform B is given by , whereas the utility function of purchasing the product on platform T is .
- (i)
- For the privacy-information-sensitive consumers (), the basic utility obtained by purchasing the product on platform B is given by , where measures the impact degree of the first period of online sales on the consumer’s utility in period 2, i.e., the power of the eWOM effect, while the utility function of purchasing the product on platform T is . Owning to the fact that both platforms serve the same market consumers, we reasonably suppose that the power of the eWOM effect is the same for both platforms.
- (ii)
- For the privacy-information-insensitive consumers (), the basic utility obtained by purchasing the product on platform B is , while the basic utility on platform T is .
4. Equilibrium Analysis in Different Cases
4.1. Case (F, F)
4.2. Case (F, M)
4.3. Case (M, F)
4.4. Case (M, M)
- a.
- For platform B, , , , and .
- b.
- For platform T, in case (F, F), when , then . (ii) In case (F, M), when , then . (iii) In case (M, F), when , then . (iv) In case (M, M), when , then , where
4.5. Summary of Equilibrium in Four Cases
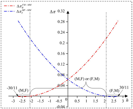
5. Optimal Pricing Scheme Selection
- (i)
- if is smaller, case (M, M) is the optimal equilibrium, where both platforms adopt the modifiable pricing.
- (ii)
- if is larger, when , case (F, M) is the optimal equilibrium, where the blockchain-based platform B adopts fixed pricing and the traditional platform T adopts modifiable pricing, while when , case (M, F) is the optimal equilibrium, where the blockchain-based platform B adopts modifiable pricing and the traditional platform T adopts fixed pricing.
- (iii)
- there will only exist case (M, M) in equilibrium when .
- (i)
- if is small, case (F, M) or case (M, F) is the optimal equilibrium, where one platform adopts fixed pricing and another platform adopts modifiable pricing.
- (ii)
- if is larger, when , case (F, M) is the optimal equilibrium, where the blockchain-based platform B adopts fixed pricing and the traditional platform T adopts modifiable pricing, while when , case (M, F) is the optimal equilibrium, where the blockchain-based platform B adopts modifiable pricing and the traditional platform T adopts fixed pricing.
6. Extension
6.1. Both Platforms’ Adoption of Blockchain Technology
6.2. Impact of Other Factors on Blockchain Adoption and Combating Counterfeits
7. Conclusions
- (1)
- Compared to the traditional platform T, the blockchain-based platform B helps generate more benefits for e-retailers. Platform B had more product sales than Platform T in two periods due to the fact that some customers shifted from platform T to platform B, especially in period 2, which made the traditional platform T adopt fixed or modifiable pricing schemes in response to sale changes. Also, the gap between the second-period price of Platform T and the first-period price of platform B changes with the proportion of consumers having privacy concerns. This suggests that when adopting blockchain technology and different pricing schemes for anti-fakes, managements must also make efforts to mitigate consumers’ anxieties related to privacy concerns, for example, by strengthening data security, introducing reliable encryption technology, and enhancing mutual trust via propaganda.
- (2)
- With the support of blockchain technology, the pricing schemes do not directly help combat counterfeits, but they do indirectly facilitate anti-fakes. The reason is that regardless of whether the blockchain-based platform B adopts the fixed or the modifiable pricing scheme, its rival (platform T) may turn to different one, thus inevitably intensifying competition; as a result, platform T is forced to reduce counterfeits with an aim to improve eWOM. This implies that both blockchain technology (external factor) and eWOM (internal factor) play important roles in fighting copycats, and managements do not emphasize one and neglect the other because these two factors intertwine and transform with each other.
- (3)
- The enforcement efforts increase the chances of seizing the copycats on platform T, but Platform B’s profits decrease with the government’s enforcement efforts in four cases. The reason is that, with the higher enforcement efforts, platform T has less counterfeits, so platform T’s competitiveness is relatively enhanced. Meanwhile, when enforcement efforts exceed a certain threshold, platform T’s profit increases with it in four cases, and this result is consistent with reality. This implies that an effective way to combat counterfeits is either by intensifying government enforcement or adopting blockchain technology; strengthening government enforcement not only benefits consumers but also platform T in the long run.
