Sign in to use this feature.

Years

Between: -

Subjects

remove_circle_outline
remove_circle_outline
remove_circle_outline
remove_circle_outline
remove_circle_outline
remove_circle_outline
remove_circle_outline
remove_circle_outline
remove_circle_outline

Journals

remove_circle_outline
remove_circle_outline
remove_circle_outline
remove_circle_outline
remove_circle_outline
remove_circle_outline
remove_circle_outline
remove_circle_outline
remove_circle_outline
remove_circle_outline
remove_circle_outline
remove_circle_outline
remove_circle_outline
remove_circle_outline
remove_circle_outline
remove_circle_outline
remove_circle_outline
remove_circle_outline
remove_circle_outline

Article Types

Countries / Regions

remove_circle_outline
remove_circle_outline
remove_circle_outline
remove_circle_outline
remove_circle_outline
remove_circle_outline
remove_circle_outline

Search Results (848)

Search Parameters:
Keywords = workplace intervention

Order results
Result details
Results per page
Select all
Export citation of selected articles as:
13 pages, 559 KB  
Article
The Effect of Workplace Pressure and Experience on Burnout in Embryologists Working in Assisted Reproduction in Spain
by Raquel Urteaga and Amelia Díaz
Int. J. Environ. Res. Public Health 2026, 23(3), 369; https://doi.org/10.3390/ijerph23030369 - 13 Mar 2026
Viewed by 89
Abstract
Professionals working in Assisted Reproduction (AR) have shown high levels of burnout, with embryologists being the most affected. Previous studies have found that burnout shows symptomatology when professionals are exposed to long-lasting workplace stressors. Therefore, the main objectives of this study were estimating [...] Read more.
Professionals working in Assisted Reproduction (AR) have shown high levels of burnout, with embryologists being the most affected. Previous studies have found that burnout shows symptomatology when professionals are exposed to long-lasting workplace stressors. Therefore, the main objectives of this study were estimating burnout levels in embryologists working in AR and testing whether the observed associations between the variables measured fit existing theoretical models. A cross-sectional design was used in a sample of 127 Spanish embryologists working in AR. Years working in AR, excessive workplace pressure and burnout dimensions, emotional exhaustion, depersonalization, and lack of personal accomplishment were measured. Results showed that burnout was present in significant percentages of embryologists working in AR (35.4%, 42.5%, and 28.3% showing high levels of emotional exhaustion, depersonalization, and lack of personal accomplishment, respectively). Additionally, relational and mediational analyses provided support for the Leiter and Maslach’s theoretical model where emotional exhaustion was the first and closer variable to the stressor high pressure in the workplace, followed by depersonalization and lack of personal accomplishment. Implications arising from this study directly affect the mental health of embryologists and their performance on the job, where interventions targeting perceived workplace pressure may reduce burnout indicators in embryologists working in AR. Full article
(This article belongs to the Special Issue Psychological Health and Wellness Among Healthcare Professionals)
Show Figures

