Next Article in Journal
The Impact of Offline Service Effort Strategy on Sales Mode Selection in an E-Commerce Supply Chain with Showrooming Effect
Next Article in Special Issue
How Do Consumer Fairness Concerns Affect an E-Commerce Platform’s Choice of Selling Scheme?
Previous Article in Journal
Bundling Strategies for Ride-Hailing Platforms Based on Price and Service Level
Previous Article in Special Issue
Dynamic Marketing Resource Allocation with Two-Stage Decisions
 
 
Font Type:
Arial Georgia Verdana
Font Size:
Aa Aa Aa
Line Spacing:
Column Width:
Background:
Article

New Practice of E-Commerce Platform: Evidence from Two Trade-In Programs

1
Zhejiang College, Shanghai University of Finance and Economics, Jinhua 321013, China
2
Xingzhi College, Zhejiang Normal University, Jinhua 321100, China
3
School of Management, Zhejiang University of Technology, Hangzhou 310000, China
*
Authors to whom correspondence should be addressed.
J. Theor. Appl. Electron. Commer. Res. 2022, 17(3), 875-892; https://doi.org/10.3390/jtaer17030045
Submission received: 24 April 2022 / Revised: 6 June 2022 / Accepted: 14 June 2022 / Published: 21 June 2022

Abstract

:
In the context of developing the digital platform economy, trade-in programs have become an effective strategy for e-commerce platforms to stimulate consumption. Many head e-commerce platforms have launched their own trade-in programs. However, the existing research on trade-in programs is still stuck in the traditional trade-in model. The purpose of this study is to explore whether there is a new and more beneficial trade-in program. In this paper, we construct the Stackelberg game model between a brand owner and a B2C e-commerce platform under two trade-in programs and use optimization theory to obtain the equilibrium results of the model. The results indicate that the performance improvement of the new-generation product will promote the increase in two-generation products’ price under traditional trade-in programs, the price of the new-generation product will increase, and the price of the previous-generation product will decrease under new trade-in programs. The brand owner always prefers traditional trade-in to new trade-in. However, the e-commerce platform prefers traditional trade-in to new trade-in just when the previous-generation product is durable enough and the performance improvement of a new-generation product is small enough; otherwise, it prefers new trade-in to traditional trade-in. These findings are beneficial to the operational practices of e-commerce platforms and brand owners.

1. Introduction

With the advent of the Industry 4.0 era, digitalization has become the main theme and many new information technologies have been birthed [1], such as blockchain [2], Internet of Things [3], big data and cloud computing [4], and AI technologies [5]. Technology is driving the digital transformation of enterprises, while at the same time, many brand owners are increasingly favoring online sales. As a result, e-commerce platforms have become an important sales channel [6,7,8]. The operation mode of e-commerce platform includes business-to-consumer (B2C), business-to-business (B2B), and consumer-to-consumer (C2C), etc. Brand owners have different cooperation methods with various e-commerce platforms. For example, “Apple Product JD Self-operated Flagship Store” on JD.com and “Official Apple Flagship Store” on Tmall.com, the former is that Apple sells its products to JD.com at an agreed price, then JD.com sells its own products, and the latter is Apple’s official flagship store opened on Tmall.com. The platform-based supply chain, similar to that consisting of Apple and JD.com, has received attention from all walks of life. The combined use of information technology and disciplinary crossover has also opened up new perspectives in supply chain management research [9,10].
In China’s home appliance and automobile industry, the trade-in program has been implemented for more than ten years. This program plays an important role in connecting the old product recycling-side and the new product sales-side, which not only brings environmental benefits of reducing waste (environmental sustainability has become a mainstream issue [11]) but also promotes consumption upgrades and stimulates demand growth. In practice, there is a government-led trade-in program, and some enterprises (manufacturers or retailers) independently promote the trade-in program. For example, to further promote the expansion of consumer demand, improve resource and energy efficiency, reduce environmental pollution, promote energy conservation and emission reduction, and the development of circular economy, on 28 December 2020, the Ministry of Commerce of China and other 12 departments issued the “Notice on Several Measures to Boost Key Consumption and Promote the Release of Rural Consumption Potential”, proposing a new round of trade-in program, and encourage qualified regions to subsidize the elimination of old home appliances and furniture and purchase of green smart home appliances and environmentally-friendly furniture. In addition, the business community increasingly favors trade-in programs, such as Apple, Mi, and Think Pad. Besides, various e-commerce platforms, such as JD.com, have successively launched several trade-in programs [12].
A traditional trade-in program means that consumers can enjoy a certain discount when exchanging their old one for a new one—we call this trade-in an “old-for-new” (ON) program. It is worth emphasizing that most of the studies on trade-in programs are aimed at the ON program, and most of them are theoretical studies [13,14]. There is a dearth of research on a new trade-in model. However, in practice, it has emerged. Note that JD.com implemented a new trade-in practice from 20 May to 30 June 2020 called “value-preserved-for-new” (VPN) program. The consumers who participated in the VPN program can enjoy full value preservation discounts by exchanging the old for the new; that is, the previous-generation product did not depreciate when it was traded in. Certainly, consumers who participated in this program need to pay a higher price than if they did not participate. In the VPN program of JD.com, it was roughly 500 RMB higher than the normal retail price.
It is precisely because the previous work lacks consideration of VPN, a new trade-in program, that this paper focuses on the research on two different trade-in programs for the B2C e-commerce platform. We build the Stackelberg game model between a brand owner and a B2C e-commerce platform and use optimization theory to solve the model [13]. Then, we compare the impacts of VPN and ON programs on the operations and profits of brand owners and e-commerce platforms. The aim of our research is to find a more favorable trade-in program for e-commerce platforms. The main contributions of this paper are as follows:
  • We consider VPN programs and compare the implementation effects of VPN and ON programs. We also analyze the impacts of the two different trade-in programs on the pricing decisions of brand owners and e-commerce platforms for two successive-generation products and discuss their preferences for both trade-in programs, then advise brand owners and e-commerce platforms on their choices.
  • Based on the two-stage sales of two successive-generation products, we develop Stackelberg game models between a brand owner and a B2C e-commerce platform with both trade-in programs and derive pricing strategies for two-generation products. Product rollover is often common in industry practice, and 3C products are more representative, namely, computer, communications, and consumer electronic products.
The rest of this paper is organized as follows. Section 2 is the literature review. Section 3 describes the research problem. Section 4 develops two game models with the ON and VPN programs, respectively. In Section 5, the two Stackelberg game models are solved, and then we compare the equilibrium results. Section 6 presents the numerical analysis to simulate the results and examine the theoretical models. Section 7 presents the research implications of this paper and points out the limitations and future extensions.

2. Literature Review

In the academic circle, the supply chain has been deeply concerned with different areas [15,16,17]. Among them, some scholars also focus on the trade-in problem in the supply chain. This study primarily relates to two streams of literature.
Firstly, this paper relates to work on trade-in strategies including exchanging the old for the new or remanufactured one. Li et al. [18] proposed a method for designing a specific trade-in program for market segments considering a B2B market. This method can also evaluate the effectiveness and efficiency of the trade-in program. Zhang and Zhang [19] studied the impact of customer purchasing behavior and remanufacturing efficiency on the economic and environmental values of the trade-in program. They found that when the remanufacturing efficiency is too high, the product’s durability will be high, and regular customers are unwilling to participate in the trade-in. Xiao and Zhou [20] considered that consumers have two options: trade-in for cash and upgrade. They studied the implementation of corporate solutions and dynamic pricing decision-making and showed that the mixed solution implemented by enterprises is better than a single solution. Li et al. [21] considered monopolistic OEMs’ implementation of the trade-in program and constructed a two-stage game model, their research show that monopolistic OEMs tend to allow all consumers to participate in the trade-in program at the second stage. Zhu et al. [22] studied the impacts of the trade-in program on duopoly competition, considering that one company implements a trade-in program, while another company does not implement the program. The research results show that enterprises that implement the trade-in program have advantages in terms of market share and profit. Liu et al. [23] considered strategic consumers with a trade-in program, and their results show that if the innovative value-added of the new-generation product and the residual value of the old product are low enough, the enterprise can follow the pre-announced pricing strategy. In addition, Cao et al. [12] took a B2C e-commerce platform as a trade-in program implementation and Hu et al. [24] considered the implementation period of the trade-in program, which provide some inspiration for the research of this paper.
Secondly, this paper relates to the literature on product rollover strategies. Lim and Tang [25] determined the optimal price of the two-generation products and the optimal time to implement the product rollover strategy by comparing the profitability of a single-product rollover strategy. That is, a new-generation product is launched while eliminating the previous-generation product. They also established a dual-product rollover strategy (i.e., when a new-generation product is launched, and the previous and new-generation products are sold together on the market). They proposed the conditions that enterprises are willing to implement the dual-product rollover strategy. Koca et al. [26] also discussed eliminating a previous-generation product after the new-generation product is launched and sold and analyzed dynamic pricing and inventory decision-making. Liang et al. [27] found that the single-product rollover strategy is more valuable when the innovation of a new-generation product is low and the number of strategic consumers is high (the two-stage sales period described in this paper also considers the single-product rollover strategy). Seref et al. [28] coordinated the launch time and pricing of two-generation products by establishing an analysis model and obtained the best launch time and optimal pricing strategy for new products. Liang et al. [29] considered the two-generation products of monopoly enterprises and examined the innovation level of the new-generation product and the production and pricing of the two-generation products. Finally, Ye et al. [30] proposed that an enterprise’s innovation level determines its pricing strategy.
In summary, the previous literature on trade-in programs and product rollover strategies provides a research method reference for the research on trade-in programs of e-commerce platforms in this paper. For instance, optimization theory and Stackelberg game theory. Compared with the existing literature, this paper considers the VPN program, which is a new trade-in practice. We try to explore whether the VPN program is better than the traditional ON program. Our research work not only provides theoretical references for e-commerce platforms to implement trade-in programs but also provides decision-making references for brand owners’ product rollover strategies.