- (4)
- For combating counterfeits, these critical factors, including eWOM, unit blockchain-based cost, and consumer’s sensitive degree of privacy concern, greatly impact both platforms’ performance and pricing scheme selection. We find that if the eWOM effect is strong or the competitor adopts the fixed pricing scheme, the positive effect of the modifiable pricing scheme dominates its negative effect, and the modifiable pricing scheme is more desirable; otherwise, the fixed pricing scheme is more favorable. When the eWOM effect is weak, one platform adopts the fixed pricing scheme and the other adopts the modifiable pricing scheme. This suggests that, in the setting of a weak eWOM effect, managements must focus on their rivals’ pricing schemes to select their own pricing schemes, while in the setting of a strong eWOM effect, managements should shift focus from their rivals to consumers, and then select the modifiable pricing scheme to directly benefit consumers.
- (5)
- The result also reveals that when the government anti-fake penalty amount exceeds a certain threshold, the traditional platform T will also turn to adopt blockchain technology against counterfeits; otherwise, the traditional platform T has no motivation to implement it. Thus, from the perspective of the government, setting an appropriate amount of fines can drive platforms to adopt blockchain technology to combat counterfeiting.
- (1)
- This paper concentrates on the impact of adopting blockchain technology on platform competition and merely accommodates two different platforms rather than two supply chains. Future research could extend its investigation to the sophisticated supply chain, including interactions with upstream suppliers and platforms.
- (2)
- This research examines one platform adopting blockchain technology but does not address the issue of how to allocate the blockchain construction costs (i.e., fixed costs) between members in the setting of a supply chain, which may be considered in the future.
- (3)
- We build parsimonious models to acquire tractable outcomes. Our findings may be subject to the specific model setting. For instance, we only consider deceptive counterfeits and a deterministic demand function. Future research can further take it into account by introducing non-deceptive counterfeits and random demand parts.
Author Contributions
Funding
Institutional Review Board Statement
Informed Consent Statement
Data Availability Statement
Conflicts of Interest
Appendix A
- if
References
- Anderson, E.G., Jr.; Parker, G.G.; Tan, B. Platform Performance Investment in the Presence of Network Externalities. Inf. Syst. Res. 2014, 25, 152–172. [Google Scholar] [CrossRef]
- Reggi, V. Counterfeit medicines: An intent to deceive. Int. J. Risk Saf. Med. 2007, 19, 105–108. [Google Scholar]
- Toyoda, K.; Mathiopoulos, P.T.; Sasase, I.; Ohtsuki, T. A Novel Blockchain-Based Product Ownership Management System (POMS) for Anti-Counterfeits in the Post Supply Chain. IEEE Access 2017, 5, 17465–17477. [Google Scholar] [CrossRef]
- Babich, V.; Hilary, G. Distributed Ledgers and Operations: What Operations Management Researchers Should Know About Blockchain Technology. Manuf. Serv. Oper. Manag. 2020, 22, 223–240. [Google Scholar] [CrossRef]
- Simchi-Levi, D. From the Editor. Manag. Sci. 2018, 64, 1–4. [Google Scholar] [CrossRef]
- Siyal, A.A.; Junejo, A.Z.; Zawish, M.; Ahmed, K.; Khalil, A.; Soursou, G. Applications of Blockchain Technology in Medicine and Healthcare: Challenges and Future Perspectives. Cryptography 2019, 3, 3. [Google Scholar] [CrossRef]
- Grossman, G.; Shapiro, C. Foreign counterfeiting of status goods. Q. J. Econ. 1988, 103, 79–100. [Google Scholar] [CrossRef]
