Sign in to use this feature.

Years

Between: -

Subjects

remove_circle_outline
remove_circle_outline
remove_circle_outline
remove_circle_outline
remove_circle_outline
remove_circle_outline
remove_circle_outline
remove_circle_outline
remove_circle_outline

Journals

Article Types

Countries / Regions

Search Results (30)

Search Parameters:
Keywords = website blocking

Order results
Result details
Results per page
Select all
Export citation of selected articles as:
18 pages, 1101 KB  
Article
When Does Website Blocking Actually Work?
by Aaron Herps, Paul A. Watters, Daniela Simone and Jeffrey L. Foster
Laws 2025, 14(6), 81; https://doi.org/10.3390/laws14060081 (registering DOI) - 26 Oct 2025
Abstract
This study systematically evaluates website blocking as both an anti-piracy enforcement mechanism and a cybersecurity control, analyzing its effectiveness in reducing piracy across four Southeast Asian jurisdictions with distinct legal frameworks, assessing blocking speed, procedural barriers, and circumvention tactics, providing new empirical insights [...] Read more.
This study systematically evaluates website blocking as both an anti-piracy enforcement mechanism and a cybersecurity control, analyzing its effectiveness in reducing piracy across four Southeast Asian jurisdictions with distinct legal frameworks, assessing blocking speed, procedural barriers, and circumvention tactics, providing new empirical insights for policymakers and cybersecurity practitioners. Using a quasi-experimental design during the COVID-19 pandemic, this research examines the impact of website blocking measures in Indonesia, Vietnam, Malaysia, and Singapore. For the first time, the findings reveal that swift, systematic website blocking—exemplified by Indonesia—serves as an effective cybersecurity control, significantly reducing access to infringing content while redirecting traffic toward legitimate platforms. Jurisdictions with procedural delays and inconsistent enforcement, however, demonstrate limited efficacy, highlighting the need for dynamic responses to evolving threats such as domain hopping and proxy servers. The findings inform broader cybersecurity applications like network segmentation, access control, and threat intelligence. This work links traditional copyright enforcement to proactive incident detection and response strategies, providing insights into broader applications for cybersecurity, such as network segmentation, access control, and threat intelligence. Full article
Show Figures

