error_outline You can access the new MDPI.com website here. Explore and share your feedback with us.
 
 
Sign in to use this feature.

Years

Between: -

Subjects

remove_circle_outline
remove_circle_outline
remove_circle_outline
remove_circle_outline
remove_circle_outline

Journals

Article Types

Countries / Regions

Search Results (5)

Search Parameters:
Keywords = water inertia time constant

Order results
Result details
Results per page
Select all
Export citation of selected articles as:
15 pages, 2045 KB  
Article
Characterization of Hydrogen-in-Oxygen Changes in Alkaline Electrolysis Hydrogen Production System and Analysis of Influencing Factors
by Shuiyong Wang, Huabin Chen, Song Hu, Wanxiang Zhao, Mingya Chen, Dongfang Chen and Xiaoming Xu
Processes 2025, 13(8), 2517; https://doi.org/10.3390/pr13082517 - 10 Aug 2025
Cited by 1 | Viewed by 2202
Abstract
Industrial alkaline water electrolysis systems face challenges in maintaining hydrogen-in-oxygen impurity within safe limits under fluctuating operating conditions. This study aims to characterize the dynamic response of hydrogen-in-oxygen concentration in an industrial 10 kW alkaline water electrolysis test platform (2 Nm3/h [...] Read more.
Industrial alkaline water electrolysis systems face challenges in maintaining hydrogen-in-oxygen impurity within safe limits under fluctuating operating conditions. This study aims to characterize the dynamic response of hydrogen-in-oxygen concentration in an industrial 10 kW alkaline water electrolysis test platform (2 Nm3/h hydrogen output at 1.6 MPa and 90 °C) and to identify how operating parameters influence hydrogen-in-oxygen behavior. We systematically varied the cell current, system pressure, and electrolyte flow rate while monitoring real-time hydrogen-in-oxygen levels. The results show that hydrogen-in-oxygen exhibits significant inertia and delay: during startup, hydrogen-in-oxygen remained below the 2% safety threshold and stabilized at 0.9% at full load, whereas a step decrease to 60% load caused hydrogen-in-oxygen to rise to 1.6%. Furthermore, reducing the pressure from 1.4 to 1.0 MPa lowered the hydrogen-in-oxygen concentration by up to 15%, and halving the alkaline flow rate suppressed hydrogen-in-oxygen by over 20% compared to constant conditions. These findings provide new quantitative insights into hydrogen-in-oxygen dynamics and offer a basis for optimizing control strategies to keep gas purity within safe limits in industrial-scale alkaline water electrolysis systems. Full article
Show Figures

Figure 1

28 pages, 5361 KB  
Article
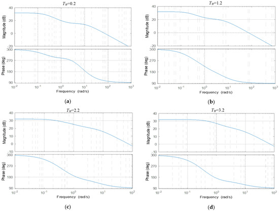
Small-Disturbance Stability Analysis of Doubly Fed Variable-Speed Pumped Storage Units
by Xiangyang Yu, Yujie Cui, Hao Qi, Chunyang Gao, Ziming He and Haipeng Nan
Energies 2025, 18(11), 2796; https://doi.org/10.3390/en18112796 - 27 May 2025
Viewed by 657
Abstract
The variable-speed operation mode of pumped storage units improves the regulation performance and endows the units with characteristics such as isolation from the power grid, thereby affecting the system stability. This study establishes a detailed mathematical model for the connection of doubly fed [...] Read more.
The variable-speed operation mode of pumped storage units improves the regulation performance and endows the units with characteristics such as isolation from the power grid, thereby affecting the system stability. This study establishes a detailed mathematical model for the connection of doubly fed induction generator-based variable-speed pumped storage (DFIG-VSPS) to a single-machine infinite bus system under power generation conditions in the synchronous rotation direct-quadrature-zero coordinate system. The introduction of the eigenvalue method to analyze the small-disturbance stability of doubly fed variable-speed pumped storage units and the use of participation factors to calculate the degree of influence of each state variable on the small-disturbance stability of the units are innovations of this study. The participation factor enhances flexibility, continuity, and efficiency in doubly fed variable-speed pumped storage by optimizing dynamic power paths and enabling multi-objective control coordination. While eigenvalue analysis is not new, this study is the first to apply it with participation factors to DFIG-VSPS, addressing gaps in prior simplified models. Furthermore, based on the changes in the characteristic root trajectories, the influence of changes in the speed control system parameters and converter controller parameters on the system stability was determined. Finally, the conclusions obtained were verified through simulation. The results indicate that increasing the time constant of water flow inertia poses a risk of system instability, and the increase in proportional parameters and decrease in integral parameters of the power outer loop controller significantly affect the system stability. Full article
Show Figures

Figure 1

19 pages, 11985 KB  
Article
Diagnostics of a Domestic Hot Water Storage Tank under Operating Conditions
by Paweł Obstawski, Monika Janaszek-Mańkowska and Arkadiusz Ratajski
Processes 2021, 9(10), 1771; https://doi.org/10.3390/pr9101771 - 2 Oct 2021
Cited by 3 | Viewed by 3004
Abstract
This paper presents a new method for the diagnostics of a hot water storage tank under operating conditions. Depending on the operating point of the tank, the method enables determination of thermal conductivity coefficients of the coil heat exchanger, which allows us to [...] Read more.
This paper presents a new method for the diagnostics of a hot water storage tank under operating conditions. Depending on the operating point of the tank, the method enables determination of thermal conductivity coefficients of the coil heat exchanger, which allows us to determine the intensity of heat transfer between the transfer medium and water in the tank as well as of tank walls, which consequently enables determination of heat losses to the environment. Furthermore, the dynamic properties of the tank may also be determined by applying this method. The advantage of this method is possibility of analyzing changes in the material constants of the coil heat exchanger, tank walls, and dynamic properties of the tank as a function of mass flow of the medium supplying the coil heat exchanger. The possibility of determining coefficients of thermal conductivity as well as the inertia of tank and exchanger, based on temperature measurements acquired in operating conditions is a novelty in this paper. Knowing the variability of material constants and of dynamic properties of the tank as a function of medium flow rate allows multicriteria optimization to be performed which, with a conventional design of the tank, results in a reduction of up to 10% in the time taken to prepare domestic hot water. Full article
(This article belongs to the Topic Sustainable Energy Technology)
Show Figures

