Next Article in Journal
Evolution of the Online Grocery Shopping Experience during the COVID-19 Pandemic: Empiric Study from Portugal
Next Article in Special Issue
A Loyalty System Incorporated with Blockchain and Call Auction
Previous Article in Journal
New Practice of E-Commerce Platform: Evidence from Two Trade-In Programs
Previous Article in Special Issue
Design of a Blockchain-Based Service Platform for Industrial Interconnection Supply and Demand Networks
 
 
Font Type:
Arial Georgia Verdana
Font Size:
Aa Aa Aa
Line Spacing:
Column Width:
Background:
Article

The Impact of Offline Service Effort Strategy on Sales Mode Selection in an E-Commerce Supply Chain with Showrooming Effect

1
School of Information Engineering, Shanghai Maritime University, Shanghai 201308, China
2
College of Arts and Sciences, Shanghai Maritime University, Shanghai 201308, China
*
Author to whom correspondence should be addressed.
J. Theor. Appl. Electron. Commer. Res. 2022, 17(3), 893-908; https://doi.org/10.3390/jtaer17030046
Submission received: 18 May 2022 / Revised: 17 June 2022 / Accepted: 20 June 2022 / Published: 24 June 2022
(This article belongs to the Special Issue Blockchain Commerce Ecosystem)

Abstract

:
In practice, several e-commerce platforms offering online channels not only act as resellers but also serve as the marketplace. However, the existing literature rarely explores the impact of the offline service effort strategy with the showrooming effect on the platform’s optimal sales mode. Considering a supply chain consisting of a manufacturer and a platform, we examine the interplay between the manufacturer’s offline service effort strategy and the platform’s online sales modes. We derive conditions under which each of the four scenarios (adopting the service effort strategy under the agency or reselling modes, not adopting the service effort strategy under the agency or reselling modes) emerges in equilibrium. Our results show that the service effort strategy with the showrooming effect can induce the platform’s sales mode selection. Specifically, when the referral fee is low and the showrooming effect is moderate, the platform may choose the agency mode instead of the reselling mode, while when the referral fee is sufficiently high and the showrooming effect is moderate, the platform may adopt the reselling mode instead of the agency mode. Furthermore, when the competition intensity and showrooming effect are sufficiently small, the service effort strategy will be beneficial to the manufacturer and the platform, creating a win-win situation. When the competition intensity or showrooming effect is sufficiently large, the service effort strategy may cause a prisoner’s dilemma for the manufacturer and the platform. In addition, the supply chain consisting of a manufacturer, an offline store and an online platform is also studied in the extension section, and we find that our main results are valid.

1. Introduction

Online retailing has experienced rapid growth in the past decade. According to Statista (2019), global online retail sales will reach $6.5 billion by 2023. In this trend, a growing number of consumers adopt online sales platforms such as Amazon and JD.com for shopping, and many manufacturers owning an offline channel start collaborating with these platforms to increase sales. In practice, these sales platforms could offer two sales modes to sell the products of manufacturers. One is the agency sales mode wherein the manufacturer needs to share a portion of the benefit with the platform. While the other is the reselling mode, under which the manufacturer wholesales products to the platform who then resells them to customers. The main difference between the two modes is who sets the retail price of the product [1].
While in reality, a large amount of evidence demonstrates that online retailing encroaches on the offline market due to convenience, which means that the popularity of online channels poses a challenge for traditional offline channels. In order to balance channel conflicts between online and offline channels and achieve the goal of profit maximization, some manufacturers choose to provide customers with additional customer services in traditional channels responding to the impact of online platforms [2]. For example, offline stores can stimulate demand by offering trial samples and educating consumers on how to use the product. Note that these sales efforts may not only increase sales offline but also affect the demand for online platforms because of the showrooming effect [3,4,5].
Considering the showrooming effect, the service effort strategy in offline channels may interact with the sales mode selection of online platforms. On one hand, service effort in offline channels always makes offline channels more attractive and then affects the competition between offline and online channels. On the other hand, the showrooming effect caused by the service may lead to a phenomenon in that consumers pay attention to target products in offline channels and shop online. Based on the above analysis, we could infer that in the presence of the showrooming effect, the service effort strategy and the sales mode selection are correlated. However, this relationship is ignored by the existing literature, although service effort strategy with showrooming effect and sales mode selection alone has attracted considerable research interest before.
Departing from the previous literature, we study the interplay between the service effort strategy with showrooming effect and sales mode selection. specifically, we attempt to fill this research gap by addressing the following problems. (1) Facing the sales mode selection of the online platform, should the manufacturer adopt service effort strategies in offline channels? (2) To cope with the adoption of service effort strategies offline, which sales model should be selected by the platform? (3) What factors influence the interaction between the service effort strategy and sales mode selection?
To conduct this study, we study a supply chain consisting of a manufacturer owning an offline physical store, and an online platform. The manufacturer sells its products through both the offline store and the online platform. The platform chooses to adopt either the agency-selling or reselling modes, whereas the manufacturer decides whether to adopt the offline service effort strategy. Thus, four possible scenarios are established in this paper. We further consider a supply chain including a manufacturer, an offline retailer, and an online platform in Section 6.
This paper makes several contributions as follows. First, to the best of our knowledge, our work is the first to examine the interaction between the service effort strategy and sales mode selection in the presence of the showrooming effect. In particular, this paper contributes to the platform’s sales mode selection literature by considering the service effort strategy with the showrooming effect. Second, this paper considers different operating costs offline and online and derives the equilibrium results, and finds that the cost differentiation has a certain impact on the equilibrium outcomes. Finally, several interesting results can be obtained in this paper. For example, the platform’s sales modes and the manufacturer’s service effort strategy influence each other and thus should be considered together.
The rest of this paper is organized as follows. Section 2 reviews the related literature. The model framework is described in Section 3. In Section 4, four scenarios are considered and we obtain the equilibrium outcomes of the four subgames. Section 5 analyzes and compares equilibrium prices and profits of four scenarios. In Section 6, we show one extension of the basic model. Section 7 presents the conclusion.

2. Literature Review

In the era of big data, an increasing number of scholars have studied supply chains from different perspectives [6,7,8,9,10,11]. Our work considers the impacts of the offline service effort strategy with the showrooming effect on the sales mode selection in an e-commerce supply chain. The relevant literature of this paper mainly includes three aspects: Service effort strategy, sales mode selection, and the showrooming effect.
The first stream of related literature concerns the service effort strategy. The offline store’s service effort strategy, such as sales promotion, advertising, and exhibition halls, could affect consumer demand. For example, Ref. [12] shows that through promotional efforts, the retailer can increase demand. Many scholars have explored the impact of the service effort strategy on the supply chain from different perspectives [13,14,15,16,17,18,19,20,21,22,23,24,25]. For example, Ref. [26] shows that the uncertainty degree of sales effort elasticity has an outstanding influence on the effort decision. Ref. [27] shows that when the service effort strategy has a great influence, buyback and sales feedback mechanisms can effectively coordinate the supply chain. Ref. [18] discusses the influence of the showrooming effect on pricing and service effort strategy in a dual-channel supply chain and finds that firms can gain the most benefits from ex-post service effort strategy. Most of the above papers assume that the chain members trade under the traditional reselling mode, which is different from our work. We focus on the influence of service effort strategy on the sales mode selection of online platforms. In the related literature on service effort strategy, the study closest to our work is [28], which, depending on who invests in service effort and which mode should be chosen between wholesale price contract and consignment contract in the offline channel, examines four scenarios in a dual-channel supply chain without showrooming effect and discusses the best operating mode. However, our study focuses on the adoption of service effort strategies of the manufacturer when the online platform makes sales mode selection between the agency or reselling modes, and further takes the impact of the showrooming effect on the equilibrium outcomes into account.
This paper also relates to the studies of sales mode selection, which have drawn widespread attention in the literature [1,29,30,31,32,33,34,35,36,37,38,39]. Several studies consider the case where the manufacturer chooses sales mode on the platform. For example, Ref. [39] discusses the sales mode selection of the manufacturer when the platform introduces a private brand, and finds that the private brand has an important influence on the manufacturer’s choice of sales mode. Other studies consider that the sales platform chooses the sales mode. For example, Ref. [40] studies how the order cost and competition intensity affect the sales mode selection of the platform, and finds that when the cost and competition intensity are moderate, the mixed-mode is the first choice. Though many extant papers discuss sale mode selection from various perspectives, these papers ignore the fact that offline service efforts may affect the platform’s sales mode selection. In this regard, our paper contributes to sales mode literature by considering the impact of offline service effort with showrooming effect on the sales mode selection of platforms.
The third stream of literature is related to the showing effect in the retailing business. The existing papers focus on the competition between offline and online channels based on the behavior of consumer free-riding showrooms [3,41,42,43,44,45,46,47]. For example, Ref. [41] examines the impact of the showrooming effect on the competition between online and offline retailers, and find that the online retailer’s return policy could reduce the showrooming effect and the competition. Ref. [48] studies the influence of the demonstration informativeness on pricing decisions under showrooming behavior, and find that showrooming behavior benefits the manufacturer and hurts the online retailer. Ref. [49] studies the strategic role of in-store service based on the showrooming effect, and find that improving the in-store service is ineffective in countering the consumer’s showrooming behavior. Although many extant papers discuss the competition between online and offline channels under the showrooming effect, none of them studies the impact of the service effort strategy with the showrooming effect on the sale mode selection. However, our work focuses on how the showrooming effect affects the impact of the service effort strategy on the sale mode selection for the platform, and generates several interesting results.

