Topic Editors

Dr. Marinella Coco
Department of Educational Sciences, University of Catania, 95124 Catania, Italy
Dr. Ashutosh Tripathi
Department of Psychiatry and Behavioral Sciences, The University of Texas Health Science Center at Houston, Houston, TX 77030, USA

The Interplay of the Brain, Behavior, and Immunity: Insights and Innovations

Abstract submission deadline
10 October 2026
Manuscript submission deadline
10 December 2026
Viewed by
2479

Topic Information

Dear Colleagues,

This topic will focus on the complex bidirectional interactions between the brain, behavior, and the immune system, covering foundational science, translational research, and clinical applications. The goal is to bring together cutting-edge studies that explore the following:

  1. How the immune system influences brain function and behavior.
  2. The neural mechanisms underlying immune responses.
  3. The behavioral consequences of immune challenges.
  4. The role of neuroimmune interactions in health and disease.

We invite submissions exploring (but not limited to) the following areas:

  • Neuroimmune Signaling Pathways: The molecular mechanisms linking the immune system and neural circuits.
  • Psychoneuroimmunology: The influence of stress, anxiety, and depression on immune responses.
  • Neuroinflammation and Disease: The role of chronic inflammation in neurodegenerative and psychiatric disorders.
  • Immune Modulation by Behavioral Interventions: The effects of mindfulness, exercise, or diet on immune function.
  • Gut–Brain–Immune Axis: Microbiota's influence on brain health and behavior through immune pathways.
  • Developmental and Aging Perspectives: Neuroimmune interactions across the lifespan.
  • Therapeutic Innovations: Immune-targeting strategies for neurological and psychological disorders.
  • Systems Biology and Computational Approaches: Modeling the dynamics of brain–immune–behavior interactions.

We encourage the submission of original research articles, review papers, short communications, perspectives, and commentaries. Authors are encouraged to present interdisciplinary approaches combining neuroscience, immunology, and psychology.

Dr. Marinella Coco
Dr. Ashutosh Tripathi
Topic Editors

Keywords

  • neuroimmune interactions
  • psychoneuroimmunology
  • neuroinflammation
  • gut–brain–immune axis
  • stress and immunity
  • brain–immune–behavior interactions

Participating Journals

Journal Name Impact Factor CiteScore Launched Year First Decision (median) APC
Brain Sciences
brainsci
2.8 5.6 2011 17.6 Days CHF 2200 Submit
Neurology International
neurolint
3.0 4.8 2009 21.5 Days CHF 1800 Submit
NeuroSci
neurosci
2.0 - 2020 23.3 Days CHF 1200 Submit

Preprints.org is a multidisciplinary platform offering a preprint service designed to facilitate the early sharing of your research. It supports and empowers your research journey from the very beginning.

MDPI Topics is collaborating with Preprints.org and has established a direct connection between MDPI journals and the platform. Authors are encouraged to take advantage of this opportunity by posting their preprints at Preprints.org prior to publication:

  1. Share your research immediately: disseminate your ideas prior to publication and establish priority for your work.
  2. Safeguard your intellectual contribution: Protect your ideas with a time-stamped preprint that serves as proof of your research timeline.
  3. Boost visibility and impact: Increase the reach and influence of your research by making it accessible to a global audience.
  4. Gain early feedback: Receive valuable input and insights from peers before submitting to a journal.
  5. Ensure broad indexing: Web of Science (Preprint Citation Index), Google Scholar, Crossref, SHARE, PrePubMed, Scilit and Europe PMC.

Published Papers (1 paper)

Order results
Result details
Journals
Select all
Export citation of selected articles as:
14 pages, 3233 KB  
Article
Rare Variants of Immune-Related Genes Increase Susceptibility to Autoimmune Encephalitis: An Association Study
by Chih-Hsiang Lin, Shiau-Ching Chen, Chen-Jui Ho, Che-Wei Hsu, Shih-Ying Chen, Yan-Ting Lu and Meng-Han Tsai
Neurol. Int. 2025, 17(12), 199; https://doi.org/10.3390/neurolint17120199 - 8 Dec 2025
Viewed by 832
Abstract
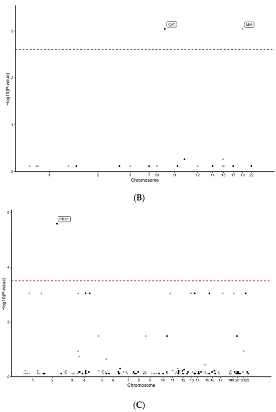
Introduction: Autoimmune encephalitis (AE) is a neurological disorder caused by immune responses targeting neuron-surface or synaptic proteins. While its immunological mechanisms have been studied, the genetic underpinnings remain unclear. This study investigates whether rare deleterious variants (RDVs) in immunological genes contribute to AE [...] Read more.
Introduction: Autoimmune encephalitis (AE) is a neurological disorder caused by immune responses targeting neuron-surface or synaptic proteins. While its immunological mechanisms have been studied, the genetic underpinnings remain unclear. This study investigates whether rare deleterious variants (RDVs) in immunological genes contribute to AE susceptibility. Method: We enrolled 36 patients with AE and 407 healthy controls without autoimmune diseases. Whole-exome sequencing was performed to identify RDVs, including start-loss, stop-gain, frameshift, splice-site variants, and deleterious missense mutations. We analyzed the distribution of RDVs in an immunological gene set and its subsets. A burden test was used to identify genes significantly associated with AE. Results: Overall, RDVs in the full immunological gene set did not differ between AE patients and controls. However, the T cell receptor signaling pathway subset showed a significantly higher RDV burden in AE patients. Within this pathway, PDK1 was significantly associated with AE. Two additional genes, CAT and MIA, also showed strong associations, although their broader gene subset, cytokines, did not display differential RDV distribution. Discussion: Our findings suggest that RDVs in specific immunological pathways, particularly the T cell receptor signaling pathway, may play a role in AE pathogenesis. The significant associations of PDK1, CAT, and MIA with AE highlight potential genetic contributors to the disease. Further functional studies are necessary to validate these associations and explore their biological relevance, potentially paving the way for improved understanding and future therapeutic targets in AE. Full article
Show Figures

Figure 1

Back to TopTop