3. Problem Description

This paper considers a platform supply chain composed of a brand owner and a B2C e-commerce platform with two-stage sales. The problem model framework is shown in Figure 1. The brand owner signs product sales contracts with the e-commerce platform and the brand owner is a leader in the supply chain and first determines the product agreement price (that is, the wholesale price of brand authorization) for the e-commerce platform. The e-commerce platform launches ON and VPN programs based on the consideration of improving consumers’ consumption stickiness to the platform, stimulating consumption upgrading, and fulfilling the recycling responsibility of e-commerce platforms. The two corresponding model frameworks are shown in Figure 1a,b, respectively. Consumers who participate in the ON program can get a certain rebate from the e-commerce platform by returning the old product when they buy the new-generation product again. Consumers who participate in the VPN program can get a full value rebate by returning the previous-generation product when they buy a new-generation product again (that is, the previous-generation product does not depreciate). The price of the VPN program (hereinafter the VPN price) is higher than the normal retail price (the normal retail price refers to the full price of the product when there are no activities). Note that the initial consumers who do not participate in the VPN program will purchase the product at a price lower than the VPN price; however, this type of consumer will face a significant depreciation of the old product when buying the new-generation product.
By constructing two Stackelberg game models, ON and VPN models, we aim to obtain the optimal decision of the brand owner and the e-commerce platform under the equilibrium situation. The decision-making idea of the research problem is that the brand owner first determines the product agreement price given to the e-commerce platform, and then the e-commerce platform makes the product retail pricing decision. The decision sequence can be characterized by the timeline shown in Figure 2. The first-stage sales of the ON model are as follows: At T = 0, the brand owner’s current-generation products are sold and the brand owner signs a sales agreement with the e-commerce platform to determine the first-stage product agreement price. The e-commerce platform then determines the retail price at T = 0. The second-stage sales of the ON model are: the brand owner first determines the agreement price of new-generation products at T = 1, and then the e-commerce platform determines the retail price of new-generation products and launches the ON program for the initial consumers who make purchases at the first stage. The first-stage sales of the VPN model are: the brand owner first determines the agreement price, and then the e-commerce platform launches the VPN program and determines the VPN price and the normal retail price. The second-stage sales of the VPN model are: the brand owner first determines the agreement price of the new-generation products, and then the e-commerce platform determines the retail price of the new-generation products. Note that in this paper: (1) the sales period of the second stage is considered the limited period after T = 1 since the implementation of trade-in programs often requires consideration of the period of the activities. For example, Hu et al. [24] also considered the limited period when studying the trade-in program and, in practice, the limited period of the VPN program implemented by JD.com is 60 days. (2) We consider that once the product price in each stage is determined, the price will no longer change in this stage. (3) For the second stage, a current-generation product means being a previous-generation product.
The notation and description used in this paper, as summarized in Table 1.

4. The Model

4.1. Product Demand

This paper describes product demand through consumer preferences. We assume that consumers are short-sighted; that is, consumers only aim to maximize the utility of the current stage sales (not the sum of the two-stage utility) [31,32]. Without loss of generality, we normalize the size of the consumer population to 1. Consumers are heterogeneous in the perceived value of products, and the customer perceived value v (alternatively called “willingness to pay”) represents the diverse types of consumers in the market [33]. Referring to the studies by Li et al. [34], Sun et al. [35], and Wu [36], the relationship between product demand and price is derived based on the consumer utility theory.

4.1.1. Demand with ON Program

The two-stage consumer’s purchase decision is shown in Figure 3.
As shown in Figure 3, the utility of consumers purchasing current-generation products at the first stage is v p 1 r T ; hence, the demand for current-generation products is:
D 1 T = 1 × p 1 r T 1 d v = 1 p 1 r T .
In the second stage, the utility of the initial consumers’ trade-in for new-generation products with the ON program is v ( 1 + r ) p 2 r T + p t , their utility for continuing to use previous-generation products is αv, and the boundary v when there is indifference between the two utilities is v 1 * = p 2 r T p t 1 + r α ; hence, the demand of initial consumers to trade-in for new-generation products with the ON program is:
D 2 o T = 1 × v 1 * 1 d v = 1 p 2 r T p t 1 + r α .
The utility of new consumers purchasing new-generation products without the ON program at the second stage is v ( 1 + r ) p 2 r T . Then, the boundary v which makes the consumer indifferent between purchasing and not purchasing can be given as v 1 * = p 2 r T 1 + r ; therefore, the demand of new consumers to purchase new-generation products without the ON program is:
D 2 n T = 1 × v 2 * p 1 r T d v = p 1 r T p 2 r T 1 + r .

4.1.2. Demand with VPN Program

Similarly, the two-stage consumer’s purchase decision is shown in Figure 4.
Again, according to the consumer utility theory, the demands of purchasing current-generation products with and without a VPN at the first stage are D 1 j M = 1 p m , D 1 n j M = p m p 1 r j M , respectively. In the second stage, the initial consumers who had purchased previous-generation products with the VPN program will all trade-in for new-generation products; then, the demand of initial consumers trade-in for new-generation products with a VPN program is D 2 o j M = D 1 j M p m . The demand of the initial consumers who did not participate in the VPN program to purchase new-generation products again is D 2 o n j M = p m p 2 r M p o 1 + r α . Moreover, the demand of new consumers to purchase new-generation products is D 2 n M = p 1 r M p 2 r M 1 + r .

4.2. ON Model

The total profit of the players in the game is the sum of the discounted value of the profits of the two-stage sales, and the optimal decision-making problem of the brand owner and the e-commerce platform under the ON model can be obtained as follows:
max p 1 a T , p 2 a T π B T = ( p 1 a T c 1 ) D 1 T + τ ( p 2 a T c 2 ) ( D 2 o T + D 2 n T )
max p 1 r T , p 2 r T , p t π E T = ( p 1 r T p 1 a T ) D 1 T + τ [ ( p 2 r T p 2 a T p t + s ) D 2 o T + ( p 2 r T p 2 a T ) D 2 n T ]
s . t . { p 1 r T p 2 r T 1 + r 0 , p 2 r T p t 1 + r α p 1 r T 0 1 p 2 r T p t 1 + r α 0 , ,
where the first item in the objective functions of the brand owner and the e-commerce platform is the sales profits of current-generation products at the first stage and the second item is the sales profits of new-generation products at the second stage (including the trade-in for new-generation products with the ON program and the purchase of new consumers). In Equation (6), the first inequality is the constraint condition that the demand of new consumers to purchase new-generation products is non-negative (i.e., D 2 n T 0 ). The second inequality is the constraint condition that the number of initial consumers to continue using previous-generation products is non-negative. The third inequality is the constraint condition that the demand of initial consumers to trade-in for new-generation products with the ON program is non-negative (i.e., D 2 o T 0 ).