3. Model Framework

This paper considers an e-commerce supply chain including a leading manufacturer (denoted as M) and an online sales platform (denoted as P). The manufacturer with an offline store sells its products through online and offline channels. In the offline channel, the manufacturer sells through his physical store, which is a common management practice. In the online channel, the manufacturer can sell his products through the agency mode or the reselling mode on the online platform. When the platform chooses the agency mode, the manufacturer should pay a unit referral fee r ( 0 < r < 1 ) to the platform; when the platform chooses the reselling mode, the manufacturer sells his products to the platform at price w 2 , and then the platform resells them to customers. To respond to the online channel and take advantage of the offline channel, the manufacturer decides whether to adopt the service effort strategy (SES) in the offline channel. Therefore, this paper considers four scenarios, namely, the manufacturer does not adopt the service effort strategy under the agency mode (NA), the manufacturer adopts the service effort strategy under the agency mode (EA), the manufacturer does not adopt the service effort strategy under the reselling mode (NR), the manufacturer adopts the service effort strategy under the reselling mode (ER).
To obtain the demand function, we refer to the existing literature [16,18,50]:
d 1 = a Q p 1 + b p 2 + e ,
d 2 = ( 1 a ) Q p 2 + b p 1 + t e ,
where p 1 ( p 2 ) denotes the retail price of the offline (online) channel and Q represents the potential market size. The parameter a stands for the demand coefficient in the offline channel. a Q and ( 1 a ) Q are the market demand in the offline and online channels, respectively. For simplicity, we assume that Q = 1 [16,18]. Parameter b ( 0 < b < 1 ) represents the price elasticity coefficient [36]. With the increase of b, the competition between the two channels becomes more intense. Parameter t ( t > 0 ) represents the sensitivity coefficient of online demand to unit service effort of the offline channel (i.e., the showrooming effect coefficient). Parameter e represents the service effort level in the offline channel. Note that the manufacturer does not adopt the service effort strategy when e = 0 .
Following the literature [18,51], we assume that the cost of service effort equals to e 2 2 . Moreover, in practice, the sales cost of the offline channel is higher than that of the online channel. Thus, normalizing the sales cost of the online channel to zero, we assume that the sales cost of the offline channel is c, which also denotes the difference between the sales cost of the offline channel and the sales cost of the online channel. Without loss of generality and for analytical convenience, we follow [18,33,39] to normalize the production cost to zero, which could preserve the fundamental qualitative results in the problem.
As shown in Figure 1, the overall game consists of four stages. In the first stage, the sales platform decides which sales mode to adopt. In the second stage, the manufacturer decides whether to adopt the service effort strategy. In this stage, if the manufacturer adopts the service effort strategy, he will set the effort level. In the third stage, the manufacturer determines the retail price of the offline channel and the retail (wholesale) price of the online channel. In the fourth stage, the sales platform decides the retail price of the online channel under the reselling mode. Moreover, by backward induction, we use Mathematica 12.0 for calculation, comparative analysis and plotting, and will finally obtain the equilibrium outcome for the whole game.

4. Equilibrium Price and Service Effort Decisions

In this section, we consider the equilibrium solutions under four scenarios. The proofs are detailed in Appendix A.

4.1. Scenario NA

In scenario NA, the sales platform adopts the agency mode and the manufacturer does not choose the service effort strategy. The optimization problem can be expressed as:
π M N A = ( a p 1 + b p 2 ) ( p 1 c ) + ( 1 a p 2 + b p 1 ) ( 1 r ) p 2 ,
π P N A = ( 1 a p 2 + b p 1 ) r p 2 .
In this scenario, the manufacturer decides the retail prices p 1 and p 2 at the same time. Lemma 1 can be obtained as follows.
Lemma 1.
In scenario NA, the equilibrium results are:
p 1 N A * = 2 a + 2 b 2 a b + 2 c 2 b 2 c 2 a r 3 b r + 3 a b r 2 c r + b 2 c r + b r 2 a b r 2 4 4 b 2 4 r + 4 b 2 r b 2 r 2 ,
and
p 2 N A * = 2 2 a + 2 a b 2 r + 2 a r a b r b c r 4 4 b 2 4 r + 4 b 2 r b 2 r 2 .
Lemma 1 shows that given a referral fee, if the competition intensity exceeds a threshold, the retail prices of two channels will decrease with the sales cost. However, when the competition intensity is small, as the sales cost increases, the offline retail price increases, but the online retail price decreases. Note that in the agency mode, the assumption 4 4 b 2 4 r + 4 b 2 r b 2 r 2 > 0 should be satisfied, which ensures that the profit functions are concave.

4.2. Scenario EA

In scenario EA, the sales platform adopts the agency mode and the manufacturer uses the service effort strategy. The optimization problem can be expressed as:
π M E A = ( a p 1 + b p 2 + e ) ( p 1 c ) + ( 1 a p 2 + b p 1 + t e ) ( 1 r ) p 2 e 2 2 ,
π P E A = ( 1 a p 2 + b p 1 + t e ) r p 2 .
In this scenario, the manufacturer firstly decides the effort level e, and then decides the retail prices p 1 and p 2 . Lemma 2 can be obtained as follows.
Lemma 2.
In scenario EA, the equilibrium results are:
p 1 E A * = 2 a + 2 b 2 a b 2 b 2 c 2 a r 3 b r + 3 a b r + b 2 c r + b r 2 a b r 2 + t a t 3 b c t 2 r t + 2 a r t + 4 b c r t + r 2 t a r 2 t b c r 2 t a t 2 c t 2 + 2 a r t 2 + 2 c r t 2 a r 2 t 2 c r 2 t 2 2 4 b 2 2 r + 4 b 2 r b 2 r 2 4 b t + 6 b r t 2 b r 2 t 2 t 2 + 4 r t 2 2 r 2 t 2 ,
p 2 E A * = a 1 2 a b + b c + r a r + a b r a t + c t + a r t c r t 4 b 2 2 + 2 r 4 b 2 r + b 2 r 2 + 4 b t 6 b r t + 2 b r 2 t + 2 t 2 4 r t 2 + 2 r 2 t 2
and
e E A * = ( 1 r ) ( 2 a b 2 a 2 b + 2 c 2 b 2 c + b r a b r + b 2 c r 2 t + 2 a t 2 a b t + 2 r t 2 a r t + a b r t + b c r t ) 4 b 2 2 + 2 r 4 b 2 r + b 2 r 2 + 4 b t 6 b r t + 2 b r 2 t + 2 t 2 4 r t 2 + 2 r 2 t 2 .
Lemma 2 shows the equilibrium results of scenario EA. It is shown that when the showrooming effect is large enough (i.e., t > 1 1 r ), the manufacturer will increase its service effort level as the sales cost increases.