Figure 1

13 pages, 248 KB  
Article
Psychological Safety as a Predictor of Acute Stress, Well-Being and Burnout in Health and Social Care Workers: A Predictive Correlational Study
by Nicola Cogan, Martin Smith and Karen Deakin
Behav. Sci. 2026, 16(3), 418; https://doi.org/10.3390/bs16030418 - 12 Mar 2026
Viewed by 336
Abstract
Background: Health and social care workers (HSCWs) experience high levels of stress, burnout and emotional strain. Psychological safety is increasingly recognised as a protective factor, yet limited research has examined how individual psychological safety and team psychological safety jointly contribute to mental health [...] Read more.
Background: Health and social care workers (HSCWs) experience high levels of stress, burnout and emotional strain. Psychological safety is increasingly recognised as a protective factor, yet limited research has examined how individual psychological safety and team psychological safety jointly contribute to mental health outcomes in frontline care environments. Methods: A total of 821 HSCWs completed validated measures assessing individual psychological safety (NPSS), team psychological safety (TPSS), well-being, burnout and acute stress. Correlational analyses and hierarchical regression models were used to evaluate the unique and shared contributions of individual and team psychological safety to each outcome. Results: Both NPSS and TPSS were significantly associated with well-being, burnout and acute stress. Team psychological safety emerged as the strongest predictor of burnout and acute stress, accounting for substantial additional variance beyond individual psychological safety, with increases in explained variance ranging from 0.14 to 0.16. For well-being, NPSS (β = 0.38) and TPSS (β = 0.36) were both significant predictors. TPSS demonstrated large effects for burnout (β = 0.67) and acute stress (β = 0.72). Conclusions: Psychological safety plays a central role in the mental health of HSCWs. Team-based psychological safety was particularly influential in protecting against burnout and acute stress, while individual neuroceptive safety remained important for supporting overall well-being. Strengthening both individual and team-level psychological safety may enhance resilience and reduce psychological risk within health and social care settings. Implications: Incorporating NPSS and TPSS within workforce assessment may support early identification of psychological vulnerability, inform trauma-informed organisational interventions and promote more resilient, supportive workplace cultures. Full article
(This article belongs to the Special Issue Workplace Health and Wellbeing)
14 pages, 307 KB  
Article
“BEmotions” Intervention: A Pilot Study on Promoting Emotional Competence Among Emergency Department Nurses
by Vera Frazão, João Gomes, Filipe Batista and Tânia Morgado
Healthcare 2026, 14(6), 715; https://doi.org/10.3390/healthcare14060715 - 11 Mar 2026
Viewed by 96
Abstract
(1) Background: Working in emergency departments (EDs) affects healthcare professionals’ mental health and impacts their ability to provide safe, high-quality care. Emotional competence (EC) is recognized as a protective factor in occupational settings. The “BEmotions” intervention aimed to promote nurses’ EC and [...] Read more.
(1) Background: Working in emergency departments (EDs) affects healthcare professionals’ mental health and impacts their ability to provide safe, high-quality care. Emotional competence (EC) is recognized as a protective factor in occupational settings. The “BEmotions” intervention aimed to promote nurses’ EC and satisfaction with their work group in an ED in Portugal. (2) Methods: A quasi-experimental pilot study using a single-group pretest–posttest design was conducted. The BEmotions intervention was based on Veiga Branco’s construct of EC, which includes five dimensions: self-awareness, emotion management, self-motivation, empathy, and emotional regulation in groups. It consisted of five weekly sessions, each lasting 90 min. The instruments used were: (a) A self-developed sociodemographic questionnaire; (b) EVCE-r33—Veiga’s Reduced EC Scale; and (c) the Work Group Satisfaction Scale (ESAG). (3) Results: The study sample comprised 10 nurses, of whom 80% were female, with a mean age of 45.3 years (SD = 7.07). This pilot study suggests positive results regarding overall EC (p < 0.05; d = 0.81) and Job Satisfaction (JS) (p < 0.01; d = 1.22) among emergency department nurses. (4) Conclusions: the ‘BEmotions’ intervention suggests promising preliminary directions for replication in other contexts and for promoting mental health in the workplace; however, its methodological limitations highlight the need for further research. Full article
(This article belongs to the Special Issue Patient Safety, Environment, and Mental Health)
15 pages, 511 KB  
Article
Prevalence and Associated Factors of Depression Among Emergency Physicians in South Korea: Findings from the 2025 Korean Emergency Physician Survey
by Min Jae Kim, In Hwan Yeo, Mi Jin Lee, Ji Hun Kim, Hyung Min Lee, Kwang Hyun Cho, Kyung Hye Park, Eu Sun Lee, Joon Bum Park, Sanghun Kim, Ji Eun Kim, Han Zo Choi and Kyungseok Park
Medicina 2026, 62(3), 504; https://doi.org/10.3390/medicina62030504 - 9 Mar 2026
Viewed by 201
Abstract
Background and Objectives: Emergency physicians practice in high-pressure environments and face occupational stressors that may affect their mental health. This study was designed to evaluate the prevalence of depression among emergency physicians in South Korea and examined environmental, sociolegal, and individual factors [...] Read more.
Background and Objectives: Emergency physicians practice in high-pressure environments and face occupational stressors that may affect their mental health. This study was designed to evaluate the prevalence of depression among emergency physicians in South Korea and examined environmental, sociolegal, and individual factors associated with depressive symptoms in the post-pandemic period. Materials and Methods: This nationwide cross-sectional study analyzed data from the 2025 Korean Emergency Physician Survey. Screening positive for depressive symptoms was defined as a Patient Health Questionnaire-9 (PHQ-9) score ≥ 10, indicating moderate-to-severe depressive symptom severity. Measures included the PHQ-9, the Korean Epworth Sleepiness Scale (KESS), and the Adult APGAR, a brief self-administered instrument assessing overall wellness. Multivariable logistic regression was performed to identify factors associated with depression after adjusting for demographic, clinical, and work-related variables. Results: Of the 1050 physicians who responded (response rate: 37.5%), 743 emergency physicians completed the PHQ-9 section (completion rate: 70.8%; mean age, 43.2 ± 7.78 years; 86.5% male), and 111 (14.9%) screened positive for depressive symptoms. Objective workload indicators, including total work hours and number of night shifts, did not differ between physicians with and without depression. However, emergency physicians screening positive for depression reported higher perceived burdens related to staffing shortages and patient-related stressors. Protective factors included being married (adjusted odds ratio [AOR], 0.22; 95% confidence interval [CI], 0.08–0.58), longer sleep duration (AOR, 0.65; 95% CI, 0.50–0.86), better sleep quality (AOR, 0.45; 95% CI, 0.27–0.74), fixed mealtimes (AOR, 0.60; 95% CI, 0.39–0.93), and higher Adult APGAR scores (AOR, 0.72; 95% CI, 0.60–0.86). Factors associated with increased odds of depression included a history of cancer (AOR, 14.63, 95% CI, 2.53–84.61), current alcohol consumption (AOR, 2.54, 95% CI, 1.14–5.68), daytime sleepiness (AOR, 1.17; 95% CI, 1.04–1.31), and more frequent verbal abuse during the previous 12 months (AOR, 1.25; 95% CI, 1.08–1.44). Conclusions: Depression was prevalent and was associated with perceived work burden, sleep health, lifestyle regularity, and psychosocial factors. Interventions should address sleep quality, workplace safety, and social support. Full article
(This article belongs to the Section Epidemiology & Public Health)
Show Figures