4.3. VPN Model

Using the same procedure adapted to obtain the optimal decision-making problem under a VPN model, we can derive it as follows:
max p 1 a M , p 2 a M π B M = ( p 1 a M c 1 ) ( D 1 j M + D 1 n j M ) + τ ( p 2 a M c 2 ) ( D 2 o j M + D 2 o n j M + D 2 n M )
max p 1 r M , p 2 r M , p m π E M = ( p m p 1 a M ) D 1 j M + ( p 1 r M p 1 a M ) D 1 n j M + τ ( p 2 r M p 2 a M p m + s ) D 2 o j M + τ ( p 2 r M p 2 a M ) ( D 2 o n j M + D 2 n M )
s . t . { p 1 r M p 2 r M 1 + r 0 p 2 r M p o 1 + r α p 1 r M 0 p m p 2 r M p o 1 + r α 0 1 p m 0
where for the objective functions of the brand owner, the first item is the sales profit of current-generation products at the first stage (including initial consumers with and without VPN program), and the second item is the sales profit of the new-generation products at the second stage (including the purchases of new and initial consumers). For the objective functions of the e-commerce platform, the first two items are the sales profits of current-generation products purchased by initial consumers at the first stage with and without a VPN program, respectively, the third item is the sales profit of the new-generation products traded-in by the initial consumers with VPN program, and the last item is the sales profit of the new-generation products purchased by new and the initial consumers who did not participate in VPN program at the first stage. In addition, Equation (9) have the same principles as Equation (6); they are the non-negative constraints on the number of consumers in various decisions.

5. Results and Analysis

5.1. Model Results

This paper considers that the brand owner is the leader of the platform supply chain and the e-commerce platform is its follower (e.g., Apple and JD.com mentioned above). To obtain equilibriums of the Stackelberg game, the Backward Induction Method is adopted [37,38,39].
Solving the ON model first. By finding the Hessian Matrix of the e-commerce platform’s objective function π E T , we can obtain that π E T is the joint concave function with respect to p 1 r T , p 2 r T and p t . Solving by constructing a Lagrangian function, which can be written using the Lagrangian multiplier method and KKT as follows:
L E T ( p 1 r T , p 2 r T , p t , λ 1 , λ 2 , λ 3 , η 1 , η 2 , η 3 ) = π E T λ 1 ( p 1 r T p 2 r T 1 + r η 1 2 ) λ 2 ( p 2 r T p t 1 + r α p 1 r T η 2 2 ) λ 3 ( 1 p 2 r T p t 1 + r α η 3 2 ) ,
where λ 1 , λ 2 , λ 3 ≥ 0, η 1 , η 2 , η 3 are slack variables (this allows these inequality constraints to be converted into equation constraints). Therefore, the reaction functions of the e-commerce platform’s pricing decisions are obtained by taking first-order conditions (FOC) of L E T as follows:
p 1 r T = τ p 2 a T 2 p 1 a T 2 τ ( 1 + r ) 4 ,
p 2 r T = [ τ ( 1 + r ) 2 ] p 2 a T ( 1 + r ) p 1 a T ( 1 + r ) τ ( 1 + r ) 4 ,
p t = τ ( 1 + r ) p 2 a T 2 ( 1 + r ) p 1 a T + ( α + s ) [ τ ( 1 + r ) 4 ] τ ( 1 + r ) 2 + 2 ( 1 + r ) 2 [ τ ( 1 + r ) 4 ] .
Substituting the above reaction functions Equations (11)–(13) into the brand owner’s objective function π B T . Similarly, we can obtain that π B T is the joint concave function with respect to p 1 a T and p 2 a T . Therefore, taking the FOC of π B T , the brand owner’s optimal agreement prices at two-stage sales can be obtained as the following Lemma 1.
Lemma 1.
The brand owner’s optimal agreement prices at two-stage sales under the ON model are:
p 1 a T * = ( 1 + r ) [ 4 ( 1 + c 1 ) + τ ( s α ) ] 2 α ( 1 + c 1 ) 4 [ 2 ( 1 + r ) α ] ,
p 2 a T * = 2 ( 1 + r ) 2 ( 1 + r ) [ 2 ( α c 2 ) s ] α c 2 2 [ 2 ( 1 + r ) α ] .
Substituting Equations (14) and (15) into Equations (11)–(13), the e-commerce platform’s optimal pricing decisions can be obtained as the following Lemma 2.
Lemma 2.
The e-commerce platform’s optimal retail prices at two-stage sales and rebate prices at second-stage sales under the ON model are:
p 1 r T * = τ ( 1 + r + c 2 ) 2 c 1 6 2 [ τ ( 1 + r ) 4 ] ,
p 2 r T * = 2 [ τ ( 1 + r ) 2 ] [ 2 ( 1 + r ) 2 + α c 2 + X ] ( 1 + r ) [ 2 α ( 3 + c 1 ) 8 ( 1 + r ) + Y ] 4 [ α 2 ( 1 + r ) ] [ τ ( 1 + r ) 4 ] ,
p t * = τ ( 1 + r ) 2 + ( 1 + r ) [ 2 τ ( α + s ) + 2 ( 1 c 1 ) + c 2 τ ] 8 ( α + s ) 4 [ τ ( 1 + r ) 4 ] ,
where X = ( 1 + r ) [ 2 ( α c 2 ) s ] , Y = ( 1 + r ) [ τ ( α s ) 4 ( 1 + c 1 ) ] .
According to Lemma 1 and Lemma 2, the optimal profit of the platform supply chain members under the ON model can be expressed as the optimal decisions:
π B T * = ( p 1 a T * c 1 ) ( 1 p 1 r T * ) + τ ( p 2 a T * c 2 ) [ 1 p 2 r T * p t * 1 + r α + p 1 r T * p 2 r T * 1 + r ] ,
π E T * = ( p 1 r T * p 1 a T * ) ( 1 p 1 r T * ) + τ ( p 2 r T * p 2 a T * p t * + s ) ( 1 p 2 r T * p t * 1 + r α ) + τ ( p 2 r T * p 2 a T * ) ( p 1 r T * p 2 r T * 1 + r ) .
Next, we solve the VPN model. Similarly, we construct a Lagrangian function of π E M as follows:
L E M ( p 1 r M , p 2 r M , p m , γ 1 , γ 2 , γ 3 , γ 4 , ϕ 1 , ϕ 2 , ϕ 3 , ϕ 4 ) = π E M γ 1 ( p 1 r M p 2 r M 1 + r ϕ 1 2 ) γ 2 ( p 2 r M p o 1 + r α p 1 r M ϕ 2 2 ) γ 3 ( p m p 2 r M p o 1 + r α ϕ 3 2 ) γ 4 ( 1 p m ϕ 4 2 ) ,
where γ 1 , γ 2 , γ 3 , γ 4 0 , ϕ 1 , ϕ 2 , ϕ 3 , ϕ 4 are slack variables (similarly, this converts the inequality constraints into equation constraints). According to FOC of L E M , we can drive the reaction functions of the e-commerce platform’s retail price and VPN price and further substitute them into π B M ; then, the brand owner’s optimal agreement prices at two-stage sales can be obtained as the following Lemma 3.
Lemma 3.
The brand owner’s optimal agreement prices at two-stage sales under the VPN model are:
p 1 a M * = 2 c 1 ( 1 τ ) + τ ( s 3 ) + 2 4 ( 1 τ ) ,
p 2 a M * = 2 ( 1 + r ) 2 ( 1 + r ) [ 2 ( α c 2 ) β ] α c 2 2 [ 2 ( 1 + r ) α ] .
Substituting Equations (22) and (23) into the objective function π E M , the e-commerce platform’s optimal pricing strategy set { p 1 r M * , p 2 r M * , p m * } can be derived by solving it in the same way as the ON model. In particular, we should explain that due to the complexity of the expression of the analytical solution, the relevant analysis of the optimal pricing strategy set { p 1 r M * , p 2 r M * , p m * } will be discussed in Section 6 with a numerical simulation.
The optimal profit of the platform supply chain members under the VPN model can be expressed as the optimal decisions:
π B M * = ( p 1 a M * c 1 ) ( 1 p 1 r M * ) + τ ( p 2 a M * c 2 ) ( 1 p 2 r M * p 1 r M * β 1 + r α + p 1 r M * p 2 r M * 1 + r ) ,
π E M * = ( 1 p m * ) [ p m * p 1 a M * + τ ( p 2 r M * p 2 a M * p m * + s ) ] + ( p 1 r M * p 1 a M * ) ( p m * p 1 r M * ) + τ ( p 2 r M * p 2 a M * ) ( p m * p 2 r M * p 1 r M * β 1 + r α + p 1 r M * p 2 r M * 1 + r ) .