Figure 1

22 pages, 359 KB  
Review
Human Papillomavirus-Related Cancer Vaccine Strategies
by Xia Cai and Ling Xu
Vaccines 2024, 12(11), 1291; https://doi.org/10.3390/vaccines12111291 - 19 Nov 2024
Cited by 5 | Viewed by 4159
Abstract
Background: Human papillomavirus (HPV) persistent infection is a major pathogenic factor for HPV-related cancers, such as cervical cancer (CC), vaginal cancer, vulvar cancer, anal cancer, penile cancer, and head and neck cancer (HNC). Since the introduction of the world’s first prophylactic HPV vaccine, [...] Read more.
Background: Human papillomavirus (HPV) persistent infection is a major pathogenic factor for HPV-related cancers, such as cervical cancer (CC), vaginal cancer, vulvar cancer, anal cancer, penile cancer, and head and neck cancer (HNC). Since the introduction of the world’s first prophylactic HPV vaccine, there has been a decline in the incidence of HPV infections and associated cancers. This article reviews the latest literature on the research progress, efficacy, and safety of HPV vaccines for these cancers, providing a reference for HPV vaccination strategy. Methods: By utilizing databases such as PubMed, Google Scholar, CNKI, and Wanfang, we conducted a literature search on research papers related to HPV vaccines from 2014 to 2024, employing keywords such as “HPV”, “HPV vaccine”, “CC”, ”vaginal cancer”, “vulvar cancer”, “anal cancer”, “penile cancer” and “HNC”. Additionally, we reviewed the latest information available on official websites, including the World Health Organization (WHO). Based on the quality and relevance of the papers, we selected over 100 of the most representative articles for further summarization and analysis. Results: Vaccination against HPV can effectively block the transmission of the virus and prevent HPV-related cancers. Current studies have confirmed the efficacy and safety of prophylactic HPV vaccination. However, numerous challenges remain. The global vaccination rate for preventive vaccines remains low, particularly in low- and middle-income countries. Nonetheless, in the future, we can enhance the accessibility, affordability, and coverage of HPV vaccines by expanding the indications of already licensed vaccines, continuously developing new vaccines. Conclusions: The HPV vaccine is an extremely effective measure for the prevention and treatment of HPV-related cancers. Although there are many challenges in expanding the coverage of the HPV vaccine. It is believed that in the not-too-distant future, both prophylactic and therapeutic HPV vaccines will achieve commendable results. Full article
(This article belongs to the Special Issue Vaccine Strategies for HPV-Related Cancers)
15 pages, 6203 KB  
Article
Rapamycin as a Potential Alternative Drug for Squamous Cell Gingiva Carcinoma (Ca9-22): A Focus on Cell Cycle, Apoptosis and Autophagy Genetic Profile
by Sofia Papadakos, Hawraa Issa, Abdulaziz Alamri, Abdullah Alamri and Abdelhabib Semlali
Pharmaceuticals 2024, 17(1), 131; https://doi.org/10.3390/ph17010131 - 19 Jan 2024
Cited by 1 | Viewed by 3317
Abstract
Oral cancer is considered as one of the most common malignancies worldwide. Its conventional treatment primarily involves surgery with or without postoperative adjuvant therapy. The targeting of signaling pathways implicated in tumorigenesis is becoming increasingly prevalent in the development of new anticancer drug [...] Read more.
Oral cancer is considered as one of the most common malignancies worldwide. Its conventional treatment primarily involves surgery with or without postoperative adjuvant therapy. The targeting of signaling pathways implicated in tumorigenesis is becoming increasingly prevalent in the development of new anticancer drug candidates. Based on our recently published data, Rapamycin, an inhibitor of the mTOR pathway, exhibits selective antitumor activity in oral cancer by inhibiting cell proliferation and inducing cancer cell apoptosis, autophagy, and cellular stress. In the present study, our focus is on elucidating the genetic determinants of Rapamycin’s action and the interaction networks accountable for tumorigenesis suppression. To achieve this, gingival carcinoma cell lines (Ca9-22) were exposed to Rapamycin at IC50 (10 µM) for 24 h. Subsequently, we investigated the genetic profiles related to the cell cycle, apoptosis, and autophagy, as well as gene–gene interactions, using QPCR arrays and the Gene MANIA website. Overall, our results showed that Rapamycin at 10 µM significantly inhibits the growth of Ca9-22 cells after 24 h of treatment by around 50% by suppression of key modulators in the G2/M transition, namely, Survivin and CDK5RAP1. The combination of Rapamycin with Cisplatin potentializes the inhibition of Ca9-22 cell proliferation. A P1/Annexin-V assay was performed to evaluate the effect of Rapamycin on cell apoptosis. The results obtained confirm our previous findings in which Rapamycin at 10 μM induces a strong apoptosis of Ca9-22 cells. The live cells decreased, and the late apoptotic cells increased when the cells were treated by Rapamycin. To identify the genes responsible for cell apoptosis induced by Rapamycin, we performed the RT2 Profiler PCR Arrays for 84 apoptotic genes. The blocked cells were believed to be directed towards cell death, confirmed by the downregulation of apoptosis inhibitors involved in both the extrinsic and intrinsic pathways, including BIRC5, BNIP3, CD40LG, DAPK1, LTA, TNFRSF21 and TP73. The observed effects of Rapamycin on tumor suppression are likely to involve the autophagy process, evidenced by the inhibition of autophagy modulators (TGFβ1, RGS19 and AKT1), autophagosome biogenesis components (AMBRA1, ATG9B and TMEM74) and autophagy byproducts (APP). Identifying gene–gene interaction (GGI) networks provided a comprehensive view of the drug’s mechanism and connected the studied tumorigenesis processes to potential functional interactions of various kinds (physical interaction, co-expression, genetic interactions etc.). In conclusion, Rapamycin shows promise as a clinical agent for managing Ca9-22 gingiva carcinoma cells. Full article
(This article belongs to the Section Pharmacology)
Show Figures