4.3. Scenario NR

In scenario NR, the sales platform adopts the reselling mode and the manufacturer does not use the service effort strategy. The optimization problem can be expressed as:
π M N R = ( a p 1 + b p 2 ) ( p 1 c ) + ( 1 a p 2 + b p 1 ) w 2 ,
π P N R = ( 1 a p 2 + b p 1 ) ( p 2 w 2 ) .
In this scenario, the manufacturer first decides the prices p 1 and w 2 , and then the platform sets the retail price p 2 . Lemma 3 can be obtained as follows.
Lemma 3.
In scenario NR, the equilibrium results are:
p 1 N R * = a + b a b + c b 2 c 2 ( 1 b ) ( 1 + b ) ,
p 2 N R * = 3 3 a + 2 a b b 2 + a b 2 + b c b 3 c 4 ( 1 b ) ( 1 + b ) ,
and
w 2 N R * = 1 a + a b 2 ( 1 b ) ( 1 + b ) .
Lemma 3 implies that the sales cost has a positive relationship with the retail prices. As the sales cost of the offline channel increases, the retail price of the offline channel increases, and then the platform raises its online retail price to increase profit. Interestingly, the manufacturer’s wholesale price has nothing to do with the cost, but with the channel competition.

4.4. Scenario ER

In scenario ER, the sales platform adopts the reselling mode and the manufacturer adopts the service effort strategy. The optimization problem can be expressed as:
π M E R = ( a p 1 + b p 2 + e ) ( p 1 c ) + ( 1 a p 2 + b p 1 + t e ) w 2 e 2 2 ,
π P E R = ( 1 a p 2 + b p 1 + t e ) ( p 2 w 2 ) .
In this scenario, the manufacturer first decides the effort level e, and then sets the prices p 1 and w 2 . Finally, the platform sets the retail price p 2 . Lemma 4 can be obtained as follows.
Lemma 4.
In scenario ER, the equilibrium results are:
p 1 E R * = 4 a b 4 a 4 b + 4 b 2 c t + a t + 7 b c t + a t 2 + c t 2 + 2 b 2 c t 2 2 ( 4 b 2 2 + 4 b t + t 2 + b 2 t 2 ) ,
w 2 E R * = 2 a 2 4 a b + 2 b c 2 a t + b t a b t + 2 c t + b 2 c t a b t 2 + b c t 2 2 ( 4 b 2 2 + 4 b t + t 2 + b 2 t 2 ) ,
p 2 E R * = 3 3 a + 4 a b 2 b 2 + 2 a b 2 b c 2 b 3 c + 3 a t 2 b t + 2 a b t 3 c t 2 b 2 c t + 2 a b t 2 2 b c t 2 2 ( 2 4 b 2 4 b t t 2 b 2 t 2 ) ,
and
e E R * = 2 a b 2 a 2 b + 2 c 2 b 2 c t + a t 2 a b t b 2 t + a b 2 t + b c t b 3 c t 4 b 2 2 + 4 b t + t 2 + b 2 t 2 .
Lemma 4 shows that the market demand of the offline channel and the sales cost have a certain impact on the manufacturer’s effort level. As the parameter a increases, the effort level will improve. When the competition and the showrooming effect are not large enough, the service effort level decreases with the sales cost.

