Deep Filter Context Network for Click-Through Rate Prediction
Abstract
:1. Introduction
- This paper presents a new and simple filtering machine for users’ historical behavior features. This filtering machine makes full use of the characteristics of the targeted advertisements to filter the users’ historical behavior, helping the attention mechanism process the input feature vector more efficiently and expressively.
- In this paper, a new algorithmic model is proposed: the deep filter context network (DFCN). The DFCN introduces a filter to the original DICN model. The filter enhances the model’s ability to capture those of the users’ historical behavior features that align with target advertisements while preserving user interest diversity. The model’s self-adaptability and expressiveness are also improved by processing the user history feature vector in a prior step.
- In this paper, experiments are conducted on the open Taobao user dataset and the Amazon user dataset. The experimental results demonstrate the effectiveness and superiority of the DFCN model.
- This paper designs two sets of comparative experiments so as to verify that the filtering layer can effectively enhance the ability of the attention mechanism in capturing and helping the model to improve its predictive ability. In addition, the importance of the newly added local activation unit for context features is demonstrated. At the same time, this paper highlights the fact that the newly developed filtering layer is more suitable for the pre-processing of users’ historical behavior feature data, which means it cannot replace attention mechanism empowerment.
2. Related Works
2.1. Attention Mechanism and DICN
2.2. Bandpass Filter
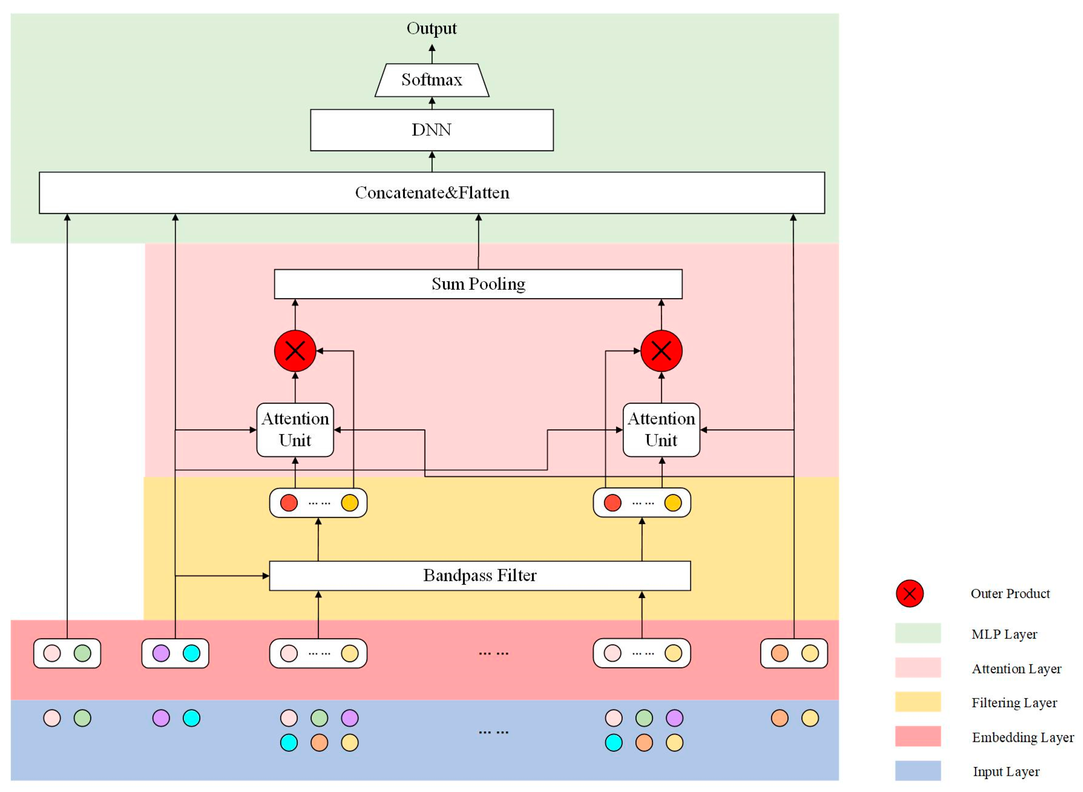
3. Model Structure
3.1. Input Layer
3.2. Embedding Layer
3.3. Filtering Layer
3.4. Attention Layer
3.5. MLP Layer
4. Experiments and Analysis
4.1. Datasets
4.2. Evaluation Indicators
4.3. Comparison Models
- FNN [36]: FNN is a combination of FM and DNN. The FNN model is one of the more classical embedding and MLP paradigms, which uses the hidden vectors obtained from FM training as initial values to feed into the DNN, i.e., a combination of embedding and the multilayer perceptron.