Figure 1

25 pages, 2608 KB  
Article
Dependable and Non-Dependable Multi-Authentication Access Constraints to Regulate Third-Party Libraries and Plug-Ins across Platforms
by Santosh Kumar Henge, Gnaniyan Uma Maheswari, Rajakumar Ramalingam, Sultan S. Alshamrani, Mamoon Rashid and Jayalakshmi Murugan
Systems 2023, 11(5), 262; https://doi.org/10.3390/systems11050262 - 21 May 2023
Cited by 4 | Viewed by 2637
Abstract
This article discusses the importance of cross-platform UX/UI designs and frameworks and their effectiveness in building web applications and websites. Third-party libraries (TPL) and plug-ins are also emphasized, as they can help developers quickly build and compose applications. However, using these libraries can [...] Read more.
This article discusses the importance of cross-platform UX/UI designs and frameworks and their effectiveness in building web applications and websites. Third-party libraries (TPL) and plug-ins are also emphasized, as they can help developers quickly build and compose applications. However, using these libraries can also pose security risks, as a vulnerability in any library can compromise an entire server and customer data. The paper proposes using multi-authentication with specific parameters to analyze third-party applications and libraries used in cross-platform development. Based on multi-authentication, the proposed model will make setting up web desensitization methods and access control parameters easier. The study also uses various end-user and client-based decision-making indicators, supporting factors, and data metrics to help make accurate decisions about avoiding and blocking unwanted libraries and plug-ins. The research is based on experimentation with five web environments using specific parameters, affecting factors, and supporting data matrices. Full article
Show Figures

Figure 1

14 pages, 3419 KB  
Article
Investigating the Effect of Binary Gender Preferences on Computational Thinking Skills
by Rose Niousha, Daisuke Saito, Hironori Washizaki and Yoshiaki Fukazawa
Educ. Sci. 2023, 13(5), 433; https://doi.org/10.3390/educsci13050433 - 23 Apr 2023
Cited by 6 | Viewed by 2519
Abstract
The Computer Science industry suffers from a vivid gender gap. To understand this gap, Computational Thinking skills in Computer Science education are analyzed by binary gender roles using block-based programming languages such as Scratch since they are intuitive for beginners. Platforms such as [...] Read more.
The Computer Science industry suffers from a vivid gender gap. To understand this gap, Computational Thinking skills in Computer Science education are analyzed by binary gender roles using block-based programming languages such as Scratch since they are intuitive for beginners. Platforms such as Dr. Scratch, aid learners in improving their coding skills by earning a Computational Thinking score while supporting effective assessments of students' projects and fostering basic computer programming. Although previous studies have examined gender differences using Scratch programs, few have analyzed the Scratch project type's impact on the evaluation process when comparing genders. Herein, the influence of project type is analyzed using instances of 124 (62 male, 62 female) projects on the Scratch website. Initially, projects were categorized based on the user's gender and project type. Hypothetical testing of each case shows that the scoring system has a bias based on the project type. As gender differences appear by project type, the project type may significantly affect the gender gap in Computational Thinking scores. This study demonstrates the importance of incorporating the project type's effect into the Scratch projects' evaluation process when assessing gender differences. Full article
(This article belongs to the Special Issue STEM Education: Current Trends, Perspectives, and Narratives)
Show Figures

Figure 1

14 pages, 603 KB  
Article
Whitelist or Leave Our Website! Advances in the Understanding of User Response to Anti-Ad-Blockers
by Ignacio Redondo and Gloria Aznar
Informatics 2023, 10(1), 30; https://doi.org/10.3390/informatics10010030 - 12 Mar 2023
Cited by 6 | Viewed by 3159
Abstract
Website publishers cannot monetize the ad impressions that are prevented by ad-blockers. Publishers can then employ anti-ad-blockers that force users to choose between either accepting ad impressions by whitelisting the website in the ad-blocker, or leaving the website without accessing the content. This [...] Read more.
Website publishers cannot monetize the ad impressions that are prevented by ad-blockers. Publishers can then employ anti-ad-blockers that force users to choose between either accepting ad impressions by whitelisting the website in the ad-blocker, or leaving the website without accessing the content. This study delineates the mechanisms of how willingness to whitelist/leave the website are affected by the request’s sensitivity to recipients as well as the users’ psychological reactance and evaluation of the website advertising. We tested the proposed relationships using an online panel sample of 500 ad-blocker users, who were asked about their willingness to whitelist/leave their favorite online newspaper after receiving a hypothetical anti-ad-blocker request—four alternative requests with different sensitivity levels were created and randomly assigned to the participants. The results confirmed that (a) the request’s sensitivity can improve the recipient’s compliance, (b) users’ psychological reactance plays an important role in explaining the overall phenomenon, and (c) a favorable evaluation of the website advertising can improve willingness to whitelist. These findings help to better understand user response to anti-ad-blockers and may also help publishers increase their whitelist ratios. Full article
(This article belongs to the Section Human-Computer Interaction)
Show Figures