5. Comparative Analysis

Having analyzed the equilibrium price and service effort decisions of four subgames, we next examine the impact of service effort strategy on firms’ profits and further derive the equilibrium outcomes of the whole game. Before we proceed, we present the impact of the service effort strategy on the equilibrium prices.
Proposition 1.
(1) When the platform adopts the agency mode, if t < t 1 and b < b 1 | t = 0 , p 1 E A * > p 1 N A * , p 2 E A * > p 2 N A * ; otherwise, p 1 N A * > p 1 E A * , p 2 N A * > p 2 E A * . (2) When the platform adopts the reselling mode, if t < t 2 and b < b 2 | t = 0 , p 1 E R * > p 1 N R * , p 2 E R * > p 2 N R * , w 2 E R * > w 2 N R * ; otherwise, p 1 N R * > p 1 E R * , p 2 N R * > p 2 E R * , w 2 N R * > w 2 E R * .
Proposition 1 shows that regardless of sales modes, when the channel competition and the showrooming effect are relatively small, the service effort strategy will increase the retail and wholesale prices; otherwise, the service effort strategy will reduce the wholesale price and retail prices. Intuitively, when the channel competition and the showrooming effect are small, the service effort strategy could effectively improve offline demand but have little impact on online demand. In this situation, adopting the service effort strategy could raise the sales cost of the offline channel, and thus the manufacturer will increase the retail price in the offline channel and the online retail price will also be improved due to the competition. However, when the showrooming effect or the channel competition coefficient is large, the competition between online and offline is fierce. At this time, the service effort strategy will further strengthen the competition, and finally, reduce the wholesale and retail prices (see Figure 2).
Next, by comparing the profits of the manufacturer in different scenarios, we find that the adoption of service effort strategy depends on the competition intensity and the showrooming effect, which is summarized in the following proposition.
Proposition 2.
(1) when t < m i n { t 1 , t 2 } and b < m i n { b 1 , b 2 } , the manufacturer always chooses the service effort strategy. (2) If t > m a x { t 1 , t 2 } and b > m a x { b 1 , b 2 } , the manufacturer will not adopt the service effort strategy. (3) When m i n { t 1 , t 2 } < t < m a x { t 1 , t 2 } and m i n { b 1 , b 2 } < b < m a x { b 1 , b 2 } , the adoption of the service effort strategy depends on the sales mode.
Proposition 2 shows the manufacturer’s service effort strategy. Regardless of sales modes, when the competition intensity and showrooming effect are relatively small, the manufacturer will always choose the service effort strategy; when the competition intensity or showrooming effect is relatively large, the manufacturer will not adopt the service effort strategy. This result is in line with our intuitive sense. Furthermore, interestingly, it is shown that when the competition intensity or showrooming effect is moderate, the manufacturer’s service effort strategy is influenced by sales modes. Specifically, when the competition intensity is low and the showrooming effect utility is sufficiently large, the manufacturer will adopt the service effort strategy in the reselling mode but will not adopt the service effort strategy in the agency mode; when the competition intensity is sufficiently large and the showrooming effect is relatively small, the manufacturer will not adopt the service effort strategy in the reselling mode but will adopt the service effort strategy in the agency mode. From Proposition 2, we can infer that the manufacturer should consider not only the competition intensity and showrooming effect but also the platform’s sales mode selection when choosing the service effort strategy.
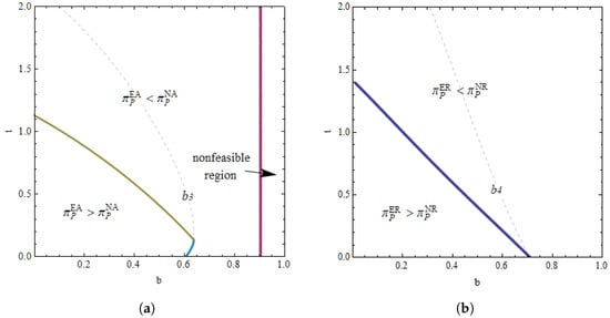
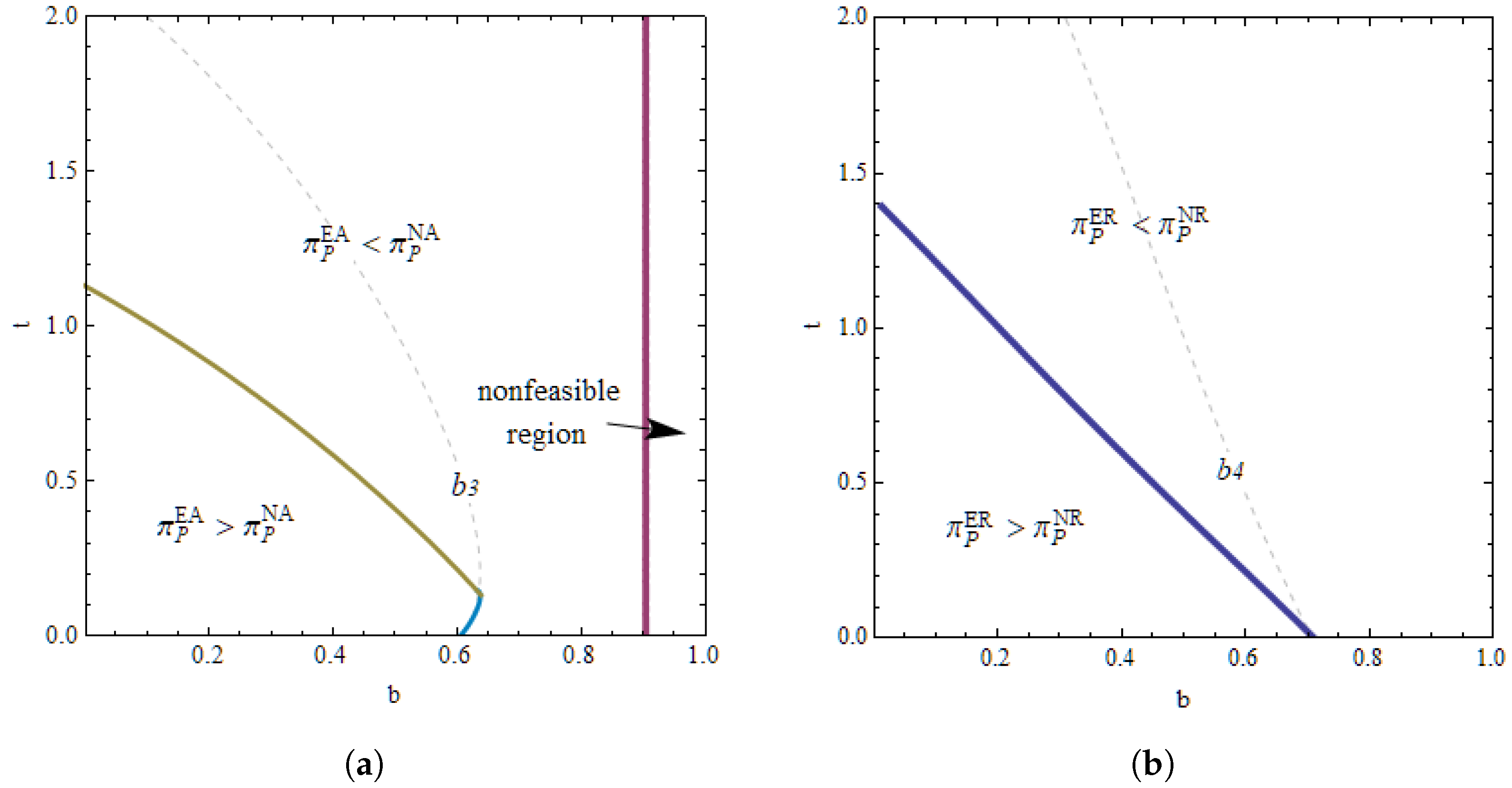
Proposition 3.
By comparing the profits of the platform under the four scenarios, we obtain the following equilibrium results. (1) If t < t 1 and b < m i n { b 1 , b 3 } , π P E A * > π P N A * ; otherwise, π P E A * < π P N A * . (2) If t < t 2 and b < m i n { b 2 , b 4 } , π P E R * > π P N R * ; otherwise, π P E R * < π P N R * .
Figure 3 further illustrates the impacts of the manufacturer’s service effort strategy on the platform’s profits. Conventional wisdom might suggest that sales efforts in offline channels will reduce online demand and therefore decrease the profit of the platform. However, one interesting result shows that regardless of sales modes, the platform may benefit from the service effort strategy in offline channels. Specifically, when competition intensity or showrooming effect is large, the manufacturer’s service effort strategy will further increase the competition between offline and offline products, thus damaging the platform’s profit. However, when competition intensity and showrooming effect are small, the manufacturer’s service effort strategy has little impact on competition but increases online sales due to the showrooming effect, and therefore the platform gain more.
Furthermore, combining Propositions 2 and 3, we find that when competition intensity and showrooming effect are sufficiently small, the service effort strategy could increase the profits of the manufacturer and platform at the same time, leading to a win-win situation. However, when the competition intensity or the showrooming effect is sufficiently large, the service effort strategy makes them fall into a lose-lose situation. Next, we will explore the impact of service effort strategy on the profit of the entire supply chain, which is summarized in the following proposition.
Proposition 4.
By comparing the profits of the whole supply chain (SC) under the four scenarios, we obtain the following equilibrium results. (1) When the platform adopts the agency mode, if t < t 1 and b < m i n { b 1 , b 5 } , π S C E A * > π S C N A * ; otherwise, π S C E A * < π S C N A * . (2) When the platform adopts the reselling mode, if t < t 2 and b < m i n { b 2 , b 6 } , π S C E R * > π S C N R * ; otherwise, π S C N R * > π S C E R * .
Figure 4 further illustrates the impacts of the manufacturer’s service effort strategy on the profits of the whole supply chain. When competition intensity and showrooming effect are sufficiently small, the service effort strategy could increase the profit of the whole supply chain; When competition intensity or showrooming effect is sufficiently large, the service effort strategy could hurt the profit of the whole supply chain; otherwise, the supply chain’s profit is affected by the sales mode. Therefore, in order to increase the profits of the whole supply chain, we should fully consider the interaction between the service effort strategy of the manufacturer and the sales mode selection of the platform.
To find the equilibrium solution to the whole game, we use backward induction to solve this question. By comparing the profits of the platform under different scenarios, we get the equilibrium solution of the whole game, as shown in Proposition 5.
Proposition 5.
(1) when t < m i n { t 1 , t 2 } and b < m i n { b 1 , b 2 } , if F 1 > 0 , scenario EA is the equilibrium outcome; if F 1 < 0 , scenario ER is the equilibrium outcome. (2) when t > m a x { t 1 , t 2 } and b > m a x { b 1 , b 2 } , if F 2 > 0 , scenario NA is the equilibrium outcome; if F 2 < 0 , scenario NR is the equilibrium outcome. (3) When m i n { t 1 , t 2 } < t < m a x { t 1 , t 2 } and m i n { b 1 , b 2 } < b < m a x { b 1 , b 2 } , the equilibrium outcome depends on the combined effect of the demand coefficient, the referral fees, and the sales cost.
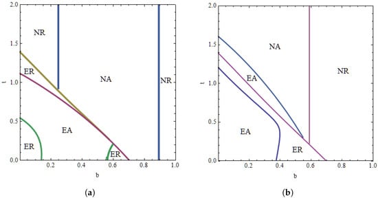
Proposition 5 shows the equilibrium outcome of the whole game. When the competition intensity and the showrooming effect are relatively small, the manufacturer will always adopt the service effort strategy, and the platform’s sales mode selection is affected by the platform’s referral fee and sales cost; when the competition intensity or the showrooming effect is relatively large, the manufacturer will not adopt the service effort strategy, and the sales mode selection of the platform is affected by the referral fee; otherwise, the equilibrium result is affected by the combined effect of these parameters. The underlying logic of the game result is the change of the competition effect caused by the showrooming effect and the double marginalization effect. Note that there is no fixed equilibrium result when competition intensity and showrooming effect are moderate. At this time, the equilibrium result depends on the demand coefficient, the referral fees, and the sales cost.
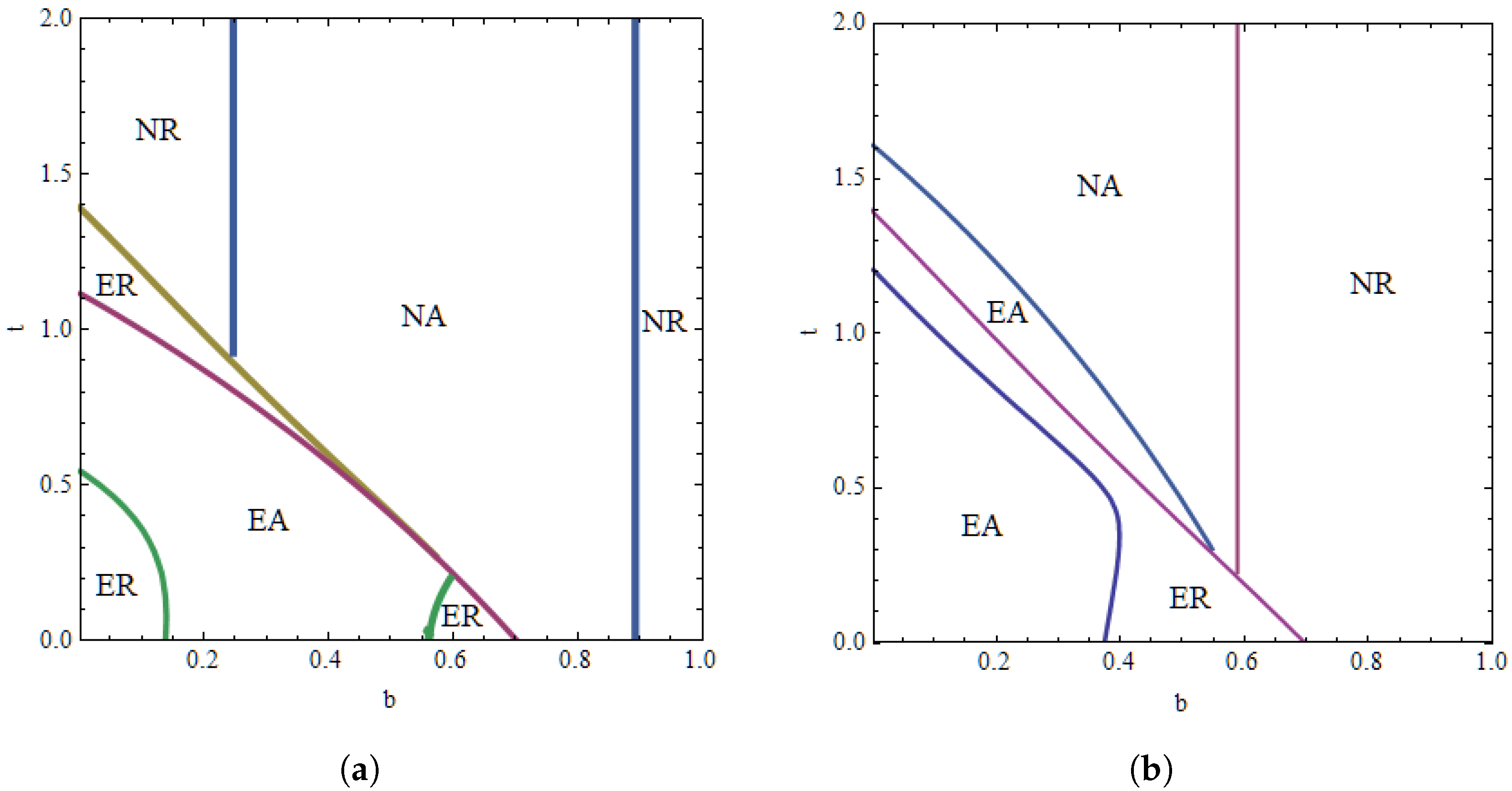
Furthermore, we employ a numerical study to analyze the impact of the referral fees on equilibrium results. Setting a = 0.5 , c = 0.1 , we can obtain the equilibrium outcome of the whole game, which is shown in Figure 5. When the platform’s referral fee is small and the manufacturer adopts the service effort strategy, if the competitive intensity coefficient or the showrooming effect is moderate, the platform will adopt the agency mode; otherwise, the platform will prefer the reselling mode. When the platform’s referral fee is high and the manufacturer adopts the service effort strategy, if the competition intensity is high or the showroom effect is moderate, the platform will adopt the reselling mode; otherwise, the platform will prefer the agency mode. In addition, we find that with the increase of the fee r, the manufacturer favors to adopt the service effort strategy, and the platform prefers to adopt agency mode.