Figure 1

18 pages, 951 KB  
Review
Return to Work After a Cardiovascular Event: The Central Role of Cardiac Rehabilitation
by Mario Pacileo, Francesco Giallauria, Gianluigi Cuomo, Giuseppe Vallefuoco, Alfredo Mauriello, Vincenzo Russo and Antonello D’Andrea
J. Clin. Med. 2026, 15(5), 2019; https://doi.org/10.3390/jcm15052019 - 6 Mar 2026
Viewed by 245
Abstract
Background: Return to work (RTW) after acute coronary syndrome (ACS) or acute heart failure (HF) is a pivotal outcome reflecting functional recovery and quality of life (QoL). While survival after cardiac events has improved through reperfusion and guideline-directed pharmacotherapy, sustainable RTW depends on [...] Read more.
Background: Return to work (RTW) after acute coronary syndrome (ACS) or acute heart failure (HF) is a pivotal outcome reflecting functional recovery and quality of life (QoL). While survival after cardiac events has improved through reperfusion and guideline-directed pharmacotherapy, sustainable RTW depends on an integrated set of clinical, psychological, social, and occupational determinants. Objective: This study aimed to synthesize and expand the evidence on predictors of RTW, delineate practical workload-matching rules using METs and CPET, and position multidisciplinary cardiac rehabilitation (CR) as the bridge from clinical recovery to durable vocational reintegration. Key findings: Beyond left ventricular ejection fraction (LVEF), depression, anxiety, illness perceptions, and RTW self-efficacy are robust predictors of vocational outcomes. CPET-guided exercise prescriptions and MET-based job matching ensure adequate metabolic reserve; sustained task demand should remain at ≤35–40% of maximal capacity, with peak capacity ≥2× average job demand. CR (Class IA in the 2023 ESC ACS Guidelines) improves exercise tolerance, medication adherence, psychosocial well-being, and deployment of vocational support, including stepwise reintegration plans and ergonomic adaptations. Telerehabilitation extends monitoring and counseling into the workplace and maintains adherence after RTW. Conclusions: Comprehensive CR that integrates exercise training, psychosocial counseling, lifestyle modification, and vocational interventions offers the most effective pathway to stable RTW, improved QoL, and reduced socio-economic burden. Early identification of vulnerable subgroups and personalized, digitally supported follow-up are essential for long-term job retention. Full article
(This article belongs to the Special Issue New Clinical Perception of Cardiac Rehabilitation)
Show Figures