Figure 1

14 pages, 858 KB  
Article
Effective Techniques for Protecting the Privacy of Web Users
by Maryam Bubukayr and Mounir Frikha
Appl. Sci. 2023, 13(5), 3191; https://doi.org/10.3390/app13053191 - 2 Mar 2023
Cited by 5 | Viewed by 4332
Abstract
With the rapid growth of web networks, the security and privacy of online users are becoming more compromised. Especially, the use of third-party services to track users’ activities and improve website performance. Therefore, it is unavoidable that using personal information to create unique [...] Read more.
With the rapid growth of web networks, the security and privacy of online users are becoming more compromised. Especially, the use of third-party services to track users’ activities and improve website performance. Therefore, it is unavoidable that using personal information to create unique profiles may violate individuals’ privacy. Recently, several tools have been developed such as anonymity, anti-tracking, and browser plugins to ensure the protection of users from third-party tracking methods by blocking JavaScript programs and other website components. However, the current state lacks an efficient approach that provides a comprehensive solution. In this paper, we conducted a systematic analysis of the most common privacy protection tools based on their accuracy and performance by evaluating their effectiveness in correctly classifying tracking and functional JavaScript programs, then evaluating the estimated time the browser takes to render the pages for each tool. To achieve this, we automatically browsed the most 50 websites determined in 2022 and categorized them according to different fields to get the in-page (as part of HTML script tags), and all external JavaScript programs. Then we collected data and datasets of 1578 JavaScript elements and obtained six diverse Firefox profiles when the tools were enabled. The results found that Ghostery has the highest percentage of allowing most functioning scripts with the lowest average error rate (AER). While at the same time NoScript achieved the highest percentage of blocking most tracking scripts since it is the highest blocker of third-party services. After that, we examined the speed of the browser finding that, Ghostery improved the load time by 36.2% faster than the baseline, while Privacy Badger only reduced the load time by 7.1%. We believe that our findings can help users decide on a privacy tool that meets their needs. Moreover, researchers and developers can use our findings to improve the privacy of internet users by designing more effective privacy protection techniques. Full article
Show Figures

Figure 1

16 pages, 5311 KB  
Article
Product Evaluation Prediction Model Based on Multi-Level Deep Feature Fusion
by Qingyan Zhou, Hao Li, Youhua Zhang and Junhong Zheng
Future Internet 2023, 15(1), 31; https://doi.org/10.3390/fi15010031 - 9 Jan 2023
Cited by 2 | Viewed by 2457
Abstract
Traditional product evaluation research is to collect data through questionnaires or interviews to optimize product design, but the whole process takes a long time to deploy and cannot fully reflect the market situation. Aiming at this problem, we propose a product evaluation prediction [...] Read more.
Traditional product evaluation research is to collect data through questionnaires or interviews to optimize product design, but the whole process takes a long time to deploy and cannot fully reflect the market situation. Aiming at this problem, we propose a product evaluation prediction model based on multi-level deep feature fusion of online reviews. It mines product satisfaction from the massive reviews published by users on e-commerce websites, and uses this model to analyze the relationship between design attributes and customer satisfaction, design products based on customer satisfaction. Our proposed model can be divided into the following four parts: First, the DSCNN (Depthwise Separable Convolutions) layer and pooling layer are used to combine extracting shallow features from the primordial data. Secondly, CBAM (Convolutional Block Attention Module) is used to realize the dimension separation of features, enhance the expressive ability of key features in the two dimensions of space and channel, and suppress the influence of redundant information. Thirdly, BiLSTM (Bidirectional Long Short-Term Memory) is used to overcome the complexity and nonlinearity of product evaluation prediction, output the predicted result through the fully connected layer. Finally, using the global optimization capability of the genetic algorithm, the hyperparameter optimization of the model constructed above is carried out. The final forecasting model consists of a series of decision rules that avoid model redundancy and achieve the best forecasting effect. It has been verified that the method proposed in this paper is better than the above-mentioned models in five evaluation indicators such as MSE, MAE, RMSE, MAPE and SMAPE, compared with Support Vector Regression (SVR), DSCNN, BiLSTM and DSCNN-BiLSTM. By predicting customer emotional satisfaction, it can provide accurate decision-making suggestions for enterprises to design new products. Full article
Show Figures