6. Extension

This part considers an extension of the base model by assuming that the manufacturer and the offline store operate separately. Following [28], we also consider the manufacturer (the store) can make a decision regarding the adoption of service effort strategy. By using the standard method in the baseline model, we can get the equilibrium result and find the proposition below.
Proposition 6.
The main results are robust when the manufacturer and the offline store operate separately.
Proposition 6 states that when the manufacturer and the store do not cooperate, our main results remain qualitatively unchanged. Specifically, offline service effort may benefit the manufacturer, offline store, and the online platform at the same time, which creates a win-win-win situation. When the showrooming effect or channel competition is sufficiently large, neither the manufacturer nor the offline store will adopt the service effort strategy. In addition, the manufacturer’s service effort strategy can induce the sales mode selection of the platform. These findings provide useful insights for the platform (manufacturer) in making decisions regarding sales mode selection (service effort strategy).

7. Discussion and Conclusions

In this paper, we investigate the impact of service effort strategy with showrooming effect on the platform’s sales mode selection, which has been ignored in the literature. More specifically, we consider an e-commerce supply chain consisting of an online sales platform and a leading manufacturer who operates an offline store. The manufacturer sells products through both the offline store and the platform. The platform decides which sales mode to adopt, while the manufacturer decides whether to adopt the service effort strategy in the offline channel. Thus, four scenarios are considered in this paper. In addition, we further study the case where the manufacturer sells products to the offline store who then resells them to customers (i.e., manufacturer and offline store are not integrated) in the extension section.
Consumers nowadays search for goods in offline stores before buying them online, which leads to offline stores becoming showrooms for online platforms. One might imagine that the showrooming effect is favored by online platforms [2,52,53]. For example, Ref. [44] show that the free riding (the showrooming effect) can benefit both online retailers and platforms. However, we find that when the showrooming effect is sufficiently high, the service effort strategy with the showrooming effect may hurt both the offline manufacturer and the online platform.
Generally speaking, when the referral fee of the e-commerce platform is low, the platform prefers to adopt the reselling mode rather than the agency mode, which has been shown in much literature [1,35,39]. However, our results suggest that when the referral fee is low and the showrooming effect is moderate, the platform may adopt the agency mode instead of the reselling mode. Therefore, the platform should fully consider the sales service strategy and the showrooming effect when choosing the sales mode.
The main conclusions are summarized as follows. First, when the showrooming effect or channel competition is sufficiently large, the manufacturer will not adopt the service effort strategy in offline channels. However, when both the showrooming effect and channel competition are sufficiently small, the manufacturer chooses to adopt service effort strategy, which may lead to a win-win situation for the manufacturer and platform. Second, considering the showrooming effect, offline service effort strategies benefit the platform and the entire supply chain due to increased demand. Third, we obtain the equilibrium result of the game, which shows that service effort strategy has an important influence on the choice of the platform’s sales modes. For example, when the referral fee and channel competition are small, the manufacturer’s service effort strategy may induce the platform to adopt the agency mode due to the showrooming effect and competition effect. Moreover, we also extend the basic mode to the case where the manufacturer and offline store are not integrated, and find that our main results are valid. Therefore, the platforms (manufacturers) should consider the offline service effort strategy (sales mode selection) when considering sales mode selection (service effort strategy).
Based on the analysis above, several managerial insights could be obtained. First, the offline service effort strategy with the showrooming effect could induce the platform to choose a suitable sales format. Therefore, e-commerce platforms need to fully consider the showrooming effect and the offline sales service effort strategy when making decisions regarding sales modes. Second, when manufacturers make service effort strategy decisions, their service level is affected by the demand coefficient in the offline channel. As the demand increases, the manufacturer should set a higher service level. Third, when the competition between two channels or the showrooming effect is sufficiently high, the manufacturer may not engage in service efforts because his efforts may make the competition more intense, which hurts the profits of the manufacturer and the retailer. When the competition coefficient and the showrooming effect are sufficiently low, the manufacturer may make service efforts to increase online and offline demand. These results could provide some guidance for the manufacturer (or offline retailer) to make decisions regarding the service effort strategy.
This paper can be extended in several ways. First, our study assumes that the production cost equals to zero, and could be extended to consider the impact of production cost on equilibrium outcomes. Second, this paper only considers the case of one manufacturer in the supply chain, so we can consider the case of multiple competing manufacturers. Third, several technological methods such as blockchain may affect the impact of the service effort strategy on the sales mode selection, which could also be considered in the future. Finally, in our main model, the referral fee of the agency channel is exogenous and could be considered as a decision variable in future research.

Author Contributions

Conceptualization, T.C.; methodology, X.W.; software, X.W.; writing—original draft preparation, X.W.; writing—review and editing, X.W. All authors have read and agreed to the published version of the manuscript.

