Sign in to use this feature.

Years

Between: -

Subjects

remove_circle_outline
remove_circle_outline
remove_circle_outline
remove_circle_outline

Journals

Article Types

Countries / Regions

Search Results (2)

Search Parameters:
Keywords = xanthydrol

Order results
Result details
Results per page
Select all
Export citation of selected articles as:
14 pages, 2242 KB  
Article
Xanthene Derivatives Targeting Bacterial Efflux Pumps, Quorum-Sensing, and Biofilm Formation
by Miguel Maia, Fernando Durães, Diana I. S. P. Resende, Nikoletta Szemerédi, Luís Gales, Paulo Martins-da-Costa, Madalena Pinto, Gabriella Spengler and Emília Sousa
Drugs Drug Candidates 2022, 1(1), 29-42; https://doi.org/10.3390/ddc1010004 - 6 Dec 2022
Cited by 8 | Viewed by 3239
Abstract
The rise of multidrug resistance (MDR) bacteria in nosocomial and health-care institutions is widespread and is currently recognized as a major medical challenge. Mechanisms of bacterial resistance, namely, quorum sensing (QS), biofilm formation, and efflux pumps, have been identified as critical biological processes [...] Read more.
The rise of multidrug resistance (MDR) bacteria in nosocomial and health-care institutions is widespread and is currently recognized as a major medical challenge. Mechanisms of bacterial resistance, namely, quorum sensing (QS), biofilm formation, and efflux pumps, have been identified as critical biological processes in MDR bacteria. Following previous reports on the activity of phenothiazines against mechanisms of bacterial resistance, in this work we focus on the synthesis of xanthene derivatives aiming to discover phenothiazine bioisosteres with improved activity. Four compounds were obtained from the conjugation of xanthydrol with sulfonamides and aniline and were fully characterized. Their antibacterial activity was assessed considering their minimum inhibitory concentration (MIC) against Gram-positive and Gram-negative strains, efflux pump inhibition, influence on biofilm formation and quorum-sensing (QS) inhibition. It was observed that the MIC of all the tested compounds was above 64 µg/mL The four 9-xanthenyl derivatives obtained, particularly the xanthene sulfonamide derivatives 3b and 3c, showed promising results on QS inhibition with a reduction of pigment production of 48 and 41 mm, and on biofilm formation with a reduction of 78 and 79%, respectively. Full article
(This article belongs to the Section Medicinal Chemistry and Preliminary Screening)
Show Figures

Figure 1

15 pages, 1559 KB  
Article
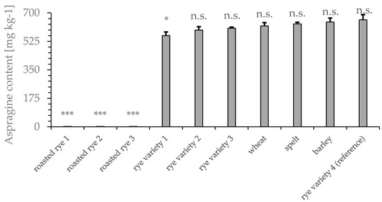
Roasted Rye as a Coffee Substitute: Methods for Reducing Acrylamide
by Johannes Pitsch, Otmar Höglinger and Julian Weghuber
Foods 2020, 9(7), 925; https://doi.org/10.3390/foods9070925 - 14 Jul 2020
Cited by 11 | Viewed by 5289
Abstract
Acrylamide is assumed to be a potential carcinogen, and reference values have therefore been implemented in EU legislation. Thus, the food industry needs to reduce the acrylamide content in consumer products to the lowest possible value. In this study, roasted rye was evaluated [...] Read more.
Acrylamide is assumed to be a potential carcinogen, and reference values have therefore been implemented in EU legislation. Thus, the food industry needs to reduce the acrylamide content in consumer products to the lowest possible value. In this study, roasted rye was evaluated for its suitability as a coffee substitution product with respect to its acrylamide content. The influence of process modifiers, free asparagine content, storage, and rye type on the final content of acrylamide was investigated. Changes in carbohydrate composition and brightness caused by the roasting process were described. Sample analysis was conducted via GC-MS and HPLC-CAD. Existing methods were adapted to roasted rye as the sample matrix. CaCl2 and asparaginase treatment as well as pH adjustments prior to roasting did not prove to reduce the acrylamide content. A significantly (* p < 0.027) lower free asparagine content in the raw material resulted in a lower formation of acrylamide in the final product. The acrylamide content significantly decreased (**** p < 0.0001) after 3 (1100 ± 18 µg kg−1) and 6 (490 ± 7 µg kg−1) months of long-term storage. Only samples stored for 6 months (490 ± 7 µg kg−1) met the EU acrylamide content requirements (<500 µg kg−1) for grain-based coffee substitution products. Full article
(This article belongs to the Section Food Quality and Safety)
Show Figures

Figure 1

Back to TopTop