5.2. Analysis of Results

Taking the first-order derivatives of the brand owner’s optimal pricing strategy set { p 1 a T * , p 2 a T * } with respect to the related parameters and then determining their positive and negative, Proposition 1 can be obtained.
Proposition 1.
When the e-commerce platform implements the ON program, the correlation between the optimal product agreement price and related parameters is described as:
(1) 
Both p 1 a T * and p 2 a T * are positively correlated with the net revenue brought by recycling of per unit of old products (s value).
(2) 
Both p 1 a T * and p 2 a T * are negatively correlated with the remaining rate of customer perceived value of the previous-generation products at second-stage sales (α value).
(3) 
If s > α, p 1 a T * is positively correlated with discount factor (τ value) and improvement rate of consumer-perceived value of new-generation products (r value). If s < α, they are negatively correlated. If s = α, p 1 a T * = 1 + c 1 2 , which is only linearly correlated with the unit production cost of current-generation products ( c 1 value).
(4) 
p 2 a T * and τ are not correlated (this means that the discount factor will not affect the agreed price of new-generation products).
According to Proposition 1, we know that under the ON program, the values of the key parameters have a great influence on the optimal agreement price of brand owners, which reveals that brand owners should determine the agreement price given to e-commerce platforms based on the relationship between the magnitude of the s-value and the α-value.
By taking the first-order derivatives of the brand owner’s optimal pricing strategy set { p 1 a M * , p 2 a M * } with respect to the related parameters and then determining their positive and negative, Proposition 2 can be obtained.
Proposition 2.
When the e-commerce platform implements the VPN program, the correlation between the optimal product agreement price and related parameters is described as:
(1) 
p 1 a M * is positively correlated with the net revenue brought by recycling per unit of old products (s value), negatively correlated with discount factor (τ value), and does not correlate with α, β, or r values.
(2) 
p 2 a M * is negatively correlated with α value, positively correlated with β value, and has no correlation with s, τ values.
Combining Proposition 1 with Proposition 2, we can obtain the following findings. First, when the net revenue brought by the recycling of old products increases, the agreement price of the new-generation products will be higher under the ON model; however, there will be no change under the VPN model. Second, when the remaining rate of customer-perceived value of the previous-generation products increases, the agreement price of the previous-generation products at the first stage will be lower under the ON model, however, there is still no change under the VPN model. Third, when the value preservation rate of the previous-generation products increases, the agreement price of the new-generation products will be higher under the VPN model; however, this time there is no change under the ON model.
Conclusion 1.
The impact mechanism of relevant parameters on pricing shows a large difference under traditional trade-in (ON program) and under new trade-in (VPN program); that is, the implementation of different trade-in programs on e-commerce platforms will change pricing strategies.
Taking the first-order derivatives of the e-commerce platform’s optimal pricing strategy set { p 1 r T * , p 2 r T * , p t * } with respect to the related parameters and then determining their positive and negative, Proposition 3 can be obtained.
Proposition 3.
When the e-commerce platform implements the ON program, the correlation between the optimal product retail price, rebate price, and related parameters is described as:
(1) 
p 2 r T * and p t * are positively correlated with s value, while p 1 r T * is not correlated with s value.
(2) 
p 2 r T * is negatively correlated with α value, p t * is positively correlated with α value, while p 1 r T * is not correlated with α value.
(3) 
If c 2 < ( 1 + r ) ( 1 + c 1 ) 2 , p 1 r T * , p 2 r T * , and p t * are all positively correlated with τ value. If c 2 > ( 1 + r ) ( 1 + c 1 ) 2 , p 1 r T * , p 2 r T * , and p t * are all negatively correlated with τ value. If c 2 = ( 1 + r ) ( 1 + c 1 ) 2 , p 1 r T * , p 2 r T * , and p t * are all not correlated with τ value.
Proposition 3 indicates that when the net revenue brought by the recycling of old products increases, the retail price of the new-generation products and the rebate price at the second stage will be higher, while the retail price of the previous-generation products will not be changed. In addition, when the remaining rate of customer-perceived value of the previous-generation products increases, the retail price of the new-generation products will be lower and the rebate price will be higher, while the retail price of the previous-generation products will not be changed.
Furthermore, by comparing p 2 a T *   p 2 a M * , we can obtain:
p 2 a T * p 2 a M * = ( 1 + r ) ( s β ) 2 [ 2 ( 1 + r ) α ] .
Proposition 4.
If s > β, then p 2 a T * > p 2 a M * , that is, the brand owner’s agreement price of the new-generation products is higher under the ON model than under the VPN model. If s < β, then p 2 a T * < p 2 a M * , that is, the agreement price of the new-generation products is higher under the VPN model. If s = β, then p 2 a T * = p 2 a M * , that is, the agreement prices under the two models are indistinguishable.
Proposition 4 indicates that the relationship between the magnitude of the s-value and the β-value determines the agreement price of the new-generation products under the two trade-in programs. The brand owner will set different agreement prices for the new-generation products based on two parameter values—β and s.
Conclusion 2.
The agreement price of the new-generation products is independent of which trade-in program is implemented and depends only on the relationship between the magnitude of s and β values.

6. Numerical Simulation

In view of the complexity of the model’s analytical solution, this section uses a numerical simulation to further analyze the two-stage pricing of platform supply chain members under the ON and VPN models and compare the influence of the main parameters on the profits of the members to obtain useful conclusions that guide the members of the platform supply chain to make reasonable pricing and implement a more favorable trade-in program. Note that, based on the survey of JD.com, we have scaled down the survey data appropriately to better present the results. Thus, we set the basic parameter values as follows: c 1 = 0.01 , c 2 = 0.02 , α = 0.6, β = 0.7, r = 0.1, τ = 0.8, s = 0.5.
Due to the lack of analysis of the optimal pricing strategy set { p 1 r M * , p 2 r M * , p m * } in the previous sections. Therefore, firstly, the change trend of the strategy set with main parameters is given.

6.1. Impacts of Main Parameters on { p 1 r M * , p 2 r M * , p m * }

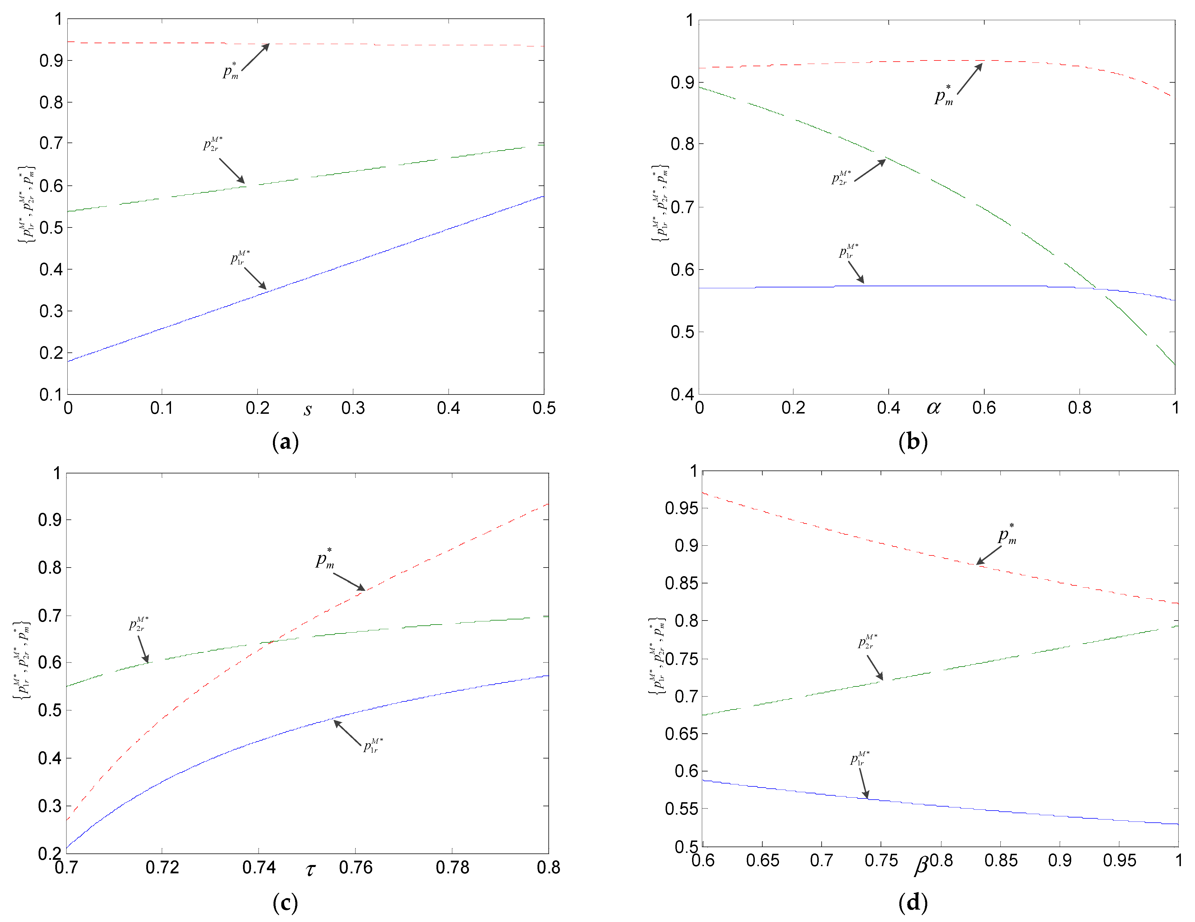
Given that other parameters remain unchanged, we simulate the change trend of the strategy set { p 1 r M * , p 2 r M * , p m * } in a certain interval of the parameters s, α, τ, and β, as shown in Figure 5.
Figure 5a shows that as s value gradually increases from 0 to 0.5, p 1 r M * and p 2 r M * gradually increases, while p m * decreases slightly. The retail price difference between the two-stage scales and the price difference between the retail price and the VPN price gradually shrinks. In Figure 5b, when α value gradually increases in the interval (0,1), p 1 r M * and p 2 r M * first increase and then decrease, and p m * gradually decreases. Put another way, this shows that the more durable the previous-generation products, the lower the retail price of the new-generation products. Thus, we obtain that the durability of the previous-generation products will restrict the pricing of new-generation products. In practice, enterprises will be prone to use relevant technical means to reduce the service life of previous-generation products and other unethical behavior. In Figure 5c, as τ value increases from 0.7 to 0.8, p 1 r M * , p 2 r M * and p m * all gradually increases. In addition, when the discount factor τ is relatively low (such as in this case, τ < 0.743), the retail price of new-generation products will be higher than the VPN price. When the discount factor τ is relatively high (such as in this case, τ > 0.743), the retail price of the new-generation products will be lower than the VPN price. According to Figure 5d, when β value gradually increases in the interval (0.6,1), both p 1 r M * and p m * gradually decrease, while p 2 r M * gradually increases. This indicates that if the value-preservation rate of previous-generation products is higher, the retail price and VPN price at the first stage will be lower and the retail price of new-generation products at the second stage will be higher.