- DeepFM [11]: This model is an evolutionary upgrade of the Wide and Deep model. DeepFM uses the FM model algorithm in the wide part and deep learning in the deep part to extract the non-linear relationships between the features.
- DIN [15]: A CTR prediction model with significant advances was proposed by Zhou et al. DIN introduces local activation units into the embedding and MLP paradigm and uses an attention mechanism to assign weights to users’ historical behavior features as a way to explore the similarity between historical features and target advertisements.
- DICN [19]: An evolutionary update of DIN that adds an additional local activation unit to the DIN model to explore the similarity of environmental and contextual features in the historical features.
- DFCN: The new model that is proposed in this paper and that is described in Section 3 introduces a filtering layer to process the users’ historical behavior features of the compressed embeddings, reducing the parameters of those elements with little similarity to the target advertisement and helping the local activation unit to perform the assignment operation more accurately and efficiently.
4.4. Parameter Settings
4.5. Analysis of Results
4.5.1. AUC and the RelaImpr-DIN
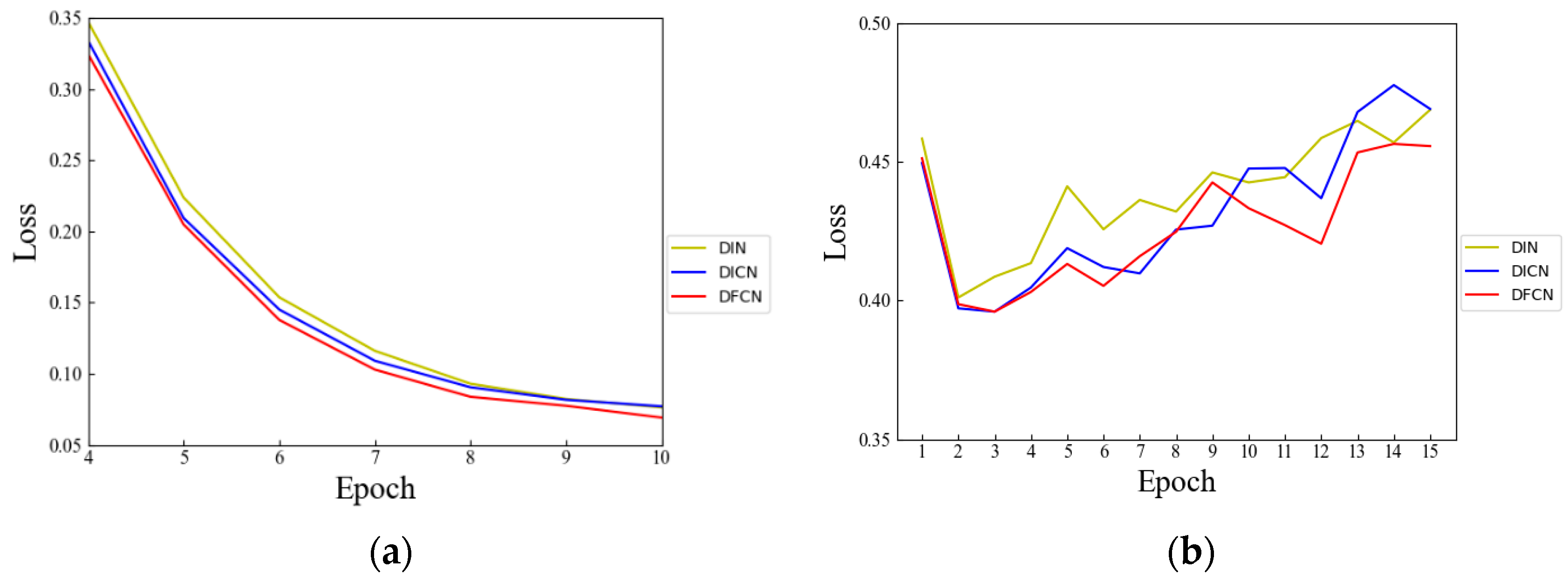
4.5.2. Test and Log Loss
5. Comparisons and Contributions
5.1. Comparison to the Classical Models and DICN Models
5.1.1. Comparison to the Classical Models
5.1.2. Comparison to the DICN Model
5.1.3. Importance of the Context Feature Attention Unit
5.2. Contributions
6. Conclusions
Author Contributions
Funding
Institutional Review Board Statement
Informed Consent Statement
Data Availability Statement
Acknowledgments
Conflicts of Interest
References
- Yuan, L. Exploring the operation models and development trends of internet finance. Trade Fair Econ. 2023, 3, 110–112. [Google Scholar]
- Zhao, Y.; Liu, H.W. A survey on recommender systems. Intell. Comput. Appl. 2021, 11, 228–233. [Google Scholar]
- Zhang, S.J.; Wang, Y.H. Personalized recommender system based on matrix factorization. J. Chin. Inf. Process. 2017, 31, 134–139+169. [Google Scholar]
- Lops, P.; De Gemmis, M.; Semeraro, G. Content-based recommender systems: State of the art and trends. In Recommender Systems Handbook; Springer: Boston, MA, USA, 2011; pp. 73–105. [Google Scholar]
- Xue, H.; Dai, X.; Zhang, J. Deep matrix factorization models for recommender system. In Proceedings of the International Joint Conference on Artificial Intelligence, Melbourne, Australia, 19–25 August 2017; pp. 3203–3209. [Google Scholar]
- Chen, W.; Niu, Z.; Zhao, X.; Li, Y. A hybrid recommendation algorithm adapted in e-learning environments. World Wide Web 2014, 17, 271–284. [Google Scholar] [CrossRef]
- Huang, L.; Jiang, B.; Lü, S.; Liu, Y.; Li, D. Survey on deep learning based recommender systems. Chin. J. Comput. 2018, 41, 1619–1647. [Google Scholar]