Funding

This research received no external funding.

Institutional Review Board Statement

Not applicable.

Data Availability Statement

Not applicable.

Conflicts of Interest

The authors declare no conflict of interest.

Abbreviations

The following abbreviations are used in this manuscript:
PPlatform
MManufacturer
SESService Effort Strategy

Appendix A

Proof of Lemma 1.
Using the Equation (3), the Hessian matrix H 1 of π M N A to p 1 and p 2 is
H 1 = 2 b ( 2 r ) b ( 2 r ) 2 ( r 1 ) .
Thus, | H 1 | = 4 4 b 2 4 r + 4 b 2 r b 2 r 2 and 2 π M N A p 1 2 = 2 < 0 . We assume that 4 4 b 2 4 r + 4 b 2 r b 2 r 2 > 0 , so π M N A is strictly concave in p 1 and p 2 . Then from π M N A p 1 = 0 and π M N A p 2 = 0 , we get p 1 N A * = 2 a + 2 b 2 a b + 2 c 2 b 2 c 2 a r 3 b r + 3 a b r 2 c r + b 2 c r + b r 2 a b r 2 4 4 b 2 4 r + 4 b 2 r b 2 r 2 , and p 2 N A * = 2 2 a + 2 a b 2 r + 2 a r a b r b c r 4 4 b 2 4 r + 4 b 2 r b 2 r 2 .  □
Proof of Lemma 2.
Using the Equation (5), the Hessian matrix H 2 of π M E A to p 1 and p 2 is
H 2 = 2 b ( 2 r ) b ( 2 r ) 2 ( r 1 ) .
Thus, | H 2 | = 4 4 b 2 4 r + 4 b 2 r b 2 r 2 and 2 π M E A p 1 2 = 2 < 0 . We assume that 4 4 b 2 4 r + 4 b 2 r b 2 r 2 > 0 , so π M E A is strictly concave in p 1 and p 2 . Then from π M E A p 1 = 0 and π M E A p 2 = 0 , we get p 1 = 2 a + 2 b 2 a b + 2 c 2 b 2 c + 2 e 2 a r 3 b r + 3 a b r 2 c r + b 2 c r 2 e r + b r 2 a b r 2 + 2 b e t 3 b e r t + b e r 2 t 4 4 b 2 4 r + 4 b 2 r b 2 r 2 , and p 2 = 2 2 a + 2 a b + 2 b e 2 r + 2 a r a b r b c r b e r + 2 e t 2 e r t 4 4 b 2 4 r + 4 b 2 r b 2 r 2 . Then from π M E A e = 0 , we obtain e E A * = ( 1 r ) ( 2 a b 2 a 2 b + 2 c 2 b 2 c + b r a b r + b 2 c r 2 t + 2 a t 2 a b t + 2 r t 2 a r t + a b r t + b c r t ) 4 b 2 2 + 2 r 4 b 2 r + b 2 r 2 + 4 b t 6 b r t + 2 b r 2 t + 2 t 2 4 r t 2 + 2 r 2 t 2 . By substituting e E A * into p 1 and p 2 , we can get Lemma 2.  □
Proof of Lemma 3.
Using the Equation (8), we have 2 π P N R p 2 2 = 2 < 0 , which indicates that π P N R is concave in p 2 . Then from π P N R p 2 = 0 , we obtain p 2 = ( 1 a + b p 1 + w 2 ) 2 .
Using the Equation (7), the Hessian matrix H 3 of π M N R to p 1 and w 2 is
H 3 = 2 + b 2 b b 1 .
Because | H 3 | = 2 ( 1 b ) ( 1 + b ) > 0 and 2 π M N R p 1 2 = 2 + b 2 < 0 , π M N R is strictly concave in p 1 and w 2 . Then from π M N R p 1 = 0 and π M N R w 2 = 0 , we get p 1 N R * = a + b a b + c b 2 c 2 ( 1 b ) ( 1 + b ) and w 2 N R * = 1 a + a b 2 ( 1 b ) ( 1 + b ) . By substituting p 1 N R * and w 2 N R * into p 2 , we can get Lemma 3.  □
Proof of Lemma 4.
Using the Equation (10), we have 2 π P E R p 2 2 = 2 < 0 , which indicates that π P E R is concave in p 2 . Then from π P E R p 2 = 0 , we obtain p 2 = ( 1 a + b p 1 + e t + w 2 ) 2 .
Using the Equation (9), the Hessian matrix H 4 of π M E R to p 1 and w 2 is
H 4 = 2 + b 2 b b 1 .
Because | H 4 | = 2 ( 1 b ) ( 1 + b ) > 0 and 2 π M E R p 1 2 = 2 + b 2 < 0 , π M E R is strictly concave in p 1 and w 2 . Then from π M E R p 1 = 0 and π M E R w 2 = 0 , we get p 1 = a + b a b + c b 2 c + e + b e t 2 ( 1 b ) ( 1 + b ) and w 2 = 1 a + a b + b e + e t 2 ( 1 b ) ( 1 + b ) . Then from π M E R e = 0 , we obtain e E R * = 2 a + 2 b 2 a b 2 c + 2 b 2 c + t a t + 2 a b t + b 2 t a b 2 t b c t + b 3 c t 2 4 b 2 4 b t t 2 b 2 t 2 . By substituting e E R * into p 1 , p 2 and w 2 , we can get Lemma 4.  □

Appendix B

Proof of Proposition 1.
By comparison, we have:
p 1 E A * p 1 N A * = ( 1 r ) 2 ( b r t 2 2 b t ) M 1 4 4 b 2 4 r + 4 b 2 r b 2 r 2 ;
p 2 E A * p 2 N A * = ( 1 r ) ( b r 2 b 2 t + 2 r t ) M 1 4 4 b 2 4 r + 4 b 2 r b 2 r 2 ;
p 1 E R * p 1 N R * = ( 2 b + 3 t b 2 t ) M 2 2 ( 1 b ) ( 1 + b ) ;
p 2 E R * p 2 N R * = ( 1 + b t ) M 2 4 ( 1 b ) ( 1 + b ) ;
w 2 E R * w 2 N R * = ( b + t ) M 2 2 ( 1 b ) ( 1 + b ) ,
where
M 1 = 2 a b 2 a 2 b + 2 c 2 b 2 c + b r a b r + b 2 c r 2 t + 2 a t 2 a b t + 2 r t 2 a r t + a b r t + b c r t 4 b 2 2 + 2 r 4 b 2 r + b 2 r 2 + 4 b t 6 b r t + 2 b r 2 t + 2 t 2 4 r t 2 + 2 r 2 t 2 ,
M 2 = 2 a + 2 b 2 a b 2 c + 2 b 2 c + t a t + 2 a b t + b 2 t a b 2 t b c t + b 3 c t 4 b 2 2 + 4 b t + t 2 + b 2 t 2 .
Thus, when the platform adopts the agency mode, if M 1 > 0 , p 1 E A * > p 1 N A * , p 2 E A * > p 2 N A * ; if M 1 < 0 , p 1 N A * > p 1 E A * , p 2 N A * > p 2 E A * . When the P adopts the reselling mode, if M 2 < 0 , p 1 E R * > p 1 N R * , p 2 E R * > p 2 N R * , w 2 E R * > w 2 N R * ; if M 2 > 0 , p 1 N R * > p 1 E R * , p 2 N R * > p 2 E R * , w 2 N R * > w 2 E R * .
By simplification, we obtain the necessary and sufficient conditions for M 1 > 0 :
t < t 1 = 4 4 b 2 12 r + 12 b 2 r + 12 r 2 13 b 2 r 2 4 r 3 + 6 b 2 r 3 b 2 r 4 2 b + 3 b r b r 2 2 ( 1 2 r + r 2 )
or
b < b 1 = ( 2 r ) 2 ( 1 r ) ( 2 t 2 + r t 2 ) 2 t + 3 r t r 2 t ( 2 r ) 2 .
The necessary and sufficient conditions for M 2 < 0 : t < t 2 = 2 + 2 b 2 4 b 4 2 b 1 + b 2 or b < b 2 = 8 + 2 t 2 t 4 2 t 4 + t 2 .  □
Proof of Proposition 2.
Similar to the Proof of Proposition 1, the proof of Proposition 2 is omitted here.  □
Proof of Proposition 3.
Similar to the Proof of Proposition 1, the proof of Proposition 3 is omitted here. Note that there are two meaningful roots of the equation π P E A * π P N A * = 0 , and we assume b 3 is the lower one. From the equation π P E R * π P N R * = 0 , we can get the only meaningful root b 4 . Due to the complexity of expression, we put b 3 and b 4 in Figure 3 in the numerical study.  □
Proof of Proposition 4.
Similar to the Proof of Proposition 1, the proof of Proposition 4 is omitted here. Note that there are two meaningful roots of the equation π S E A * C π S N A * C = 0 , and we assume b 5 is the lower one. b 6 can be obtained in the same way. Due to the complexity of expression, we omit these expressions.  □
Proof of Proposition 5.
Similar to the Proof of Proposition 1, the proof of Proposition 5 is omitted here. Note that F 1 = π P E A * π P E R * , and F 2 = π P N A * π P N R * .  □