6.2. Impacts of Improvement Rate r on Pricing with Two Trade-In Programs

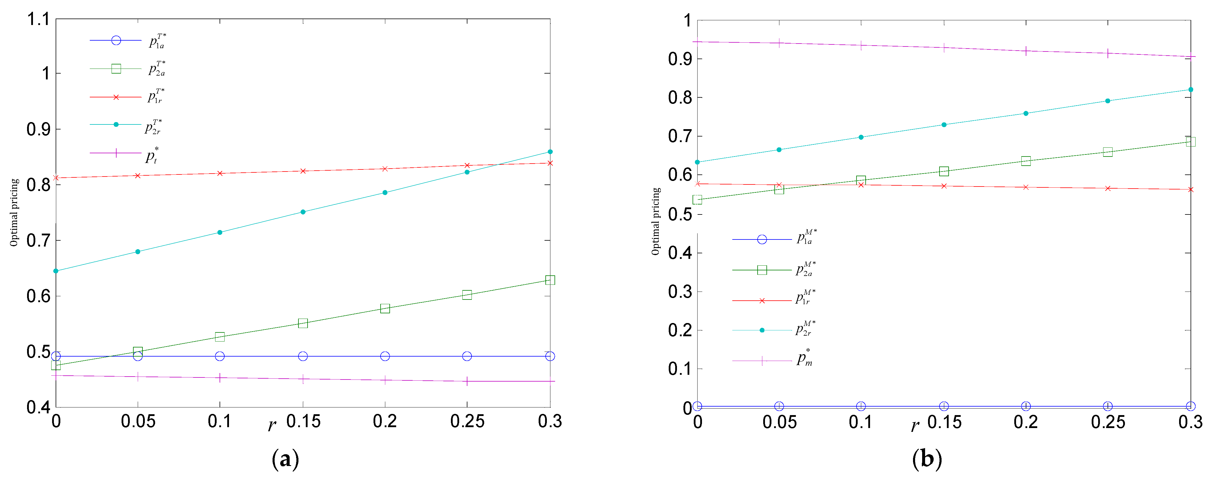
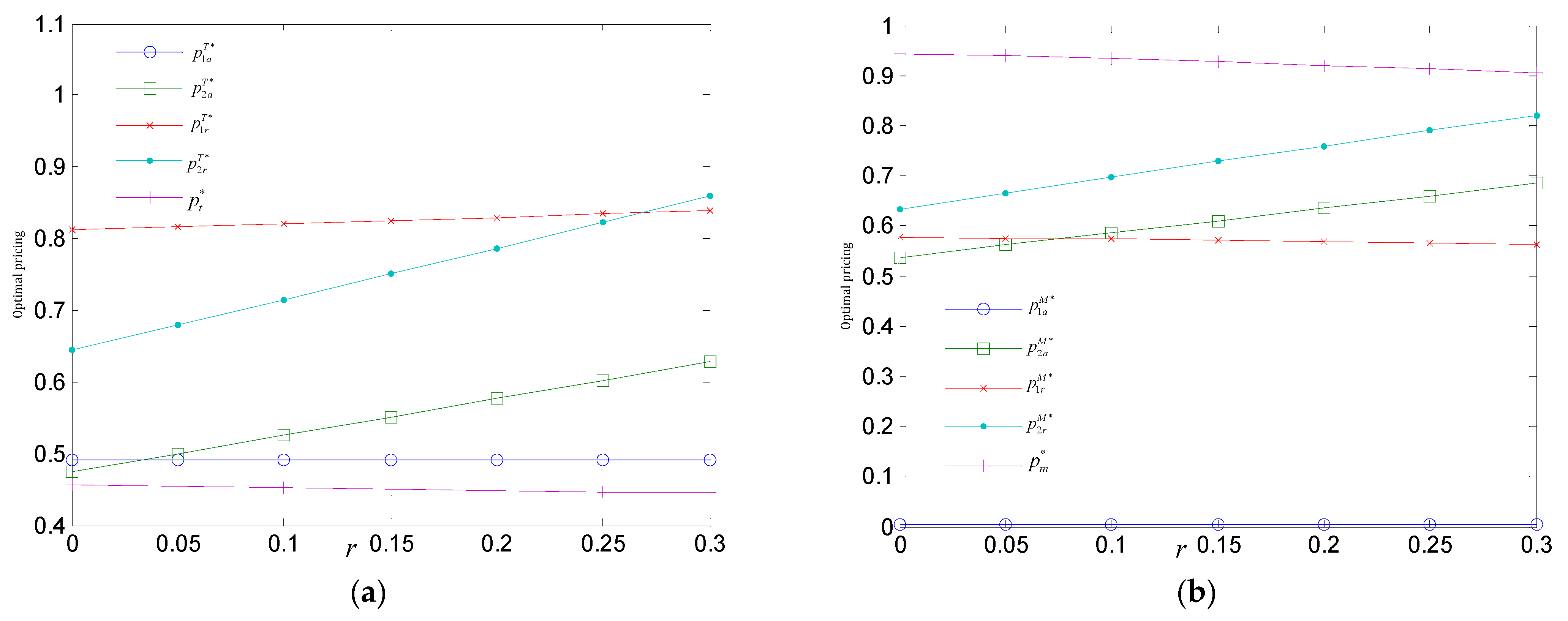
Further, we analyze the impacts of the improvement rate of consumer-perceived value of new-generation products compared to previous-generation products on pricing with two trade-in programs. Given other parameters unchanged, the change trend of the optimal pricing with improvement rate r is obtained as shown in Figure 6.
According to Figure 6a, when the e-commerce platform implements the ON program, in the process, the improvement rate increases from 0% to 30% and p 1 a T * , p 2 a T * , p 1 r T * and p 2 r T * gradually increase, except the rebate price p t * gradually decreases. This indicates that the overall performance improvement of the new-generation products will promote the agreement and retail prices increase of the two-generations products, the greater the performance improvement, the higher the price will increase, and the e-commerce platform will reduce the rebate price under the ON program. In addition, there are two thresholds for r. When r is greater than the threshold (26.83% and 3.23% in this case, respectively), the new-generation products are available at higher retail and agreement prices than the previous-generation products. When r is less than the threshold, the situation is the opposite.
Figure 6b shows that when the e-commerce platform implements the VPN program, with the increase of r, p 1 a M * does not change (this is consistent with Proposition 2), p 2 a M * and p 2 r M * gradually increase and p 1 r M * and p m * gradually decrease, which indicate that the performance improvement of the new-generation products has increased the agreement and retail prices of the new-generation products. Additionally, at the same time, the retail price and the VPN price of the previous-generation products have decreased. This shows that the performance improvement of the new-generation products has a promoting effect on the retail and agreement prices of the new-generation products and inhibits the retail price and the VPN price of the previous-generation products.
Conclusion 3.
Pricing decisions of the brand owner and the e-commerce platform are affected by related parameters and depend on whether the e-commerce platform implements the ON or VPN program. If the performance of the new-generation products is greatly improved, the product price of the two-generations products will rise under the ON program, and only the product price of the new-generation products will rise under the VPN program, which will inhibit the product price of the current-generation products.