- Qian, Y. Brand Management and Strategies Against Counterfeits. J. Econ. Manag. Strategy 2014, 23, 317–343. [Google Scholar] [CrossRef]
- Scandizzo, S. Counterfeit goods and income inequality. In IMF Working Paper; No. 01/13, January; SSRN: Atlanta, GA, USA, 2001. [Google Scholar]
- Zhang, J.; Hong, L.J.; Zhang, R.Q. Fighting strategies in a market with counterfeits. Ann. Oper. Res. 2012, 192, 49–66. [Google Scholar] [CrossRef]
- Gao, S.Y.; Lim, W.S.; Tang, C.S. Entry of Copycats of Luxury Brands. Mark. Sci. 2017, 36, 272–289. [Google Scholar] [CrossRef]
- Pun, H.; DeYong, G.D. Competing with Copycats When Customers Are Strategic. Manuf. Serv. Oper. Manag. 2017, 19, 403–418. [Google Scholar] [CrossRef]
- Liu, K.; Li, J.A.; Wu, Y.; Lai, K.K. Analysis of monitoring and limiting of commercial cheating: A newsvendor model. J. Oper. Res. Soc. 2005, 56, 844–854. [Google Scholar] [CrossRef]
- Qian, Y. Pricing and Marketing Impacts of Entry by Counterfeiters and Imitators; Working Paper; Northwestern University: Evanston, IL, USA, 2006. [Google Scholar]
- Cho, S.-H.; Fang, X.; Tayur, S. Combating Strategic Counterfeiters in Licit and Illicit Supply Chains. Manuf. Serv. Oper. Manag. 2015, 17, 273–289. [Google Scholar] [CrossRef]
- Zhang, J.; Zhang, R.Q. Supply chain structure in a market with deceptive counterfeits. Eur. J. Oper. Res. 2015, 240, 84–97. [Google Scholar] [CrossRef]
- Qian, Y.; Gong, Q.; Chen, Y. Untangling Searchable and Experiential Quality Responses to Counterfeits. Mark. Sci. 2015, 34, 522–538. [Google Scholar] [CrossRef]
- Choi, T.-M. Blockchain-technology-supported platforms for diamond authentication and certification in luxury supply chains. Transp. Res. Part E Logist. Transp. Rev. 2019, 128, 17–29. [Google Scholar] [CrossRef]
- Choi, T.-M.; He, Y. Peer-to-peer collaborative consumption for fashion products in the sharing economy: Platform operations. Transp. Res. Part E Logist. Transp. Rev. 2019, 126, 49–65. [Google Scholar] [CrossRef]
- Cui, Y.; Hu, M. Under the Same Roof: Value of Shared Living in Airbnb; Working Paper; University of Toronto: Toronto, ON, USA, 2018. [Google Scholar]
- Tian, L.; Jiang, B. Effects of Consumer-to-Consumer Product Sharing on Distribution Channel. Prod. Oper. Manag. 2018, 27, 350–367. [Google Scholar] [CrossRef]
- Bhargava, H.K.; Kim, B.C.; Sun, D. Commercialization of Platform Technologies: Launch Timing and Versioning Strategy. Prod. Oper. Manag. 2013, 22, 1374–1388. [Google Scholar] [CrossRef]
- Zhang, J.; Cao, Q.; He, X. Contract and product quality in platform selling. Eur. J. Oper. Res. 2019, 272, 928–944. [Google Scholar] [CrossRef]
- Liu, B.; Guo, X.; Yu, Y.; Tian, L. Manufacturer’s contract choice facing competing downstream online retail platforms. Int. J. Prod. Res. 2021, 59, 3017–3041. [Google Scholar] [CrossRef]
- Cheng, X.; Gou, Q.; Yue, J.; Zhang, Y. Equilibrium decisions for an innovation crowdsourcing platform. Transp. Res. Part E Logist. Transp. Rev. 2019, 125, 241–260. [Google Scholar] [CrossRef]
- Bellos, I.; Ferguson, M.; Toktay, L.B. The Car Sharing Economy: Interaction of Business Model Choice and Product Line Design. Manuf. Serv. Oper. Manag. 2017, 19, 185–201. [Google Scholar] [CrossRef]
- Chen, Y.-J.; Shanthikumar, J.G.; Shen, Z.-J.M. Incentive for Peer-to-Peer Knowledge Sharing among Farmers in Developing Economies. Prod. Oper. Manag. 2015, 24, 1430–1440. [Google Scholar] [CrossRef]
- Benjaafar, S.; Kong, G.; Li, X.; Courcoubetis, C. Peer-to-Peer Product Sharing: Implications for Ownership, Usage, and Social Welfare in the Sharing Economy. Manag. Sci. 2019, 65, 477–493. [Google Scholar] [CrossRef]