Figure 1

19 pages, 3226 KB  
Article
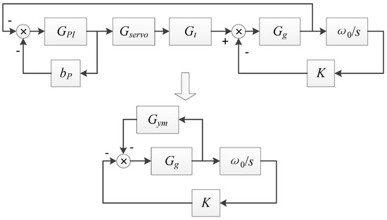
Stability Analysis of Different Regulation Modes of Hydropower Units
by Xinran Guo, Yuanchu Cheng, Jiada Wei and Yitian Luo
Energies 2021, 14(7), 1933; https://doi.org/10.3390/en14071933 - 31 Mar 2021
Viewed by 1974
Abstract
The dynamic characteristics of hydropower unit governing systems considerably influence the stability of hydropower units and the connected power system. The dynamic performances of hydropower units with power regulation mode (PRM) and opening regulation mode (ORM) are different. This paper establishes a detailed [...] Read more.
The dynamic characteristics of hydropower unit governing systems considerably influence the stability of hydropower units and the connected power system. The dynamic performances of hydropower units with power regulation mode (PRM) and opening regulation mode (ORM) are different. This paper establishes a detailed linear model of a hydropower unit based on the Phillips–Heffron model. The damping characteristic and stability of two regulation modes with different water inertia time constants TW were analyzed. ORM tended to provide negative damping, while PRM often provided positive damping in the major parts of the frequency range within the normal frequency oscillations when TW was large. Eigenvalue analysis illustrated that PRM has better stability than ORM. To validate the analysis, a simulation under two typical faults WAS conducted based on a nonlinear model of a hydropower unit. The simulation results illustrated that the responses of units with PRM are more stable in terms of important operating parameters, such as output power, rotor speed, and power angles. For hydropower units facing challenges in stable operation, PRM is recommended to obtain good dynamic stability. Full article
(This article belongs to the Section A: Sustainable Energy)
Show Figures

Figure 1

22 pages, 6347 KB  
Article
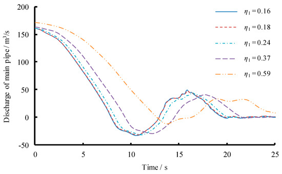
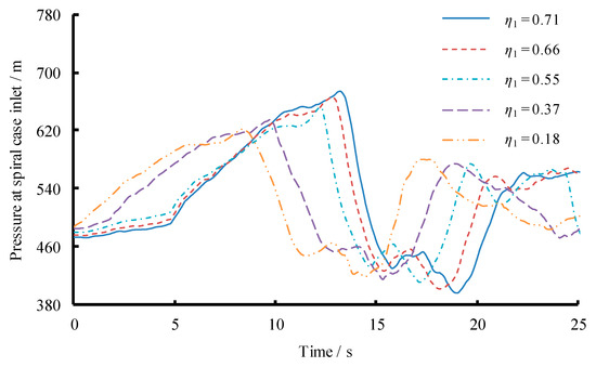
Influence Mechanism of Geometric Characteristics of Water Conveyance System on Extreme Water Hammer during Load Rejection in Pumped Storage Plants
by Sheng Chen, Jian Zhang, Gaohui Li and Xiaodong Yu
Energies 2019, 12(15), 2854; https://doi.org/10.3390/en12152854 - 24 Jul 2019
Cited by 16 | Viewed by 3167
Abstract
Pumped storage plants (PSPs) have achieved rapid development and deployment worldwide since the penetration of intermittent renewable energy sources (RES). Hydraulic transient analysis in the PSP, to obtain the control parameters such as extreme water hammer pressure, is vital to the safe design [...] Read more.
Pumped storage plants (PSPs) have achieved rapid development and deployment worldwide since the penetration of intermittent renewable energy sources (RES). Hydraulic transient analysis in the PSP, to obtain the control parameters such as extreme water hammer pressure, is vital to the safe design of water conveyance system. Empirically, simultaneous load rejection (SLR) is commonly accepted as the control condition for extreme water hammer, while it is not completely true for the PSP. Employing theoretical analysis and numerical simulation, this study systematically investigates the effects of geometric characteristics on the extreme water hammer, and reveals the mechanism leading to the maximum spiral case pressure (SCP) during a two-stage load rejection (TLR) process. The results indicate that the extreme water hammer pressure is closely related to geometric characteristics of the water conveyance system, performing the allocation of the water inertia time constant of the main and branch pipelines. When the water inertia time constant in the branch pipe is dominant (η1 > 0.24 for example), the maximum SCP will occur in TLR conditions rather than SLR. Moreover, the maximum SCP is almost the same, providing the water inertia time constants of both the main and branch pipelines are kept constant. Full article
(This article belongs to the Section D: Energy Storage and Application)
Show Figures

Graphical abstract

Back to TopTop