Figure 1

16 pages, 1383 KB  
Article
Torrent Poisoning Protection with a Reverse Proxy Server
by António Godinho, José Rosado, Filipe Sá, Filipe Caldeira and Filipe Cardoso
Electronics 2023, 12(1), 165; https://doi.org/10.3390/electronics12010165 - 30 Dec 2022
Cited by 1 | Viewed by 6893
Abstract
A Distributed Denial-of-Service attack uses multiple sources operating in concert to attack a network or site. A typical DDoS flood attack on a website targets a web server with multiple valid requests, exhausting the server’s resources. The participants in this attack are usually [...] Read more.
A Distributed Denial-of-Service attack uses multiple sources operating in concert to attack a network or site. A typical DDoS flood attack on a website targets a web server with multiple valid requests, exhausting the server’s resources. The participants in this attack are usually compromised/infected computers controlled by the attackers. There are several variations of this kind of attack, and torrent index poisoning is one. A Distributed Denial-of-Service (DDoS) attack using torrent poisoning, more specifically using index poisoning, is one of the most effective and disruptive types of attacks. These web flooding attacks originate from BitTorrent-based file-sharing communities, where the participants using the BitTorrent applications cannot detect their involvement. The antivirus and other tools cannot detect the altered torrent file, making the BitTorrent client target the webserver. The use of reverse proxy servers can block this type of request from reaching the web server, preventing the severity and impact on the service of the DDoS. In this paper, we analyze a torrent index poisoning DDoS to a higher education institution, the impact on the network systems and servers, and the mitigation measures implemented. Full article
(This article belongs to the Special Issue Network and Mobile Systems Security, Privacy and Forensics)
Show Figures

Figure 1

15 pages, 785 KB  
Article
On Detecting Cryptojacking on Websites: Revisiting the Use of Classifiers
by Fredy Andrés Aponte-Novoa, Daniel Povedano Álvarez, Ricardo Villanueva-Polanco, Ana Lucila Sandoval Orozco and Luis Javier García Villalba
Sensors 2022, 22(23), 9219; https://doi.org/10.3390/s22239219 - 27 Nov 2022
Cited by 9 | Viewed by 4426
Abstract
Cryptojacking or illegal mining is a form of malware that hides in the victim’s computer and takes the computational resources to extract cryptocurrencies in favor of the attacker. It generates significant computational consumption, reducing the computational efficiency of the victim’s computer. This attack [...] Read more.
Cryptojacking or illegal mining is a form of malware that hides in the victim’s computer and takes the computational resources to extract cryptocurrencies in favor of the attacker. It generates significant computational consumption, reducing the computational efficiency of the victim’s computer. This attack has increased due to the rise of cryptocurrencies and their profitability and its difficult detection by the user. The identification and blocking of this type of malware have become an aspect of research related to cryptocurrencies and blockchain technology; in the literature, some machine learning and deep learning techniques are presented, but they are still susceptible to improvement. In this work, we explore multiple Machine Learning classification models for detecting cryptojacking on websites, such as Logistic Regression, Decision Tree, Random Forest, Gradient Boosting Classifier, k-Nearest Neighbor, and XGBoost. To this end, we make use of a dataset, composed of network and host features’ samples, to which we apply various feature selection methods such as those based on statistical methods, e.g., Test Anova, and other methods as Wrappers, not only to reduce the complexity of the built models but also to discover the features with the greatest predictive power. Our results suggest that simple models such as Logistic Regression, Decision Tree, Random Forest, Gradient Boosting, and k-Nearest Neighbor models, can achieve success rate similar to or greater than that of advanced algorithms such as XGBoost and even those of other works based on Deep Learning. Full article
(This article belongs to the Special Issue Intelligent Solutions for Cybersecurity)
Show Figures