- Banerjee, S.; Riquelme, C.; Johari, R. Pricing in Ride-Share Platform; Working Paper; Stanford University: Standford, CA, USA, 2015. [Google Scholar]
- Wang, X.; He, F.; Yang, H.; Gao, H.O. Pricing strategies for a taxi-hailing platform. Transp. Res. Part E Logist. Transp. Rev. 2016, 93, 212–231. [Google Scholar] [CrossRef]
- Cachon, G.P.; Daniels, K.M.; Lobel, R. The Role of Surge Pricing on a Service Platform with Self-Scheduling Capacity. Manuf. Serv. Oper. Manag. 2017, 19, 368–384. [Google Scholar] [CrossRef]
- Kung, L.-C.; Zhong, G.-Y. The optimal pricing strategy for two-sided platform delivery in the sharing economy. Transp. Res. Part E Logist. Transp. Rev. 2017, 101, 1–12. [Google Scholar] [CrossRef]
- Taylor, T.A. On-Demand Service Platforms. Manuf. Serv. Oper. Manag. 2018, 20, 704–720. [Google Scholar] [CrossRef]
- Barenji, A.V.; Wang, W.M.; Li, Z.; Guerra-Zubiaga, D.A. Intelligent E-commerce logistics platform using hybrid agent based approach. Transp. Res. Part E Logist. Transp. Rev. 2019, 126, 15–31. [Google Scholar] [CrossRef]
- Bai, J.R.; So, K.C.; Tang, C.S.; Chen, X.; Wang, H. Coordinating Supply and Demand on an On-Demand Service Platform with Impatient Customers. Manuf. Serv. Oper. Manag. 2021, 21, 556–570. [Google Scholar] [CrossRef]
- Liu, W.; Yan, X.; Wei, W.; Xie, D. Pricing decisions for service platform with provider’s threshold participating quantity, value-added service and matching ability. Transp. Res. Part E Logist. Transp. Rev. 2019, 122, 410–432. [Google Scholar] [CrossRef]
- Bai, J.; Tang, C.S. Can Two Competing On-Demand Service Platforms Be Both Profitable? Working Paper; UCLA: Los Angeles, CA, USA, 2022. [Google Scholar]
- Zhang, X.; Hou, W.; Zhang, W. Simultaneous or sequential? Multihoming launch strategies for mobile applications with consideration of promotion and switching costs. Int. J. Prod. Res. 2022, 21, 421–435. [Google Scholar] [CrossRef]
- Chen, Y.; Hu, A.; Zhang, J. Optimal auction design with aftermarket Cournot competition. Games Econ. Behav. 2024, 145, 54–65. [Google Scholar] [CrossRef]
- Zhang, Z.; Ko, P.; Hsu, C.; Tsai, C. Consumption network externalities, corporate social responsibility, and conflicting interests: Cournot vs. Bertrand competition. Manag. Decis. Econ. 2024, 45, 1894–1900. [Google Scholar] [CrossRef]
- Cui, Y.; Gaur, V.; Liu, J. Supply Chain Transparency and Blockchain Design. Manag. Sci. 2023, 70, 3245–3263. [Google Scholar] [CrossRef]
- Li, T.; Zhang, X. Development Trajectory of Blockchain Platforms: The Role of Multirole. Inf. Syst. Res. 2023, 35, 1296–1323. [Google Scholar] [CrossRef]
- Iyengar, G.; Saleh, F.; Sethuraman, J.; Wang, W. Blockchain Adoption in a Supply Chain with Manufacturer Market Power. Manag. Sci. 2023, 70, 6158–6178. [Google Scholar] [CrossRef]
- Azzi, R.; Chamoun, R.K.; Sokhn, M. The power of a blockchain-based supply chain. Comput. Ind. Eng. 2019, 135, 582–592. [Google Scholar] [CrossRef]
- Chod, J.; Trichakis, N.; Tsoukalas, G.; Aspegren, H.; Weber, M. Blockchain and the Value of Operational Transparency for Supply Chain Finance; Working Paper; Boston College: Boston, MA, USA, 2018. [Google Scholar]
- Shi, X.; Choi, T.M. Enhancing Food Safety by Using Blockchain Technologies; Working Paper; The Hong Kong Polytechnic University: Hong Kong, China, 2019. [Google Scholar]
- Rahmanzadeh, S.; Pishvaee, M.S.; Rasouli, M.R. Integrated innovative product design and supply chain tactical planning within a blockchain platform. Int. J. Prod. Res. 2020, 58, 2242–2262. [Google Scholar] [CrossRef]
- Zhang, Z.; Ren, D.; Lan, Y.; Yang, S. Price competition and blockchain adoption in retailing markets. Eur. J. Oper. Res. 2021, 300, 647–660. [Google Scholar] [CrossRef]