Figure 1

26 pages, 882 KB  
Article
Factor Structure and Measurement Invariance Across Gender of the Eating Disorder Examination Questionnaire—Short Form in Italian Workers
by Nicola Magnavita and Carlo Chiorri
Eur. J. Investig. Health Psychol. Educ. 2026, 16(3), 37; https://doi.org/10.3390/ejihpe16030037 - 5 Mar 2026
Viewed by 351
Abstract
Eating disorders (EDs) are complex conditions that can significantly affect health and productivity, yet their assessment in occupational settings remains underexplored. This study aimed to evaluate the psychometric properties of the Italian version of the Eating Disorder Examination Questionnaire—Short Form (EDE-QS) among 1912 [...] Read more.
Eating disorders (EDs) are complex conditions that can significantly affect health and productivity, yet their assessment in occupational settings remains underexplored. This study aimed to evaluate the psychometric properties of the Italian version of the Eating Disorder Examination Questionnaire—Short Form (EDE-QS) among 1912 workers undergoing health surveillance. Using an Item Response Theory framework, we tested dimensionality, reliability, and measurement invariance across gender, applying a graded response model to assess item discrimination and threshold parameters. Results supported an approximate unidimensional structure with excellent internal consistency (ω ≈ 0.95) and strong indices of factor score determinacy and construct replicability. Measurement invariance analyses indicated configural and metric invariance but not full scalar invariance, due to differential item functioning in a subset of items. Latent mean differences were small, with women scoring slightly higher than men, and associations with psychological, occupational, and health-related variables did not differ by gender. These findings indicate that the Italian EDE-QS shows promising structural validity as a brief measure of ED symptomatology in occupational samples in workplace contexts. However, gender-related item bias warrants cautious interpretation of specific behaviors, suggesting the need for tailored assessments to enhance diagnostic accuracy and inform preventive interventions. Full article
Show Figures

Figure 1

20 pages, 5028 KB  
Proceeding Paper
Multiple Sclerosis and Occupational Outcomes in the COVID-19 Era: A Scoping Review
by Ioannis Adamopoulos, Aida Vafae Eslahi, Niki Syrou, Maad M. Mijwil and Panagiotis Tsirkas
Med. Sci. Forum 2026, 43(1), 4; https://doi.org/10.3390/msf2026043004 - 4 Mar 2026
Viewed by 198
Abstract
The coronavirus disease 2019 (COVID-19) pandemic has disrupted both health and occupational functioning in participants with multiple sclerosis (PwMS). This review synthesizes evidence from 55 studies (30,830 PwMS) on psychological, social, and work-related outcomes during the pandemic. The findings indicate elevated depression and [...] Read more.
The coronavirus disease 2019 (COVID-19) pandemic has disrupted both health and occupational functioning in participants with multiple sclerosis (PwMS). This review synthesizes evidence from 55 studies (30,830 PwMS) on psychological, social, and work-related outcomes during the pandemic. The findings indicate elevated depression and stress, variable anxiety, and substantial employment disruption, including job loss, reduced hours, and shifts to remote work. Socioeconomic stressors compound these effects, while workplace accommodations are rarely assessed. There are gaps in evidence regarding occupation-specific hazards, lived experiences, and long-term outcomes. These results underscore the need for disability-inclusive employment policies, mental health support, and longitudinal research to guide interventions for PwMS in crisis contexts. Full article
(This article belongs to the Proceedings of The 2nd International Electronic Conference on Medicine)
Show Figures