- Mcmahan, H.B.; Holt, G.; Sculley, D.; Young, M.; Kubica, J. Ad click prediction: A view from the trenches. In Proceedings of the 19th ACM SIGKDD International Conference on Knowledge Discovery and Data Mining, Chicago, IL, USA, 11–14 August 2013; pp. 1222–1230. [Google Scholar]
- Deng, L.; Liu, P. Research on ad click-through rate prediction based on gmm-fms. Comput. Eng. 2019, 45, 122–126. [Google Scholar]
- Steffen, R. Factorization machines. In Proceedings of the 10th International Conference on Data Mining, Sydney, Australia, 13–17 December 2010; pp. 995–1000. [Google Scholar]
- Guo, H.; Tang, R.; Ye, Y.; Li, Z.; He, X. Deepfm: A factorization-machine based neural network for ctr prediction. In Proceedings of the 26th International Joint Conference on Artificial Intelligence, Melbourne, Australia, 19–25 August 2017; pp. 1725–1731. [Google Scholar]
- He, X.N.; Chua, T.S. Neural factorization machines for sparse predictive analytics. In Proceedings of the 40th International ACM SIGIR conference on Research and Development in Information Retrieval, Tokyo, Japan, 7–11 August 2017; pp. 355–364. [Google Scholar]
- Lian, J.X.; Zhou, X.H.; Zhang, F.Z.; Chen, Z.X.; Xie, X.; Sun, G.Z. xDeepFM: Combining explicit and implicit feature interactions for recommender systems. In Proceedings of the 24th ACM SIGKDD International Conference, London, UK, 19–23 August 2018; pp. 1754–1764. [Google Scholar]
- Qu, Y.; Han, C.; Kan, R.; Zhang, W.; Wang, J. Product-based neural networks for user response prediction. In Proceedings of the 2016 IEEE 16th International Conference on Data Mining (ICDM), Barcelona, Spain, 12–15 December 2016; pp. 1149–1154. [Google Scholar]
- Zhou, G.R.; Song, C.R.; Zhu, X.Q.; Fan, Y.; Zhu, H.; Ma, X.; Yan, Y.H.; Jin, J.Q.; Li, H.; Gai, K. Deep interest network for click-through rate prediction. In Proceedings of the 24th ACM SIGKDD International Conference on Knowledge Discovery & Data Mining, London, UK, 19–23 August 2018; pp. 1059–1068. [Google Scholar]
- Yang, L.; Wang, S.; Zhu, B. Point-of-interest recommendation algorithm combining dynamic and static preferences. J. Comput. Appl. 2021, 41, 398–406. [Google Scholar]
- Zhou, G.R.; Mou, N.; Fan, Y.; Pi, Q.; Bian, W.J.; Zhou, C.; Zhu, X.Q.; Gai, K. Deep interest evolution network for click-through rate prediction. In Proceedings of the AAAI Conference on Artificial Intelligence, Honolulu, HI, USA, 27 January–1 February 2019; pp. 5941–5948. [Google Scholar]
- Feng, Y.F.; Lv, F.Y.; Shen, W.C.; Wang, M.H.; Sun, F.; Zhu, Y.; Yang, K.P. Deep session interest network for click-through rate prediction. In Proceedings of the 28th International Joint Conference on Artificial Intelligence, Macao, China, 10–16 August 2019; pp. 2301–2307. [Google Scholar]
- Yu, M.T.; Liu, T.T.; Yin, J.; Chai, P.L. Deep interest context network for click-through rate. Appl. Sci. 2022, 12, 9531. [Google Scholar] [CrossRef]
- Treisman, A.M.; Gelade, G. Feature-integration theory of attention. Cogn. Psychol. 1980, 12, 97–136. [Google Scholar] [CrossRef]
- Chen, H.H.; Wu, G.D.; Li, J.X.; Wang, Y.J.; Tao, H. Research advances on deep learning recommendation based on attention mechanism. Comput. Eng. Sci. 2021, 43, 370–380. [Google Scholar]