Figure 1

7 pages, 207 KB  
Data Descriptor
Ground Truth Dataset: Objectionable Web Content
by Hamza H. M. Altarturi and Nor Badrul Anuar
Data 2022, 7(11), 153; https://doi.org/10.3390/data7110153 - 7 Nov 2022
Cited by 3 | Viewed by 2805
Abstract
Cyber parental control aims to filter objectionable web content and prevent children from being exposed to harmful content. Succeeding in detecting and blocking objectionable content depends heavily on the accuracy of the topic model. A reliable ground truth dataset is essential for building [...] Read more.
Cyber parental control aims to filter objectionable web content and prevent children from being exposed to harmful content. Succeeding in detecting and blocking objectionable content depends heavily on the accuracy of the topic model. A reliable ground truth dataset is essential for building effective cyber parental control models and validation of new detection methods. The ground truth is the measurement for labeling objectionable and unobjectionable websites of the cyber parental control dataset. The lack of publicly accessible datasets with a reliable ground truth has prevented a fair and coherent comparison of different methods proposed in the field of cyber parental control. This paper presents a ground truth dataset that contains 8000 labelled websites with 4000 objectionable websites and 4000 unobjectionable websites. These websites consist of more than 2 million web pages. Creating a ground truth objectionable web content dataset involved a few phases, including data collection, extraction, and labeling. Finally, the presence of bias, using kappa coefficient measurement, is addressed. The ground truth dataset is available publicly in the Mendeley repository. Full article
(This article belongs to the Section Information Systems and Data Management)
11 pages, 664 KB  
Article
Plastics Crash Course: A Website for Teaching Plastics Recycling and Microplastics Prevention through Infographics
by Madison R. Reed and Wan-Ting Chen
Recycling 2022, 7(5), 65; https://doi.org/10.3390/recycling7050065 - 7 Sep 2022
Cited by 4 | Viewed by 5584
Abstract
Microplastic particles have been found virtually everywhere, including within our food and drinking water. While the implications of microplastics on human health are not fully known, early effects have been seen on marine life and the environment. Studies have shown that microplastics can [...] Read more.
Microplastic particles have been found virtually everywhere, including within our food and drinking water. While the implications of microplastics on human health are not fully known, early effects have been seen on marine life and the environment. Studies have shown that microplastics can cause changes in the reproductive habits of marine life by blocking digestive tracts, causing abrasions to the mouth and esophagi of small animals upon ingestion, and altering feeding behavior. While much of the blame for our plastics pollution problem should be shifted to irresponsible manufacturing, we as consumers must make choices to benefit the environment by reducing our use and learning how to effectively recycle plastic waste. The Plastics Crash Course combines visual learning with plastics recycling knowledge to educate the public about why we need plastics and why we should recycle them. Microplastics formation and general guides for plastic recycling were also included in the Plastics Crash Course. Out of 120 participants, 95% responded that they had learned new information. From the pre-survey, participants responded, saying they thought all plastic was the same and that it just varied in density to provide different properties, so they would recycle everything. After reading the infographics on the Plastics Crash Course website, most participants said they learned what plastics can be recycled and what their resin identifying codes mean, how microplastics form, and that there is more than one type of plastic. Full article
(This article belongs to the Special Issue Advances in the Recycling and Processing of Plastic Waste)
Show Figures

Graphical abstract

29 pages, 4575 KB  
Review
Fireflies in Art: Emphasis on Japanese Woodblock Prints from the Edo, Meiji, and Taishō Periods
by Deirdre A. Prischmann-Voldseth
Insects 2022, 13(9), 775; https://doi.org/10.3390/insects13090775 - 27 Aug 2022
Cited by 2 | Viewed by 9360
Abstract
Examining how insects are represented in artwork can provide insight into people’s perceptions and attitudes towards arthropods, as well as document human–insect interactions and how they change through time. Fireflies are well-known bioluminescent beetles (Coleoptera: Lampyridae) of great cultural significance, especially in Japan. [...] Read more.
Examining how insects are represented in artwork can provide insight into people’s perceptions and attitudes towards arthropods, as well as document human–insect interactions and how they change through time. Fireflies are well-known bioluminescent beetles (Coleoptera: Lampyridae) of great cultural significance, especially in Japan. A selection of online museum collections, art databases, and dealer websites were used to find artwork featuring fireflies, with an emphasis on Japanese ukiyo-e wood block prints from the Edo, Meiji, and Taishō time periods (1600–1926). Quotes from early twentieth century texts were used to provide additional historical context. Over 90 different artists created artwork featuring fireflies, including several renowned masters. Artists depicted adult fireflies in a variety of ways (e.g., relatively accurately, more generalized, symbolic or abstract, yellowish dots) in the absence and presence of people. Most images were set outdoors during the evening near water, and primarily featured women and children, groups of women, and large parties catching fireflies or observing caged fireflies. ‘Beauties’, geisha, courtesans, kabuki actors, and insect vendors were also common subjects. Various types of collecting tools and a diversity of cages were featured, as well as insect vendors. The artwork highlights the complex connections between fireflies and humans. Insect-related art can contribute to education and conservation efforts, particularly for dynamic insects such as fireflies that are facing global population declines. Full article
(This article belongs to the Special Issue Insects and Art)
Show Figures