References

  1. Abhishek, V.; Jerath, K.; Zhang, Z.J. Agency selling or reselling? Channel structures in electronic retailing. Manag. Sci. 2016, 62, 2259–2280. [Google Scholar] [CrossRef] [Green Version]
  2. Bell, D.R.; Gallino, S.; Moreno, A. Offline showrooms in omnichannel retail: Demand and operational benefits. Manag. Sci. 2018, 64, 1629–1651. [Google Scholar] [CrossRef]
  3. Balakrishnan, A.; Sundaresan, S.; Zhang, B. Browse-and-switch: Retail-online competition under value uncertainty. Prod. Oper. 2014, 23, 1129–1145. [Google Scholar] [CrossRef]
  4. Rapp, A.; Baker, T.L.; Bachrach, D.G.; Ogilvie, J.; Beitelspacher, L.S. Perceived customer showrooming behavior and the effect on retail salesperson self-efficacy and performance. J. Retail. 2015, 91, 358–369. [Google Scholar] [CrossRef]
  5. Zimmerman, A. Can retailers halt ‘showrooming’. Wall Street J. 2012, 259, B1–B8. [Google Scholar]
  6. Abbate, T.; Vecco, M.; Vermiglio, C.; Zarone, V.; Perano, M. Blockchain and art market: Resistance or adoption? Consum. Mark. Cult. 2022, 25, 105–123. [Google Scholar] [CrossRef]
  7. Cammarano, A.; Perano, M.; Michelino, F.; Regno, C.D.; Caputo, M. Sdg-oriented supply chains: Business practices for procurement and distribution. Sustainability 2022, 14, 1325. [Google Scholar] [CrossRef]
  8. Giudice, M.D.; Chierici, R.; Mazzucchelli, A.; Fiano, F. Supply chain management in the era of circular economy: The moderating effect of big data. Int. J. Logist. Manag. 2020, 32, 337–356. [Google Scholar] [CrossRef]
  9. Hammi, B.; Zeadally, S.; Adja, Y.C.E.; Giudice, M.D.; Nebhen, J. Blockchain-based solution for detecting and preventing fake check scams. IEEE Trans. Eng. Manag. 2021, 1–16. [Google Scholar] [CrossRef]
  10. Mital, M.; Giudice, M.D.; Papa, A. Comparing supply chain risks for multiple product categories with cognitive mapping and analytic hierarchy process. Technol. Forecast. Soc. Change 2018, 131, 159–170. [Google Scholar] [CrossRef]
  11. Quattrociocchi, B.; Mercuri, F.; Perano, M.; Calabrese, M. Tourism supply chain & strategic partnerships for managing the complexity in tourism industry. Enlightening Tour. Pathmaking J. 2017, 7, 62–93. [Google Scholar]
  12. Bai, Q.; Chen, M.; Xu, L. Revenue and promotional cost-sharing contract versus two-part tariff contract in coordinating sustainable supply chain systems with deteriorating items. Int. J. Prod. 2017, 187, 85–101. [Google Scholar] [CrossRef]
  13. Cachon, G.P.; Lariviere, M.A. Supply chain coordination with revenue-sharing contracts: Strengths and limitations. Manag. Sci. 2005, 51, 30–44. [Google Scholar] [CrossRef] [Green Version]
  14. Chen, Y.C.; Fang, S.-C.; Wen, U.-P. Pricing policies for substitutable products in a supply chain with internet and traditional channels. Eur. J. Oper. Res. 2013, 224, 542–551. [Google Scholar] [CrossRef]
  15. Chiu, H.-C.; Hsieh, Y.-C.; Roan, J.; Tseng, K.-J.; Hsieh, J.-K. The challenge for multichannel services: Cross-channel free-riding behavior. Electron. Commer. Res. Appl. 2011, 10, 268–277. [Google Scholar] [CrossRef]
  16. Dan, B.; Xu, G.; Liu, C. Pricing policies in a dual-channel supply chain with retail services. Int. J. Prod. Econ. 2012, 139, 312–320. [Google Scholar] [CrossRef]
  17. Krishnan, H.; Kapuscinski, R.; Butz, D.A. Quick response and retailer effort. Manag. Sci. 2010, 56, 962–977. [Google Scholar] [CrossRef]
  18. Li, G.; Li, L.; Sun, J. Pricing and service effort strategy in a dual-channel supply chain with showrooming effect. Transp. Res. Part E Logist. Transp. Rev. 2019, 126, 32–48. [Google Scholar] [CrossRef]
  19. Liu, W.; Wang, Q.; Mao, Q.; Wang, S.; Zhu, D. A scheduling model of logistics service supply chain based on the mass customization service and uncertainty of flsp’s operation time. Transp. Res. Part E Logist. Transp. Rev. 2015, 83, 189–215. [Google Scholar] [CrossRef]
  20. Sadjadi, S.J.; Asadi, H.; Sadeghian, R.; Sahebi, H. Retailer stackelberg game in a supply chain with pricing and service decisions and simple price discount contract. PLoS ONE 2018, 13, e0195109. [Google Scholar] [CrossRef]
  21. Sarkar, A.; Pal, B. Competitive pricing strategies of multi channel supply chain under direct servicing by the manufacturer. RAIRO Oper. Res. 2021, 55, S1849–S1873. [Google Scholar] [CrossRef]
  22. Taylor, T.A. Supply chain coordination under channel rebates with sales effort effects. Manag. Sci. 2002, 48, 992–1007. [Google Scholar] [CrossRef] [Green Version]
  23. Tsao, Y.-C.; Sheen, G.-J. Effects of promotion cost sharing policy with the sales learning curve on supply chain coordination. Comput. Oper. Res. 2012, 39, 1872–1878. [Google Scholar] [CrossRef]
  24. Xu, M.; Yu, Y.; Hu, Y. Service and revenue sharing strategies in a dual-channel supply chain with fairness concerns. Comput. Model. New Technol. 2014, 18, 244–252. [Google Scholar]
  25. Chen, K.-Y.; Kaya, M.; Özer, Ö. Dual sales channel management with service competition. Manuf. Serv. Oper. Manag. 2008, 10, 654–675. [Google Scholar] [CrossRef] [Green Version]
  26. Chen, L.; Peng, J.; Liu, Z.; Zhao, R. Pricing and effort decisions for a supply chain with uncertain information. Int. J. Prod. Res. 2017, 55, 264–284. [Google Scholar] [CrossRef]
  27. Taylor, T.A. Channel coordination under price protection, midlife returns, and end-of-life returns in dynamic markets. Manag. Sci. 2001, 47, 1220–1234. [Google Scholar] [CrossRef] [Green Version]
  28. Liu, H.; Kou, X.; Liu, H.; Gao, H.; Zhao, X. Which operating mode is the best? Consider different combinations of sales contracts and service methods. Comput. Ind. Eng. 2022, 168, 108069. [Google Scholar] [CrossRef]
  29. Cao, K.; Xu, X.; Bian, Y.; Sun, Y. Optimal trade-in strategy of business-to-consumer platform with dual-format retailing model. Omega 2019, 82, 181–192. [Google Scholar] [CrossRef]
  30. Chen, J.; Pun, H.; Li, W. Using online channel to defer the launch of discount retailing store. Transp. Res. Part E Logist. Transportation Rev. 2018, 120, 96–115. [Google Scholar] [CrossRef]
  31. Liu, W.; Yan, X.; Li, X.; Wei, W. The impacts of market size and data-driven marketing on the sales mode selection in an internet platform based supply chain. Transp. Res. Part E Logist. Transp. Rev. 2020, 136, 101914. [Google Scholar] [CrossRef]
  32. Qin, X.; Liu, Z.; Tian, L. The optimal combination between selling mode and logistics service strategy in an e-commerce market. Eur. Oper. Res. 2021, 289, 639–651. [Google Scholar] [CrossRef]
  33. Shen, Y.; Willems, S.P.; Dai, Y. Channel selection and contracting in the presence of a retail platform. Prod. Oper. 2019, 28, 1173–1185. [Google Scholar] [CrossRef]
  34. Wang, T.-Y.; Chen, Z.-S.; Govindan, K.; Chin, K.-S. Manufacturer’s selling mode choice in a platform-oriented dual channel supply chain. Expert Syst. Appl. 2022, 198, 116842. [Google Scholar] [CrossRef]
  35. Wei, J.; Lu, J.; Zhao, J. Interactions of competing manufacturers’ leader-follower relationship and sales format on online platforms. Eur. J. Oper. Res. 2020, 280, 508–522. [Google Scholar] [CrossRef]
  36. Wei, J.; Wang, Y.; Lu, J. Information sharing and sales patterns choice in a supply chain with product’s greening improvement. J. Clean. Prod. 2021, 278, 123704. [Google Scholar] [CrossRef]
  37. Zennyo, Y. Strategic contracting and hybrid use of agency and wholesale contracts in e-commerce platforms. Eur. J. Oper. Res. 2020, 281, 231–239. [Google Scholar] [CrossRef]
  38. Zhang, S.; Zhang, J. Agency selling or reselling: E-tailer information sharing with supplier offline entry. Eur. J. Oper. Res. 2020, 280, 134–151. [Google Scholar] [CrossRef]
  39. Zhang, X.; Hou, W. The impacts of e-tailer’s private label on the sales mode selection: From the perspectives of economic and environmental sustainability. Eur. J. Oper. Res. 2022, 296, 601–614. [Google Scholar] [CrossRef]
  40. Tian, L.; Vakharia, A.J.; Tan, Y.; Xu, Y. Marketplace, reseller, or hybrid: Strategic analysis of an emerging e-commerce model. Prod. Oper. Manag. 2018, 27, 1595–1610. [Google Scholar] [CrossRef]
  41. Jing, B. Showrooming and webrooming: Information externalities between online and offline sellers. Mark. Sci. 2018, 37, 469–483. [Google Scholar] [CrossRef]
  42. Kuksov, D.; Liao, C. When showrooming increases retailer profit. J. Mark. Res. 2018, 55, 459–473. [Google Scholar] [CrossRef]
  43. Mehra, A.; Kumar, S.; Raju, J.S. Competitive strategies for brick-and-mortar stores to counter “showrooming”. Manag. Sci. 2018, 64, 3076–3090. [Google Scholar] [CrossRef] [Green Version]
  44. Shin, J. How does free riding on customer service affect competition? Mark. Sci. 2007, 26, 488–503. [Google Scholar] [CrossRef] [Green Version]
  45. Wu, D.; Ray, G.; Geng, X.; Whinston, A. Implications of reduced search cost and free riding in e-commerce. Mark. Sci. 2004, 23, 255–262. [Google Scholar] [CrossRef]
  46. Xing, D.; Liu, T. Sales effort free riding and coordination with price match and channel rebate. Eur. J. Oper. Res. 2012, 219, 264–271. [Google Scholar] [CrossRef]
  47. Basak, S.; Basu, P.; Avittathur, B.; Sikdar, S. A game theoretic analysis of multichannel retail in the context of “showrooming”. Decis. Support Syst. 2017, 103, 34–45. [Google Scholar] [CrossRef]
  48. Li, Y.; Li, B.; Zheng, W.; Chen, X. Reveal or hide? Impact of demonstration on pricing decisions considering showrooming behavior. Omega 2021, 102, 102329. [Google Scholar] [CrossRef]
  49. Wang, J.; Wang, S. Revisiting the showrooming effect on online and offline retailers: The strategic role of in-store service. J. Retail. Consum. Serv. 2022, 66, 102884. [Google Scholar] [CrossRef]
  50. Tsay, A.A.; Agrawal, N. Channel dynamics under price and service competition. Manuf. Serv. Oper. Manag. 2000, 2, 372–391. [Google Scholar] [CrossRef]
  51. Zhu, L. Supply chain product quality control strategy in three types of distribution channels. PLoS ONE 2020, 15, e0231699. [Google Scholar] [CrossRef] [PubMed] [Green Version]
  52. Mathewson, G.F.; Winter, R.A. An economic theory of vertical restraints. RAND J. Econ. 1984, 15, 27–38. [Google Scholar] [CrossRef]
  53. Carlton, D.W.; Chevalier, J.A. Free riding and sales strategies for the internet. J. Ind. Econ. 2001, 49, 441–461. [Google Scholar] [CrossRef] [Green Version]
Figure 1. The game sequence.
Figure 1. The game sequence.
Jtaer 17 00046 g001
Figure 2. The comparisons of retail prices ( a   =   0.5 ,   r   =   0.2 ,   c   =   0.1 ). (a) under the agency mode. (b) under the reselling mode.
Figure 2. The comparisons of retail prices ( a   =   0.5 ,   r   =   0.2 ,   c   =   0.1 ). (a) under the agency mode. (b) under the reselling mode.
Jtaer 17 00046 g002
Figure 3. The profit change of the platform ( a   =   0.5 ,   r   =   0.2 ,   c   =   0.1 ). (a) under the agency mode. (b) under the reselling mode.
Figure 3. The profit change of the platform ( a   =   0.5 ,   r   =   0.2 ,   c   =   0.1 ). (a) under the agency mode. (b) under the reselling mode.
Jtaer 17 00046 g003
Figure 4. The profit change of the whole supply chain ( a   =   0.5 ,   r   =   0.2 ,   c   =   0.1 ). (a) under the agency mode. (b) under the reselling mode.
Figure 4. The profit change of the whole supply chain ( a   =   0.5 ,   r   =   0.2 ,   c   =   0.1 ). (a) under the agency mode. (b) under the reselling mode.
Jtaer 17 00046 g004
Figure 5. The equilibrium outcomes ( a   =   0.5 ,   c   =   0.1 ). (a) r = 0.2 . (b) r = 0.6 .
Figure 5. The equilibrium outcomes ( a   =   0.5 ,   c   =   0.1 ). (a) r = 0.2 . (b) r = 0.6 .
Jtaer 17 00046 g005
Publisher’s Note: MDPI stays neutral with regard to jurisdictional claims in published maps and institutional affiliations.