- Tang, J.Y.; Wang, C.Z.; Ren, X.F.; Yang, X.X. Research on the design and simulation of band stop filter. Instrum. Technol. 2023, 1, 64–68. [Google Scholar]
- He, Y.; An, X. Design of an infinite impulse response chebyshev digital bandpass filter. Pract. Electron. 2023, 31, 96–99. [Google Scholar]
- Wang, P.B.; Yan, Y.E. Design of bandpass and low-pass cascade filter. Chin. J. Electron Devices 2018, 41, 1473–1476. [Google Scholar]
- Zhang, Y.Y. Application of filtering algorithm in digital image denoising. Autom. Appl. 2020, 12, 49–51. [Google Scholar]
- Zhou, Z.M.; Song, L.X. Research on the application of frequency domain filter in digital image processing. China Comput. Commun. 2021, 33, 198–200. [Google Scholar]
- Liu, H.L.; Tao, J.; Qiu, L. Implementation of one-hot encoding based on python. J. Wuhan Inst. Shipbuild. Technol. 2021, 20, 136–139. [Google Scholar]
- Jiang, A.B.; Wang, W.W. Research on optimization of relu activation function. Transducer Microsyst. Technol. 2018, 37, 50–52. [Google Scholar]
- Huang, G.H.; Lin, G.D.; Wu, E.J.; Zhao, X.D.; Song, L.L. Design of fixed-point algorithm for softmax of dnn. China Integr. Circuit 2022, 31, 60–64. [Google Scholar]
- Zhu, H.; Li, X.; Zhang, P.Y.; Li, G.Z.; He, J.; Li, H.; Gai, K. Learning tree-based deep model for recommender systems. In Proceedings of the 24th ACM SIGKDD International Conference on Knowledge Discovery & Data Mining, London, UK, 19–23 August 2018; pp. 1079–1089. [Google Scholar]
- Zhu, H.; Chang, D.Q.; Xu, Z.R.; Zhang, P.Y.; Li, X.; He, J.; Li, H.; Xu, J.; Gai, K. Joint optimization of tree-based index and deep model for recommender systems. In Proceedings of the 33rd International Conference on Neural Information Processing Systems, Vancouver, BC, Canada, 8–14 December 2019; pp. 3971–3980. [Google Scholar]
- Zhuo, J.W.; Xu, Z.R.; Dai, W.; Zhu, H.; Li, H.; Xu, J.; Gai, K. Learning optimal tree models under beam search. In Proceedings of the International Conference on Machine Learning, Vienna, Austria, 26–28 August 2020. [Google Scholar]
- Mcauley, J.; Targett, C.; Shi, Q.F.; Hengel, A.V.D. Image-based recommendations on styles and substitutes. In Proceedings of the 38th International ACM SIGIR Conference on Research and Development in Information Retrieval, Santiago de Chile, Chile, 9–13 August 2015; pp. 43–52. [Google Scholar]
- He, R.; McAuley, J. Ups and downs: Modeling the visual evolution of fashion trends with one-class collaborative filtering. In Proceedings of the 25th International Conference on World Wide Web, Montréal Québec, QC, Canada, 11–15 April 2016; pp. 507–517. [Google Scholar]
- Veit, A.; Kovacs, B.; Bell, S.; McAuley, J.; Bala, K.; Belongie, S. Learning visual clothing style with heterogeneous dyadic co-occurrences. In Proceedings of the IEEE International Conference on Computer Vision, Santiago, Chile, 11–18 December 2015; pp. 4642–4650. [Google Scholar]