Figure 1

18 pages, 648 KB  
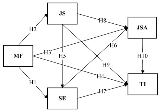
Article
Mindfulness, Self-Efficacy, Job Stress, and Job Satisfaction in Associated Factors of Turnover Intention: A Regression-Based Path Analysis Among Direct Care Workers
by Hsuan-Pin Chen and Kuo-Chung Huang
Healthcare 2026, 14(5), 654; https://doi.org/10.3390/healthcare14050654 - 4 Mar 2026
Viewed by 241
Abstract
Background/Objectives: This study aimed to examine how mindfulness and self-efficacy are associated with turnover intention among direct care workers through the hypothesized indirect pathways involving job stress and job satisfaction. Grounded in the Job Demands–Resources (JD–R) and Conservation of Resources (COR) frameworks, the [...] Read more.
Background/Objectives: This study aimed to examine how mindfulness and self-efficacy are associated with turnover intention among direct care workers through the hypothesized indirect pathways involving job stress and job satisfaction. Grounded in the Job Demands–Resources (JD–R) and Conservation of Resources (COR) frameworks, the study highlights the buffering and protective functions of psychological resources under high job demands. Methods: A regression-based path analysis was conducted using data collected from a structured questionnaire survey of 967 direct care workers in southern Taiwan. Results: Job stress was positively associated with turnover intention (β = 0.599, p < 0.001), whereas job satisfaction was negatively associated with it (β = −0.139, p < 0.001). Self-efficacy was positively associated with job satisfaction (β = 0.407, p < 0.001) and negatively associated with job stress (β = −0.109, p < 0.001). Mindfulness demonstrated significant direct associations with self-efficacy (β = 0.497, p < 0.001) and job stress (β = −0.200, p < 0.001), but its direct effect on turnover intention was not significant (β = −0.035, p > 0.05), implying its influence is indirect through self-efficacy, job stress, and job satisfaction. Diagnostic checks, including the Variance Inflation Factor (VIF), confirmed the absence of multicollinearity issues, and the overall model demonstrated satisfactory explanatory power. Conclusions: These findings enhance understanding of the psychological mechanisms underlying turnover intention among care workers and provide practical implications for human resource management and workplace stress interventions in long-term care settings. Full article
(This article belongs to the Special Issue Well-Being of Healthcare Professionals: New Insights After COVID-19)
Show Figures

Figure 1

13 pages, 357 KB  
Article
Trends and Risk Factors of Work-Related Musculoskeletal Disorders: A Registry-Based Analysis of Compensation Claims in Tanzania (2016–2022)
by Gloria H. Sakwari, Israel P. Nyarubeli, Suleiman Chombo, Susan Reuben, Naanjela Msangi, Robert Duguza, Simon Lwaho, Abdulssalaam Omar and John K. Mduma
Safety 2026, 12(2), 33; https://doi.org/10.3390/safety12020033 - 2 Mar 2026
Viewed by 288
Abstract
Work-related musculoskeletal disorders (MSDs) are leading causes of disability and productivity loss globally, yet registry-based evidence from low- and middle-income countries remains limited. The study analyzed compensated work-related MSDs claims reported to the Workers’ Compensation Fund (WCF) in Tanzania between 2016 and 2022 [...] Read more.
Work-related musculoskeletal disorders (MSDs) are leading causes of disability and productivity loss globally, yet registry-based evidence from low- and middle-income countries remains limited. The study analyzed compensated work-related MSDs claims reported to the Workers’ Compensation Fund (WCF) in Tanzania between 2016 and 2022 to identify patterns and associated risk factors. A registry-based cross-sectional design was conducted using de-identified WCF data on demographics, occupation, industry, diagnosis, and recorded workplace exposures. Modified Poisson regression was used to estimate associations between work-related MSDs and risk factors. Among the 243 workers with work-related MSDs whose claims were accepted and compensated, 84% had low back pain (LBP), predominantly males (90%) and middle-aged workers (mean age 41.6 years). Mining and quarrying accounted for 50% of the cases, with drivers and mobile plant operators being the most affected. Whole-body vibration (WBV) exposure and work in mining and quarrying were significant predictors of LBP (adjusted PR = 1.25; 95% CI: 1.061.49 and PR = 1.21; 95% CI: 1.01–1.44, respectively). These findings highlight WBV and mining work as significant risk factors of work-related MSDs and underscore the need for targeted interventions alongside enhanced health surveillance systems for exposure documentation. Full article
(This article belongs to the Special Issue Occupational Safety Challenges in the Context of Industry 4.0)
Show Figures