- Xu, X.; Choi, T. The Supply chain operations with online platforms under the cap-and-trade regulation: Impacts of using blockchain technology. Transp. Res. Part E 2021, 155, 102491. [Google Scholar] [CrossRef]
- Wu, X.-Y.; Fan, Z.-P.; Cao, B.-B. An analysis of strategies for adopting blockchain technology in the fresh product supply chain. Int. J. Prod. Res. 2021, 61, 3717–3734. [Google Scholar] [CrossRef]
- Tian, Z.; Li, M.; Qiu, M.; Sun, Y.; Su, S. Block-DEF: A secure digital evidence framework using blockchain. Inf. Sci. 2019, 491, 151–165. [Google Scholar] [CrossRef]
- Xu, X.W.; Lu, Q.H.; Liu, Y.; Zhu, L.M.; Yao, H.N.; Vasilakos, A.V. Designing blockchain-based applications a case study for imported product traceability. Future Gener. Comput. Syst. Int. J. eSci. 2019, 92, 399–406. [Google Scholar] [CrossRef]
- Pun, H.; Swaminathan, J.M.; Hou, P. Blockchain Adoption for Combating Deceptive Counterfeits. Prod. Oper. Manag. 2021, 30, 864–882. [Google Scholar] [CrossRef]
- Li, J.; Yu, Y.; Liu, C.; Deng, X. An optimal strategy of advertising and electronic word-of-mouth with considering rebates. Kybernetes 2023, 52, 6440–6466. [Google Scholar] [CrossRef]





| Notation | Definition |
|---|---|
| The price of platform in period under modifiable pricing | |
| The price of platform under fixed pricing | |
| The government enforcement efforts for combating counterfeits | |
| The being-caught probability | |
| The consumer’s sensitivity degree to counterfeits | |
| The fraction of consumers who are sensitive to privacy concerns | |
| The consumer’s perceived privacy-information leakage degree | |
| The net advantage of purchasing the product on platform B over platform T | |
| The unit cost of blockchain implementation | |
| , | The consumer’s perceived product’s base value on platform B and platform T, respectively |
| The degree of product differentiation on two platforms | |
| The customer location | |
| The power of the eWOM effect, | |
| The utility of using platform in period | |
| The product demand of platform in period | |
| The profit of platform in period | |
| The total profit of platform |
| Outcome | Platform B | Platform T |
|---|---|---|
| Price | ||
| First-period product demand | ||
| Second-period product demand | ||
| Profit |
| Outcome | Platform B | Platform T |
|---|---|---|
| First-period price | ||
| Second-period price | ||
| First-period product demand | ||
| Second-period product demand | ||
| Profit |
| Outcome | Platform B | Platform T |
|---|---|---|
| First-period price | ||
| Second-period price | ||
| First-period product demand | ||
| Second-period product demand | ||
| Profit |
| Outcome | Platform B | Platform T |
|---|---|---|
| First-period price | ||
| Second-period price | ||
| First-period product demand | ||
| Second-period product demand | ||
| Profit |
| Outcome | (F, F) | (F, M) | (M, F) | (M, M) | |
|---|---|---|---|---|---|
| Product demand | Platform B | ↑) ↓) | ↑ | ↓ | ↓) ↑) |
| Platform T | ↓) ↑) | ↓ | ↑ | ↑) ↓) | |
| Outcome | (F, F) | (F, M) | (M, F) | (M, M) | |
|---|---|---|---|---|---|
| Platform B | First-period price | ↑ | ↑ | ↑ | ↑ |
| Second-period price | ↑ | ↑ | |||
| First-period product demand | ↑ | ↑ | ↑ | ↑ | |
| Second-period product demand | ↑ | ↑ | ↑ | ↑ | |
| Profit | ↑ | ↑ | ↑ | ↑ | |
| Platform T | First-period price | ↓ | ↓ | ↓ | ↓ |
| Second-period price | ↓ | ↓ | |||
| First-period product demand | ↓ | ↓ | ↓ | ↓ | |
| Second-period product demand | ↓ | ↓ | ↓ | ↓ | |
| Profit | ↓ | ↓ | ↓ | ↓ | |
| Outcome | (F, F) | (F, M) | (M, F) | (M, M) | |
|---|---|---|---|---|---|
| Platform B | First-period price | ↑ | ↑ | ↑ | ↑ |