6.3. Preferences of Two Trade-In Programs

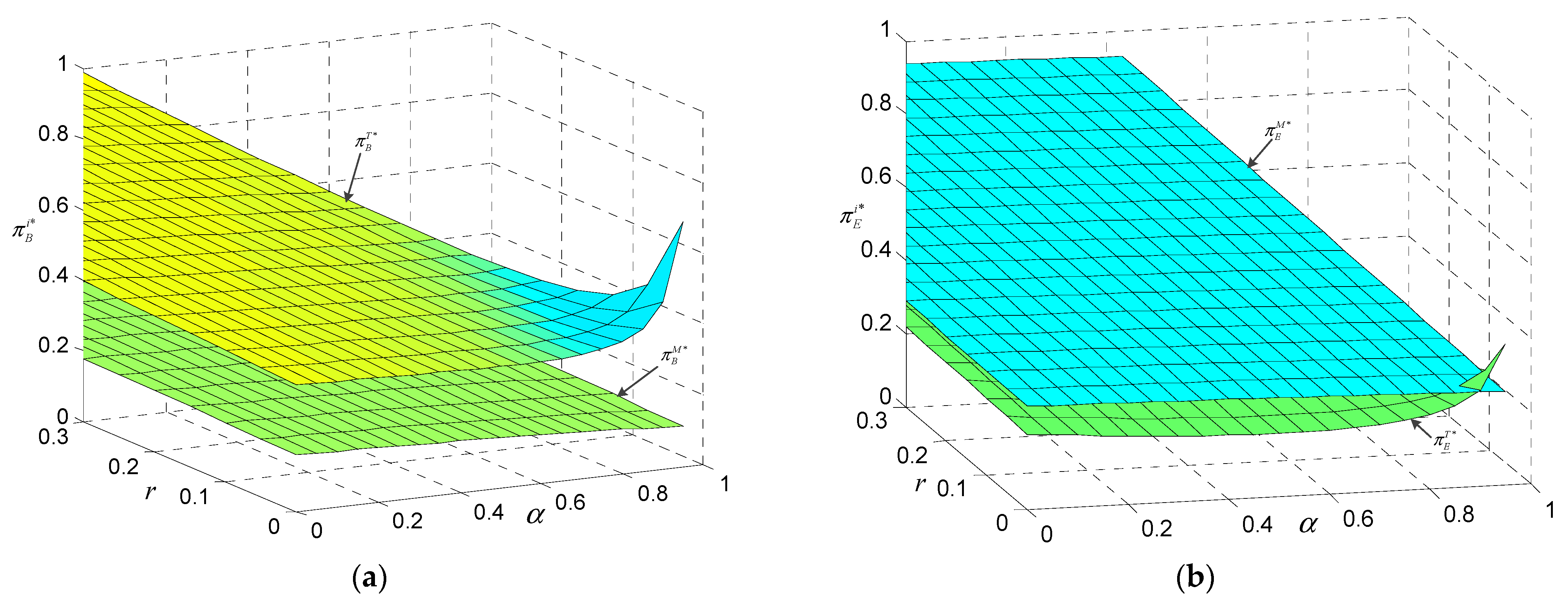
Consistent with the above, α remains in the interval (0, 1) and r in the interval (0, 0.3). The impacts of α and r on the optimal profit of the brand owner and the e-commerce platform with the two trade-in programs are obtained when the other parameters are unchanged, as shown in Figure 7. Based on the level of their own profits under the two trade-in models, the preference of the brand owner and the e-commerce platform for trade-in programs can be analyzed.
Figure 7a shows that with the gradual increase of α, the brand owner’s optimal profit gradually decreases under the VPN program but decreases first and then increases under the ON program. As r gradually increases, the brand owner’s optimal profit has shown an increasing trend under the two trade-in programs. This indicates that whether the e-commerce platform implements the ON or VPN programs, the performance improvement of the new-generation products is conducive to increasing the brand owner’s total profit of the two-stage; hence, the brand owner has the motivation to improve the performance of the new-generation products actively. However, when the e-commerce platform implements the VPN program, the more durable the previous-generation products, the less profit the brand owner can obtain. When the e-commerce platform implements the ON program, the brand owner can gain more profits when the durability of previous-generation products is low enough or high enough, and the brand owner will receive less profits when the durability is at an intermediate level. In addition, a more important conclusion is that the brand owner’s optimal profit is always higher under the ON program than under the VPN program. Thus, the brand owner prefers the ON to the VPN program.
According to Figure 7b, the change trend of the e-commerce platform’s profit with α and r is similar to that of the brand owner. With the increase of r, the e-commerce platform’s profit shows an increasing trend under both trade-in programs. With the increase of α, the e-commerce platform’s profit under the VPN model gradually decreases, and this shows a trend of first decreases and then increases under the ON model. Similarly, the performance improvement of the new-generation products always brings higher profits to the e-commerce platform. In summary, the performance improvement of the new-generation products is beneficial to the supply chain system, and the system’s members can achieve a win-win situation. In addition, when α and r change in a large range, the e-commerce platform’s profit is higher under the VPN program than under the ON program. Only when the r value is small enough and the α value is large enough, the e-commerce platform can obtain higher profits by implementing the ON program than the VPN program. This indicates a key conclusion that when the performance improvement of new-generation products is small enough and the durability of previous-generation products is strong enough, the e-commerce platform prefers the ON program; otherwise, the e-commerce platform prefers the VPN program.
Conclusion 4.
Regardless of the implementation of an ON or VPN program, the performance improvement of the new-generation products can enable the brand owner and the e-commerce platform to achieve a win-win situation. The greater the performance improvement is, the higher the total profits of the brand owner and the e-commerce platform are.

6.4. The Dominant Scenario of Two Trade-In Programs

How does the combination of retail price (ON program) and trade-in price (VPN program) influence e-commerce platforms to choose better trade-in programs? To answer this question, we obtained two profit indifference curves (profits remain equal under both trade-in programs) by varying the trade-in and retail prices based on simulation, as shown in Figure 8.
As can be seen in Figure 8, the ON program is dominant in regions 1 and 3 and the VPN program is dominant in region two. This is because, in the dominant region, the e-commerce platform has a profit advantage when implementing the corresponding trade-in program. Note that, according to our description of the model background, in reality, the VPN price is higher than the normal retail price. Therefore, region three is unlikely to appear and regions one and two are prone to occur. Figure 8 shows a good practical application, that is, to provide a reference for the e-commerce platform to implement a trade-in program and formulate pricing strategies.

7. Conclusions

A trade-in program is an important sales strategy for the online marketing of e-commerce platforms. It can not only bring incremental sales to e-commerce platforms but also enhance supply chain benefits. In this paper, we consider the implementation of ON and VPN programs in an e-commerce platform and construct two-stage Stackelberg game models between a brand owner and an e-commerce platform (including the first-stage sales of current-generation products and the second-stage sales of next-generation products) with the two trade-in programs, respectively. We investigate the optimal decision-making problems regarding agreement price, retail price, rebate price, and VPN price. Furthermore, we discuss the impacts of the two trade-in programs on the optimal profits of supply chain members. Finally, we give suggestions for supply chain members to select trade-in programs.
This study’s contribution to academic literature is threefold. Firstly, we propose a new trade-in program, that is, a “value-preserved-for-new” program, which means that the consumers who participated in this program can enjoy full value preservation discounts by exchanging the old for the new product. The new trade-in program enriches the study of online marketing strategies, thereby also filling a gap in the literature.
Secondly, our study will expand the literature on product rollover strategies by studying the pricing of two-generation products, in particular, by identifying the impacts of the performance improvement of the next-generation products on the profit of brand owners.
Thirdly, this study well extends the supply chain pricing research from single-stage sales to two-stage sales. The supply chain members under two-stage sales need to make decisions based on the total profit of both stages, rather than just limiting to maximizing the current profit.
The practical implications of this research can be directed mainly at e-commerce platforms and brand owners. For e-commerce platforms, they can make decisions about which trade-in program to implement based on our research findings; and develop reasonable pricing mechanisms. For brand owners, their practical insights lie in how to improve next-generation product performance as well as develop beneficial contracts for e-commerce platforms.
Our research has a number of limitations. The results of this study are based on our assumption that the previous-generation products are sold at the first stage and the new-generation products are sold at the second stage. We do not consider the situation where the previous-generation products will continue to be sold at the second stage. In future studies on trade-in programs, we will further investigate the impact of dual-product rollover on the decision-making of supply chain members. In addition, we can further expand our sales channels to omnichannel.