Figure 1

12 pages, 1141 KB  
Review
Mindfulness Interventions on Mental Health in Working Adults: A Scoping Review
by Edgar Vásquez-Carrasco, Vanesa Bruna, Javiera Barraza, Nayaret Escobar, Lorena Sepúlveda, Francisca Bastidas, Benjamín González, Jordan Hernandez-Martinez, Cristian Sandoval-Vásquez, Eduardo Carmine-Peña, Constanza Lorca, Celia Sánchez-Gómez, Pablo Valdés-Badilla and Pamela Marcone-Dapelo
Healthcare 2026, 14(5), 621; https://doi.org/10.3390/healthcare14050621 - 28 Feb 2026
Viewed by 356
Abstract
Background: This scoping review aimed to identify and synthesize the evidence on mindfulness-based interventions targeting mental health outcomes in working adults. Methods: A comprehensive search was conducted in four electronic databases (PubMed, Scopus, Web of Science, and OTseeker) up to October [...] Read more.
Background: This scoping review aimed to identify and synthesize the evidence on mindfulness-based interventions targeting mental health outcomes in working adults. Methods: A comprehensive search was conducted in four electronic databases (PubMed, Scopus, Web of Science, and OTseeker) up to October 2025. The review followed PRISMA-ScR guidelines. Methodological quality was evaluated using the Oxford Centre for Evidence-Based Medicine (OCEBM) classification. The protocol was prospectively registered on the Open Science Framework (OSF). Results: A total of 1803 records were identified, of which nine randomized controlled trials met the inclusion criteria. The included studies examined Mindfulness-Based Stress Reduction, Mindfulness-Based Self-Care, Mindfulness-Oriented Therapy, and digital mindfulness interventions. Overall, mindfulness interventions demonstrated beneficial effects across several mental health domains. Conclusions: Mindfulness-based interventions show promising benefits for improving mental health among working adults. Their structured, brief, and adaptable formats support their feasibility for integration into occupational health programs and workplace mental health promotion. Full article
Show Figures

Figure 1

20 pages, 1952 KB  
Article
Hearing Protection Among Workers Exposed to Occupational Noise in the South African Aluminium Industry
by Nomfundo Moroe and Asibonge Shandu
Int. J. Environ. Res. Public Health 2026, 23(3), 306; https://doi.org/10.3390/ijerph23030306 - 28 Feb 2026
Viewed by 242
Abstract
Background: Occupational noise-induced hearing loss (ONIHL) remains one of the most prevalent occupational diseases globally and in South Africa. Despite awareness and regulatory frameworks, consistent use of hearing protection devices (HPDs) is suboptimal in high-noise industries. Aim: To investigate patterns of HPD use [...] Read more.
Background: Occupational noise-induced hearing loss (ONIHL) remains one of the most prevalent occupational diseases globally and in South Africa. Despite awareness and regulatory frameworks, consistent use of hearing protection devices (HPDs) is suboptimal in high-noise industries. Aim: To investigate patterns of HPD use and the factors influencing compliance among workers in an aluminium manufacturing company exposed to noise levels exceeding 85 dB(A). Methods: A cross-sectional survey was conducted with 115 workers, including 68.7% males and 31.3% females. Chi-square tests assessed associations between categorical variables, and logistic regression identified significant predictors of consistent HPD use. Results: Although 94.8% of workers were aware of the risks of hazardous noise, only 51.3% reported always using HPDs. Gender, education level, type of HPD, type and duration of noise exposure, and perceived susceptibility to hearing loss were significantly associated with consistent HPD use. Logistic regression revealed that gender, type of HPD, type of noise exposure, and perceived susceptibility significantly predicted consistent use. Conclusions: Despite high awareness and access to HPDs, consistent use remains moderate and is influenced by demographic, perceptual, device-related, and workplace factors. Findings highlight the need for targeted interventions, training, and workplace strategies to improve HPD compliance and prevent ONIHL. Full article
(This article belongs to the Special Issue Hearing Health in Vulnerable Groups)
Show Figures