- Zhang, W.N.; Du, T.M.; Wang, J. Deep learning over multi-field categorical data: A case study on user response prediction. In Proceedings of the European Conference on Information Retrieval, Padua, Italy, 20–23 March 2016; pp. 45–57. [Google Scholar]
- Xiao, J.; Ye, H.; He, X.N.; Zhang, H.W.; Wu, F.; Chua, T.S. Attentional factorization machines: Learning the weight of feature interactions via attention networks. In Proceedings of the 26th International Joint Conference on Artificial Intelligence, Melbourne, Australia, 19–25 August 2017; pp. 3119–3125. [Google Scholar]
- Li, T.R. Research on the marketing models of e-commerce enterprises under the background of the internet economy. Trade Fair Econ. 2023, 4, 55–57. [Google Scholar]
- Mydyti, H.; Kadriu, A.; Bach, M.P. Using Data Mining to Improve Decision-Making: Case Study of A Recommendation System Development. Organizacija 2023, 56, 138–154. [Google Scholar] [CrossRef]








| Datasets | Features | Numbers | Total Samples |
|---|---|---|---|
| Taobao | Users | 376 | 11,198 |
| Items | 9066 | ||
| Categories | 1248 | ||
| Behavior Types | 4 | ||
| Timestamps | 11,198 | ||
| Amazon | Users | 88,462 | 91,206 |
| Items | 8510 | ||
| Scores | 5 | ||
| Timestamps | 91,206 |
| Model | Taobao | Amazon | ||
|---|---|---|---|---|
| AUC | RelaImpr-DIN | AUC | RelaImpr-DIN | |
| FNN | 0.5165 | −89.73% | 0.5180 | −98.66% |
| AFM | 0.5270 | −83.20% | 0.5248 | −81.53% |
| DeepFM | 0.5222 | −86.19% | 0.5188 | −86.00% |
| DIN | 0.6607 | 0.00% | 0.6343 | 0.00% |
| DICN | 0.7661 | 65.59% | 0.6350 | 0.52% |
| DFCN | 0.8313 | 106.16% | 0.6355 | 0.89% |
Disclaimer/Publisher’s Note: The statements, opinions and data contained in all publications are solely those of the individual author(s) and contributor(s) and not of MDPI and/or the editor(s). MDPI and/or the editor(s) disclaim responsibility for any injury to people or property resulting from any ideas, methods, instructions or products referred to in the content. |
© 2023 by the authors. Licensee MDPI, Basel, Switzerland. This article is an open access article distributed under the terms and conditions of the Creative Commons Attribution (CC BY) license (https://creativecommons.org/licenses/by/4.0/).
Share and Cite
Yu, M.; Liu, T.; Yin, J. Deep Filter Context Network for Click-Through Rate Prediction. J. Theor. Appl. Electron. Commer. Res. 2023, 18, 1446-1462. https://doi.org/10.3390/jtaer18030073
Yu M, Liu T, Yin J. Deep Filter Context Network for Click-Through Rate Prediction. Journal of Theoretical and Applied Electronic Commerce Research. 2023; 18(3):1446-1462. https://doi.org/10.3390/jtaer18030073
Chicago/Turabian StyleYu, Mingting, Tingting Liu, and Jian Yin. 2023. "Deep Filter Context Network for Click-Through Rate Prediction" Journal of Theoretical and Applied Electronic Commerce Research 18, no. 3: 1446-1462. https://doi.org/10.3390/jtaer18030073
APA StyleYu, M., Liu, T., & Yin, J. (2023). Deep Filter Context Network for Click-Through Rate Prediction. Journal of Theoretical and Applied Electronic Commerce Research, 18(3), 1446-1462. https://doi.org/10.3390/jtaer18030073