Author Contributions

Conceptualization and methodology, Q.H. and T.L.; writing, J.L.; supervision, Q.H.; numerical simulation, W.Z. and J.L.; investigation and visualization, W.Z. and T.L. Project administration and writing—review & editing, X.C.; Supervision and writing—review & editing, L.M. All authors have read and agreed to the published version of the manuscript.

Funding

This research was funded by the Humanities and Social Sciences Foundation of Ministry of Education, China (grant number 19YJA630033), the National Statistical Science Research Project of China (grant number 2021LY100) and the Development Foundation Project of Shanghai University of Finance and Economics Zhejiang College, China (grant number 2020GR004).

Institutional Review Board Statement

Not applicable.

Informed Consent Statement

Not applicable.

Data Availability Statement

Not applicable.

Acknowledgments

The authors would like to appreciate the editors and the anonymous reviewers for their insightful suggestions to improve the quality of this paper.

Conflicts of Interest

The authors declare no conflict of interest.

Abbreviations

The following abbreviations are used in this manuscript:
ONOld-for-new
VPNValue-preserved-for-new

References

  1. Hahn, G.J. Industry 4.0: A supply chain innovation perspective. Int. J. Prod. Res. 2020, 58, 1425–1441. [Google Scholar] [CrossRef]
  2. Gayialis, S.P.; Kechagias, E.P.; Konstantakopoulos, G.D.; Papadopoulos, G.A.; Tatsiopoulos, I.P. An approach for creating a blockchain platform for labeling and tracing wines and spirits. In Proceedings of the IFIP International Conference on Advances in Production Management Systems, Nantes, France, 5–9 September 2021; pp. 81–89. [Google Scholar]
  3. Manavalan, E.; Jayakrishna, K. A review of Internet of Things (IoT) embedded sustainable supply chain for Industry 4.0 requirements. Comput. Ind. Eng. 2019, 127, 925–953. [Google Scholar] [CrossRef]
  4. Xiahou, X.; Harada, Y. B2C e-commerce customer churn prediction based on K-means and SVM. J. Theor. Appl. Electron. Commer. Res. 2022, 17, 458–475. [Google Scholar] [CrossRef]
  5. Pournader, M.; Ghaderi, H.; Hassanzadegan, A.; Fahimnia, B. Artificial intelligence applications in supply chain management. Int. J. Prod. Econ. 2021, 241, 108250. [Google Scholar] [CrossRef]
  6. Chiang, W.Y.K.; Monahan, G.E. Managing inventories in a two-echelon dual-channel supply chain. Eur. J. Oper. Res. 2015, 162, 325–341. [Google Scholar] [CrossRef]
  7. Hu, H.; Wu, Q.; Han, S.; Zhang, Z. Coordination of dual-channel supply chain with perfect product considering sales effort. Adv. Prod. Eng. Manag. 2020, 15, 192–203. [Google Scholar] [CrossRef]
  8. Hu, Y.S.; Zeng, L.H.; Huang, Z.L.; Cheng, Q. Optimal channel decision of retailers in the dual-channel supply chain considering consumer preference for delivery lead time. Adv. Prod. Eng. Manag. 2020, 15, 453–466. [Google Scholar] [CrossRef]
  9. Gayialis, S.P.; Kechagias, E.P.; Konstantakopoulos, G.D. A city logistics system for freight transportation: Integrating information technology and operational research. Oper. Res. 2022. [Google Scholar] [CrossRef]
  10. Kechagias, E.P.; Miloulis, D.M.; Chatzistelios, G.; Gayialis, S.P.; Papadopoulos, G.A. Applying a system dynamics approach for the pharmaceutical industry: Simulation and optimization of the quality control process. WSEAS Trans. Environ. Dev. 2021, 17, 983–996. [Google Scholar] [CrossRef]
  11. Zimon, D.; Tyan, J.; Sroufe, R. Drivers of sustainable supply chain management: Practices to alignment with UN sustainable development goals. Int. J. Qual. Res. 2020, 14, 219–236. [Google Scholar] [CrossRef]
  12. Cao, K.Y.; Xu, X.Y.; Bian, Y.W.; Sun, Y.H. Optimal trade-in strategy of business-to-consumer platform with dual-format retailing model. Omega 2019, 82, 181–192. [Google Scholar] [CrossRef]
  13. Bai, J.; Hu, S.; Gui, L.; So, K.C.; Ma, Z.J. Optimal subsidy schemes and budget allocations for government-subsidized trade-in programs. Prod. Oper. Manag. 2021, 30, 2689–2706. [Google Scholar] [CrossRef]
  14. Zhao, S.; You, Z.; Zhu, Q. Quality choice for product recovery considering a trade-in program and third-party remanufacturing competition. Int. J. Prod. Econ. 2021, 240, 108239. [Google Scholar] [CrossRef]
  15. Glover, J.L.; Champion, D.; Daniels, K.J.; Dainty, A.J. An Institutional Theory perspective on sustainable practices across the dairy supply chain. Int. J. Prod. Econ. 2014, 152, 102–111. [Google Scholar] [CrossRef] [Green Version]
  16. Sawik, B. Selected multiple criteria supply chain optimization problems. Appl. Manag. Sci. 2020, 20, 31–58. [Google Scholar]
  17. Bernal, G.; Paola, J.; Mantilla, M.; Eduardo, C.; Castro, O.; Arturo, J. The sustainable supply chain: Concepts, optimization and simulation models, and trends. Ingeniería 2020, 25, 355–377. [Google Scholar] [CrossRef]
  18. Li, K.J.; Fong, D.K.H.; Xu, S.H. Managing trade-in programs based on product characteristics and customer heterogeneity in business-to-business markets. Manuf. Serv. Oper. Manag. 2011, 13, 108–123. [Google Scholar] [CrossRef]
  19. Zhang, F.Q.; Zhang, R.Y. Trade-in remanufacturing, customer purchasing behavior, and government policy. Manuf. Serv. Oper. Manag. 2018, 20, 601–616. [Google Scholar] [CrossRef]
  20. Xiao, Y.B.; Zhou, S.X. Trade-in for cash or for upgrade? Dynamic pricing with customer choice. Prod. Oper. Manag. 2020, 29, 856–881. [Google Scholar] [CrossRef]
  21. Li, Y.J.; Feng, L.P.; Govindan, K.; Xu, F.C. Effects of a secondary market on original equipment manufactures’ pricing, trade-in remanufacturing, and entry decisions. Eur. J. Oper. Res. 2019, 279, 751–766. [Google Scholar] [CrossRef]
  22. Zhu, X.X.; Wang, M.M.; Chen, G.F.; Chen, X.S. The effect of implementing trade-in strategy on duopoly competition. Eur. J. Oper. Res. 2016, 248, 856–868. [Google Scholar] [CrossRef]
  23. Liu, J.C.; Zhai, X.; Chen, L.H. Optimal pricing strategy under trade-in program in the presence of strategic consumers. Omega 2019, 84, 1–17. [Google Scholar] [CrossRef]
  24. Hu, S.; Ma, Z.J.; Sheu, J.B. Optimal prices and trade-in rebates for successive-generation products with strategic consumers and limited trade-in duration. Transp. Res. E Logist. Transp. Rev. 2019, 124, 92–107. [Google Scholar] [CrossRef]
  25. Lim, W.S.; Tang, C.S. Optimal product rollover strategies. Eur. J. Oper. Res. 2006, 174, 905–922. [Google Scholar] [CrossRef]
  26. Koca, E.; Souza, G.C.; Druehl, C.T. Managing product rollovers. Decis. Sci. 2010, 41, 403–423. [Google Scholar] [CrossRef]
  27. Liang, C.; Cakanyildirim, M.; Sethi, S.P. Can strategic customer behavior speed up product innovation? Prod. Oper. Manag. 2018, 27, 1516–1533. [Google Scholar] [CrossRef]
  28. Seref, M.M.H.; Carrillo, J.E.; Yenipazarli, A. Multi-generation pricing and timing decisions in new product development. Int. J. Prod. Res. 2016, 54, 1919–1937. [Google Scholar] [CrossRef]
  29. Liang, C.; Çakanyıldırım, M.; Sethi, S.P. Analysis of product rollover strategies in the presence of strategic customers. Manag. Sci. 2014, 60, 1033–1056. [Google Scholar] [CrossRef] [Green Version]
  30. Ye, T.F.; Wang, N.; Wang, N.X. Analysis on product rollover strategies: The innovation level perspective. Ind. Market. Manag. 2020, 88, 59–69. [Google Scholar] [CrossRef]
  31. Balasubramanian, S.; Bhattacharya, S.; Krishnan, V.V. Pricing information goods: A strategic analysis of the selling and pay-per-use mechanisms. Market. Sci. 2015, 34, 218–234. [Google Scholar] [CrossRef] [Green Version]
  32. Gilbert, S.M.; Randhawa, R.S.; Sun, H. Optimal per-use rentals and sales of durable products and their distinct roles in price discrimination. Prod. Oper. Manag. 2014, 23, 393–404. [Google Scholar] [CrossRef]
  33. Chiang, W.K.; Chhajed, D.; Hess, J.D. Direct marketing, indirect profits: A strategic analysis of dual-channel supply-chain design. Manag. Sci. 2003, 49, 1–20. [Google Scholar] [CrossRef] [Green Version]
  34. Li, K.; Zhou, T.; Liu, B.H. The comparison between selling and leasing for new and remanufactured products with quality level in the electric vehicle industry. J. Ind. Manag. Optim. 2021, 17, 1505–1529. [Google Scholar] [CrossRef] [Green Version]
  35. Sun, H.Y.; Zheng, H.Q.; Sun, X.Y.; Li, W. Customized investment decisions for new and remanufactured products supply chain based on 3D printing technology. Sustainability 2022, 14, 2502. [Google Scholar] [CrossRef]
  36. Wu, C.H. Product-design and pricing strategies with remanufacturing. Eur. J. Oper. Res. 2012, 222, 204–215. [Google Scholar] [CrossRef]
  37. Hu, H.; Zhang, Z.; Wu, Q.; Han, S. Manufacturer’s customer satisfaction incentive plan for duopoly retailers with Cournot or collusion games. Adv. Prod. Eng. Manag. 2020, 15, 345–357. [Google Scholar] [CrossRef]
  38. Arifoğlu, K.; Tang, C.S. A two-sided incentive program for coordinating the influenza vaccine supply chain. Manuf. Serv. Oper. Manag. 2022, 24, 235–255. [Google Scholar] [CrossRef]
  39. Rajput, R.; Venkataraman, S.V. A violent market price contract for agribusiness supply chain. Ann. Oper. Res. 2021. [Google Scholar] [CrossRef]
Figure 1. The model framework. (a) ON model; (b) VPN model.
Figure 1. The model framework. (a) ON model; (b) VPN model.
Jtaer 17 00045 g001
Figure 2. Decision timeline.
Figure 2. Decision timeline.
Jtaer 17 00045 g002
Figure 3. Consumers’ purchasing decisions in ON model.
Figure 3. Consumers’ purchasing decisions in ON model.
Jtaer 17 00045 g003
Figure 4. Consumers’ purchasing decision in VPN model.
Figure 4. Consumers’ purchasing decision in VPN model.
Jtaer 17 00045 g004
Figure 5. Impacts of main parameters on the optimal pricing strategy set { p 1 r M * , p 2 r M * , p m * }. (a) The impact of s on { p 1 r M * , p 2 r M * , p m * }; (b) The impact of α on { p 1 r M * , p 2 r M * , p m * }; (c) The impact of τ on { p 1 r M * , p 2 r M * , p m * }; (d) The impact of β on { p 1 r M * , p 2 r M * , p m * }.
Figure 5. Impacts of main parameters on the optimal pricing strategy set { p 1 r M * , p 2 r M * , p m * }. (a) The impact of s on { p 1 r M * , p 2 r M * , p m * }; (b) The impact of α on { p 1 r M * , p 2 r M * , p m * }; (c) The impact of τ on { p 1 r M * , p 2 r M * , p m * }; (d) The impact of β on { p 1 r M * , p 2 r M * , p m * }.
Jtaer 17 00045 g005
Figure 6. Impacts of improvement rate r on the pricing with two trade-in programs. (a) The impact of r on the pricing under ON model; (b) The impact of r on the pricing under VPN model.
Figure 6. Impacts of improvement rate r on the pricing with two trade-in programs. (a) The impact of r on the pricing under ON model; (b) The impact of r on the pricing under VPN model.
Jtaer 17 00045 g006
Figure 7. Impacts of remaining rate α and improvement rate r on optimal profits with two trade-in programs. (a) Impacts on the brand owner’s optimal profit; (b) Impacts on the e-commerce platform’s optimal profit.
Figure 7. Impacts of remaining rate α and improvement rate r on optimal profits with two trade-in programs. (a) Impacts on the brand owner’s optimal profit; (b) Impacts on the e-commerce platform’s optimal profit.
Jtaer 17 00045 g007
Figure 8. The dominant scenario of trade-in program (varying the trade-in and retail prices).
Figure 8. The dominant scenario of trade-in program (varying the trade-in and retail prices).
Jtaer 17 00045 g008
Table 1. Summary of notations.
Table 1. Summary of notations.
NotationDescription
The superscript
i i = { T , M } , denotes the ON and VPN model, respectively.
The brand owner’s decision variables
p 1 a i ( p 2 a i ) The brand owner’s agreement price at first-stage sales (second-stage sales).
The e-commerce platform’s decision variables
p 1 r i ( p 2 r i ) The e-commerce platform’s retail price at first-stage sales (second-stage sales).
p m The e-commerce platform’s VPN price at first-stage sales.
p t The e-commerce platform’s rebate price at second-stage sales.
Parameters
c 1 ( c 2 ) The brand owner’s unit production cost of current-generation products (new-generation products).
sThe e-commerce platform’s average net revenue per unit of old products recovered through ON and VPN programs.
v Customer   perceived   value   of   current - generation   products   at   first - stage   sales ,   subject   to   a   uniform   distribution ,   let   v ~ U ( 0 , 1 ) .
r Improvement   rate   of   consumer - perceived   value   of   new - generation   products   compared   to   previous - generation   products ;   that   is ,   the   customer - perceived   value   of   new - generation   products   is   v ( 1 + r ) ,   where   r > 0 .
α The   remaining   rate   of   customer - perceived   value   of   the   previous - generation   products   at   sec ond - stage   sales ;   that   is ,   the   initial   consumer s   perceived   value   of   the   previous - generation   products   at   sec ond - stage   sales   is   α v ,   where   α ( 0 , 1 ) .   The   higher   α value, the more durable the previous-generation products.
p o Recycling the price of old products at the second-hand market during the second-stage sales. Note that, in the ON model, the rebate price set by the e-commerce platform is significantly higher than the recycling price, otherwise the conditions for implementing the ON program are not available. Let po be given exogenously.
β The   value - preservation   rate   of   the   brand s   previous - generation   products ,   hence ,   β   can   be   expressed   as   β = p o / p 1 r i ,   β ( 0 , 1 ) .
τ Discount   factor   of   sec ond - stage   sales ,   τ ( 0 , 1 ) .
Functions
D 1 T The demand for current-generation products at first-stage sales.
D 2 o T The demand of initial consumers to trade-in for new-generation products with an ON program at second-stage sales.
D 2 n i The demand of new consumers to purchase new-generation products at second-stage sales.
D 1 j M ( D 1 n j M ) Demand for current-generation products with (without) a VPN program at first-stage sales.
D 2 o j M The demand of the initial consumers who had participated in a VPN program to trade-in for new-generation products at second-stage sales.
D 2 o n j M The demand of the initial consumers who did not participate in a VPN program to purchasing new-generation products again at second-stage sales.
π B i The brand owner’s profit.
π E i The e-commerce platform’s profit.
L E i The   Lagrangian   function   of   π E i .
Publisher’s Note: MDPI stays neutral with regard to jurisdictional claims in published maps and institutional affiliations.