Share and Cite

MDPI and ACS Style

Wang, X.; Chaolu, T. The Impact of Offline Service Effort Strategy on Sales Mode Selection in an E-Commerce Supply Chain with Showrooming Effect. J. Theor. Appl. Electron. Commer. Res. 2022, 17, 893-908. https://doi.org/10.3390/jtaer17030046

AMA Style

Wang X, Chaolu T. The Impact of Offline Service Effort Strategy on Sales Mode Selection in an E-Commerce Supply Chain with Showrooming Effect. Journal of Theoretical and Applied Electronic Commerce Research. 2022; 17(3):893-908. https://doi.org/10.3390/jtaer17030046

Chicago/Turabian Style

Wang, Xiangsheng, and Temuer Chaolu. 2022. "The Impact of Offline Service Effort Strategy on Sales Mode Selection in an E-Commerce Supply Chain with Showrooming Effect" Journal of Theoretical and Applied Electronic Commerce Research 17, no. 3: 893-908. https://doi.org/10.3390/jtaer17030046

APA Style

Wang, X., & Chaolu, T. (2022). The Impact of Offline Service Effort Strategy on Sales Mode Selection in an E-Commerce Supply Chain with Showrooming Effect. Journal of Theoretical and Applied Electronic Commerce Research, 17(3), 893-908. https://doi.org/10.3390/jtaer17030046

Article Metrics

Back to TopTop