| Second-period price | ↑ | ↑ | |||
| First-period product demand | ↓ | ↓ | ↓ | ↓ | |
| Second-period product demand | ↓ | ↓ | ↓ | ↓ | |
| Profit | ↓ | ↓ | ↓ | ↓ | |
| Platform T | First-period price | ↑ | ↑ | ↑ | ↑ |
| Second-period price | ↑ | ↑ | |||
| First-period product demand | ↑ | ↑ | ↑ | ↑ | |
| Second-period product demand | ↑ | ↑ | ↑ | ↑ | |
| Profit | ↑ | ↑ | ↑ | ↑ | |
| Outcome | (F, F) | (F, M) | (M, F) | (M, M) | |
|---|---|---|---|---|---|
| Platform B | First-period price | ↑ | ↑ | ↑ | ↑ |
| Second-period price | ↑ | ||||
| First-period product demand | ↑ | ↑ | ↑ | ↑ | |
| Second-period product demand | ↑ | ↑ | ↑ | ↑ | |
| Profit | ↑ | ↑ | ↑ | ↑ | |
| Platform T | First-period price | ↓ | ↓ | ↓ | ↓ |
| Second-period price | ↓ | ↓ | |||
| First-period product demand | ↓ | ↓ | ↓ | ↓ | |
| Second-period product demand | ↓ | ↓ | ↓ | ↓ | |
| Profit | ↓ | ↓ | ↓ | ↓ | |
| Outcome | (F, F) | (F, M) | (M, F) | (M, M) | |
|---|---|---|---|---|---|
| Platform B | First-period price | ↓ | ↓ | ↓ | ↓ |
| Second-period price | ↓ | ↓ | |||
| First-period product demand | ↓ | ↓ | ↓ | ↓ | |
| Second-period product demand | ↓ | ↓ | ↓ | ↓ | |
| Platform T | First-period price | ↑ | ↑ | ↑ | ↑ |
| Second-period price | ↑ | ↑ | |||
| First-period product demand | ↑ | ↑ | ↑ | ↑ | |
| Second-period product demand | ↑ | ↑ | ↑ | ↑ | |
| Outcome | (F, F) | (F, M) | (M, F) | (M, M) | |
|---|---|---|---|---|---|
| Platform B | First-period price | ↑♂ | ↑♂ | ↑♂ | ↑♂ |
| Second-period price | ↓♀ | ↑♂ | |||
| First-period product demand | ↑♂ | ↑♂ | ↑♂ | ↑♂ | |
| Second-period product demand | ↑♂ | ↑♂ | ↑♂ or ↓♀ | ↑♂ | |
| Profit | ↑♂ | ↑♂ | ↑♂ | ↑♂ | |
| Platform T | First-period price | ↓♀ | ↓♀ | ↓♀ | ↓♀ |
| Second-period price | ↑♂ or ↓♀ | ↑♂ or ↓♀ | |||
| First-period demand | ↓♀ | ↓♀ | ↑♂ | ↓♀ | |
| Second-period demand | ↓♀ | ↑♂ or ↓♀ | ↑♂ or ↓♀ | ↑♂ or ↓♀ | |
| Profit | ↑♂ | ↑♂ or ↓♀ | ↓♀ | ↑♂ or ↓♀ | |
Disclaimer/Publisher’s Note: The statements, opinions and data contained in all publications are solely those of the individual author(s) and contributor(s) and not of MDPI and/or the editor(s). MDPI and/or the editor(s) disclaim responsibility for any injury to people or property resulting from any ideas, methods, instructions or products referred to in the content. |
© 2024 by the authors. Licensee MDPI, Basel, Switzerland. This article is an open access article distributed under the terms and conditions of the Creative Commons Attribution (CC BY) license (https://creativecommons.org/licenses/by/4.0/).
Share and Cite
Li, J.; Wang, X.; Li, L.; Zhao, D. Using Blockchain Technology to Combat Counterfeits: The Optimal Pricing Scheme of Two Competitive Platforms. J. Theor. Appl. Electron. Commer. Res. 2024, 19, 3253-3282. https://doi.org/10.3390/jtaer19040158
Li J, Wang X, Li L, Zhao D. Using Blockchain Technology to Combat Counterfeits: The Optimal Pricing Scheme of Two Competitive Platforms. Journal of Theoretical and Applied Electronic Commerce Research. 2024; 19(4):3253-3282. https://doi.org/10.3390/jtaer19040158
Chicago/Turabian StyleLi, Jizi, Xiaodie Wang, Longyu Li, and Dangru Zhao. 2024. "Using Blockchain Technology to Combat Counterfeits: The Optimal Pricing Scheme of Two Competitive Platforms" Journal of Theoretical and Applied Electronic Commerce Research 19, no. 4: 3253-3282. https://doi.org/10.3390/jtaer19040158
APA StyleLi, J., Wang, X., Li, L., & Zhao, D. (2024). Using Blockchain Technology to Combat Counterfeits: The Optimal Pricing Scheme of Two Competitive Platforms. Journal of Theoretical and Applied Electronic Commerce Research, 19(4), 3253-3282. https://doi.org/10.3390/jtaer19040158