Share and Cite

MDPI and ACS Style

Hu, Q.; Lou, T.; Li, J.; Zuo, W.; Chen, X.; Ma, L. New Practice of E-Commerce Platform: Evidence from Two Trade-In Programs. J. Theor. Appl. Electron. Commer. Res. 2022, 17, 875-892. https://doi.org/10.3390/jtaer17030045

AMA Style

Hu Q, Lou T, Li J, Zuo W, Chen X, Ma L. New Practice of E-Commerce Platform: Evidence from Two Trade-In Programs. Journal of Theoretical and Applied Electronic Commerce Research. 2022; 17(3):875-892. https://doi.org/10.3390/jtaer17030045

Chicago/Turabian Style

Hu, Qiang, Tingyuan Lou, Jicai Li, Wenjin Zuo, Xihui Chen, and Lindong Ma. 2022. "New Practice of E-Commerce Platform: Evidence from Two Trade-In Programs" Journal of Theoretical and Applied Electronic Commerce Research 17, no. 3: 875-892. https://doi.org/10.3390/jtaer17030045

APA Style

Hu, Q., Lou, T., Li, J., Zuo, W., Chen, X., & Ma, L. (2022). New Practice of E-Commerce Platform: Evidence from Two Trade-In Programs. Journal of Theoretical and Applied Electronic Commerce Research, 17(3), 875-892. https://doi.org/10.3390/jtaer17030045

Article Metrics

Back to TopTop