Figure 1

16 pages, 629 KB  
Article
Validity Evidence for the Secondary Symptoms of the Burnout Assessment Tool: A Brazilian Study
by Andrea Marilin Vinueza-Solórzano, Jaqueline de Carvalho Rodrigues, Clarissa Pinto Pizarro de Freitas, Wilmar B. Schaufeli, Hans De Witte, Ana Claudia Souza Vazquez and Cecilia Alexandra Portalanza-Chavarria
Int. J. Environ. Res. Public Health 2026, 23(3), 302; https://doi.org/10.3390/ijerph23030302 - 28 Feb 2026
Viewed by 313
Abstract
Burnout syndrome is conceptualized as a work-related psychological condition primarily marked by persistent exhaustion, emotional and cognitive impairment and mental distancing. In addition to these core dimensions, burnout may give rise to secondary symptoms, including psychological distress, psychosomatic complaints, and depressive mood. The [...] Read more.
Burnout syndrome is conceptualized as a work-related psychological condition primarily marked by persistent exhaustion, emotional and cognitive impairment and mental distancing. In addition to these core dimensions, burnout may give rise to secondary symptoms, including psychological distress, psychosomatic complaints, and depressive mood. The Burnout Assessment Tool (BAT) includes specific measures for both primary and secondary symptoms. This study aimed to evaluate the validity evidence of the BAT’s secondary symptoms Brazilian version scale (BAT-S). The sample consisted of 1.750 professionals (71% women), with a mean age of 39 years (SD = 11). Confirmatory Factor Analyses indicated that a model of two oblique first-order factors, differentiating psychological distress from psychosomatic complaints, provided a superior fit compared to the unidimensional solution. The scale also presented satisfactory internal consistency for the scales of psychological distress (α = 0.88 and ω = 0.90) and psychosomatic complaints (α = 0.85 and ω = 0.87). The BAT-S represents a reliable tool to assess these secondary symptoms of burnout, advancing research that integrates behavioral and physiological markers, offering practical applications for occupational health interventions and preventive strategies in the workplace. Full article
(This article belongs to the Special Issue Work Psychology and Occupational Health: 2nd Edition)
Show Figures

Figure 1

12 pages, 428 KB  
Article
Job Satisfaction and Work-Related Quality of Life Among School and Clinical Nurses: A Cross-Sectional Study
by Sokratis Lialias, Vissarion Bakalis, Ioanna Dimitriadou, Maria Saridi, Aikaterini Toska, Ioanna V. Papathanasiou, Pavlos Sarafis and Evangelos C. Fradelos
Healthcare 2026, 14(5), 604; https://doi.org/10.3390/healthcare14050604 - 27 Feb 2026
Viewed by 317
Abstract
Background/Objectives: Job satisfaction and work-related quality of life (WRQoL) are essential determinants of nurses’ well-being, performance, and retention. Differences between school and clinical nursing environments may influence these outcomes, yet comparative evidence from Greece remains limited. This study aimed to assess and [...] Read more.
Background/Objectives: Job satisfaction and work-related quality of life (WRQoL) are essential determinants of nurses’ well-being, performance, and retention. Differences between school and clinical nursing environments may influence these outcomes, yet comparative evidence from Greece remains limited. This study aimed to assess and compare job satisfaction and WRQoL among school and clinical nurses and identify factors associated with professional well-being and turnover intention. Methods: A quantitative cross-sectional study was conducted between November 2024 and January 2025 among 165 nurses employed in Greek public hospitals and schools. Data were collected using demographic questions, the Job Satisfaction Survey (JSS), and the Work-Related Quality of Life (WRQoL) scale. Statistical analyses included descriptive statistics, independent group comparisons, correlation analysis, and multiple linear regression. Results: Moderate levels of job satisfaction (M = 125.10) and WRQoL (M = 75.27) were observed overall. School nurses reported significantly higher scores in both job satisfaction and WRQoL compared to clinical nurses (p < 0.001). Clinical nurses expressed a greater intention to transition to school nursing. Lowest satisfaction levels were related to salary, promotion, and fringe benefits, while supervision, coworkers, and nature of work scored highest. Strong positive correlations were found between job satisfaction and WRQoL dimensions. Regression analysis indicated that general well-being, job and career satisfaction, and working conditions significantly predicted job satisfaction, explaining 54.7% of its variance. Conclusions: Professional well-being among nurses is primarily shaped by workplace conditions rather than demographic factors. Interventions focused on improving compensation, career progression, and work environments are critical for enhancing job satisfaction and sustaining the nursing workforce. Full article
Show Figures