Figure 1

15 pages, 5810 KB  
Article
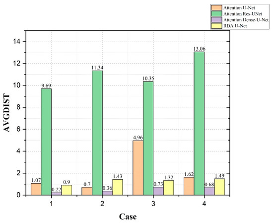
Development of Novel Residual-Dense-Attention (RDA) U-Net Network Architecture for Hepatocellular Carcinoma Segmentation
by Wen-Fan Chen, Hsin-You Ou, Han-Yu Lin, Chia-Po Wei, Chien-Chang Liao, Yu-Fan Cheng and Cheng-Tang Pan
Diagnostics 2022, 12(8), 1916; https://doi.org/10.3390/diagnostics12081916 - 8 Aug 2022
Cited by 13 | Viewed by 3572
Abstract
The research was based on the image recognition technology of artificial intelligence, which is expected to assist physicians in making correct decisions through deep learning. The liver dataset used in this study was derived from the open source website (LiTS) and the data [...] Read more.
The research was based on the image recognition technology of artificial intelligence, which is expected to assist physicians in making correct decisions through deep learning. The liver dataset used in this study was derived from the open source website (LiTS) and the data provided by the Kaohsiung Chang Gung Memorial Hospital. CT images were used for organ recognition and lesion segmentation; the proposed Residual-Dense-Attention (RDA) U-Net can achieve high accuracy without the use of contrast. In this study, U-Net neural network was used to combine ResBlock in ResNet with Dense Block in DenseNet in the coder part, allowing the training to maintain the parameters while reducing the overall recognition computation time. The decoder was equipped with Attention Gates to suppress the irrelevant areas of the image while focusing on the significant features. The RDA model was used to identify and segment liver organs and lesions from CT images of the abdominal cavity, and excellent segmentation was achieved for the liver located on the left side, right side, near the heart, and near the lower abdomen with other organs. Better recognition was also achieved for large, small, and single and multiple lesions. The study was able to reduce the overall computation time by about 28% compared to other convolutions, and the accuracy of liver and lesion segmentation reached 96% and 94.8%, with IoU values of 89.5% and 87%, and AVGDIST of 0.28 and 0.80, respectively. Full article
(This article belongs to the Section Machine Learning and Artificial Intelligence in Diagnostics)
Show Figures

Figure 1

5 pages, 197 KB  
Editorial
Contributions to the 2021 IS4SI Summit from the 13th International Workshop on Natural Computing (IWNC)
by Marcin J. Schroeder
Proceedings 2022, 81(1), 5; https://doi.org/10.3390/proceedings2022081005 - 8 Mar 2022
Viewed by 1972
Abstract
This is an outline of contributions from the 13th International Workshop on Natural Computing (IWNC), which was one of the ten conferences of the 2021 Summit of the International Society for the Study of Information held online on 12–19 September 2021. Each of [...] Read more.
This is an outline of contributions from the 13th International Workshop on Natural Computing (IWNC), which was one of the ten conferences of the 2021 Summit of the International Society for the Study of Information held online on 12–19 September 2021. Each of the ten conferences contributing to the summit had a 3–6 h block of plenary time with the program (usually invited lectures and panel discussions) intended for all participants of the Summit. Outside of the assigned plenary time, conferences had parallel programs of more specialized, technical, or focused presentations. All plenary events and some parallel internal events of the conferences federated into the summit were recorded. Links to several of these recordings and extended abstracts of all presentations are available at the IS4SI website. Five of the papers presented at the IWNC were submitted and accepted for publication in the Special Issue of Proceedings. Full article
Back to TopTop