Figure 1

36 pages, 1908 KB  
Review
Oral Cellular Homeostasis and Occupational Wellbeing in Healthcare Professionals Under the Lens of Salivary, Immune, and Microbiome Mechanisms
by Maria Antoniadou and Theodoros Varzakas
Cells 2026, 15(5), 406; https://doi.org/10.3390/cells15050406 - 26 Feb 2026
Viewed by 408
Abstract
Background: Healthcare professionals experience continuous biological and psychosocial stressors that may disturb oral and systemic homeostasis. Alterations in salivary secretion, mucosal immunity, and microbiome composition reflect adaptive cellular responses to chronic occupational stress. Understanding these mechanisms may provide a biological framework for resilience [...] Read more.
Background: Healthcare professionals experience continuous biological and psychosocial stressors that may disturb oral and systemic homeostasis. Alterations in salivary secretion, mucosal immunity, and microbiome composition reflect adaptive cellular responses to chronic occupational stress. Understanding these mechanisms may provide a biological framework for resilience and wellbeing in everyday clinical practice. Objective: To narratively review the evidence linking oral cellular and molecular mechanisms—salivary biomarkers, epithelial and immune cell activity, and microbiome dynamics—with stress, fatigue, burnout, and wellbeing outcomes among healthcare professionals. Methods: This narrative review employed a PRISMA-guided literature search of PubMed, Scopus, Web of Science, and Cochrane Oral Health to enhance transparency and coverage across databases. Given the heterogeneity of study designs and outcomes, data were synthesized thematically without quantitative pooling or formal meta-analysis. Methodological strength was evaluated qualitatively, focusing on biomarker validity, sampling conditions, and conceptual relevance. Eligible designs included observational, experimental, and interventional studies. Results: Evidence from 99 studies suggests that chronic occupational stress elevates salivary cortisol, oxidative stress markers, and pro-inflammatory cytokines (IL-6, TNF-α), while reducing protective salivary immunoglobulin A and microbiome diversity. Balanced oral immune and microbial profiles were associated with better psychological adaptation and lower fatigue indices. Conclusions: Oral cellular homeostasis offers a promising window into the biological underpinnings of occupational stress and resilience in healthcare professionals. Systematic integration of salivary and mucosal biomarkers into workplace wellbeing programs could enhance early detection of dysregulated stress physiology. Future interdisciplinary research should bridge oral biology, occupational medicine, and mental health to strengthen sustainable wellbeing strategies across the health workforce. Full article
(This article belongs to the Special Issue Cellular Mechanisms in Oral Cavity Homeostasis and Disease)
Show Figures

Graphical abstract

18 pages, 333 KB  
Article
Participant Perceptions of a University Continuing Education Intervention Addressing Job Burnout and Self-Care Strategies
by Brandon Workman, Laura Nabors and Samuel Adabla
Int. J. Environ. Res. Public Health 2026, 23(2), 263; https://doi.org/10.3390/ijerph23020263 - 20 Feb 2026
Viewed by 273
Abstract
Objective: The current study assessed outcomes of a continuing professional education program aimed at managing job-related stress to assist employees with recognizing and managing burnout and enhancing both productivity and overall well-being. Study Design: This study outlines the implementation of a [...] Read more.
Objective: The current study assessed outcomes of a continuing professional education program aimed at managing job-related stress to assist employees with recognizing and managing burnout and enhancing both productivity and overall well-being. Study Design: This study outlines the implementation of a needs assessment survey and the development of a non-credit training course for working professionals that addressed risks of burnout, suicidality, and self-care strategies to support mental health in the workplace. Methods: The sample for the current study consisted of 398 predominantly mid- to senior-level professionals. Participants were divided into two cohorts. The first cohort completed a structured needs assessment survey between June 2023 and July 2023 and provided ideas for curriculum development. The second cohort participated in synchronous, instructor-led virtual training sessions and completed pre- and post-training questionnaires between January 2024 and June 2024. A mixed-method content analysis was conducted to identify recurring themes and their frequency in course questionnaires. Results: Findings suggest that the training successfully expanded participants’ understanding of signs of burnout and of new approaches to improve well-being in the workplace including forming friendships, engaging in mindfulness activities, and taking time off for a mental health day. Conclusions: Future research should explore the long-term impacts of such interventions and compare delivery methods, including virtual and in-person formats, to determine the most effective approaches for promoting mental well-being at work. Full article
Back to TopTop