Sign in to use this feature.

Years

Between: -

Subjects

remove_circle_outline
remove_circle_outline
remove_circle_outline
remove_circle_outline
remove_circle_outline
remove_circle_outline
remove_circle_outline

Journals

Article Types

Countries / Regions

Search Results (6)

Search Parameters:
Keywords = vertical handover scheme

Order results
Result details
Results per page
Select all
Export citation of selected articles as:
20 pages, 2998 KB  
Article
Research on Network Handover Based on User Movement Prediction in Visible Light Communication and Wi-Fi Heterogeneous Networks
by Chenghu Ke, Mengfan Wang, Huanhuan Qin and Xizheng Ke
Appl. Sci. 2025, 15(4), 2188; https://doi.org/10.3390/app15042188 - 18 Feb 2025
Cited by 2 | Viewed by 1430
Abstract
This paper addresses the handover challenge in indoor visible light communication and Wi-Fi heterogeneous networks, proposing an adaptive handover strategy based on user trajectory prediction. Extracting meaningful and important location points from massive trajectory data for clustering, an improved hidden Markov model is [...] Read more.
This paper addresses the handover challenge in indoor visible light communication and Wi-Fi heterogeneous networks, proposing an adaptive handover strategy based on user trajectory prediction. Extracting meaningful and important location points from massive trajectory data for clustering, an improved hidden Markov model is used to predict the user’s next location by analyzing the patterns of the user’s historical mobile trajectory data. The Q-learning algorithm is then used to determine the optimal network handover based on the current network state, while a seamless handover protocol is introduced to ensure successful network transition and uninterrupted data transmission. Compared with the traditional STD-LTE handover scheme, the proposed algorithm can reduce vertical handover rates by up to 32% during fast walking. When indoor user connections increase, the algorithm can maintain high fairness and high throughput when indoor user connections increase, verifying that it is robust in different scenarios. Full article
Show Figures

Figure 1

15 pages, 1282 KB  
Article
A Hybrid Handover Scheme for Vehicular VLC/RF Communication Networks
by Linqiong Jia, Shicheng Feng, Yijin Zhang and Jin-Yuan Wang
Sensors 2024, 24(13), 4323; https://doi.org/10.3390/s24134323 - 3 Jul 2024
Cited by 6 | Viewed by 2343
Abstract
Visible light communication (VLC) is a promising complementary technology to its radio frequency (RF) counterpart to satisfy the high quality-of-service (QoS) requirements of intelligent vehicular communications by reusing LED street lights. In this paper, a hybrid handover scheme for vehicular VLC/RF communication networks [...] Read more.
Visible light communication (VLC) is a promising complementary technology to its radio frequency (RF) counterpart to satisfy the high quality-of-service (QoS) requirements of intelligent vehicular communications by reusing LED street lights. In this paper, a hybrid handover scheme for vehicular VLC/RF communication networks is proposed to balance QoS and handover costs by considering the vertical handover and horizontal handover together judging from the mobile state of the vehicle. A Markov decision process (MDP) is formulated to describe this hybrid handover problem, with a cost function balancing the handover consumption, delay, and reliability. A value iteration algorithm was applied to solve the optimal handover policy. The simulation results demonstrated the performance of the proposed hybrid handover scheme in comparison to other benchmark schemes. Full article
(This article belongs to the Special Issue Automotive Visible Light Communications (AutoVLC))
Show Figures

Figure 1

13 pages, 6499 KB  
Article
Heterogeneous Network Switching Strategy Based on Communication Blind Area Dwell Time
by Cheng Zhang, Yanfeng Tang, Xiuzhuo Wang, Yan Zhang and Xiuyang Li
Sensors 2023, 23(13), 6166; https://doi.org/10.3390/s23136166 - 5 Jul 2023
Cited by 1 | Viewed by 1739
Abstract
The limitation of indoor visible light coverage and the attenuation of its signal when propagating in line-of-sight has seriously affected the stable communication of receiving devices when users move randomly and also aggravated the power consumption of visible light networking systems. According to [...] Read more.
The limitation of indoor visible light coverage and the attenuation of its signal when propagating in line-of-sight has seriously affected the stable communication of receiving devices when users move randomly and also aggravated the power consumption of visible light networking systems. According to the above situation, on the basis of the heterogeneous networking of visible light communication (VLC) and RF communication integration, this article proposes a horizontal–vertical collaborative handover strategy based on the communication blind area dwell time (CBD-HVHO). Combining asymmetrically clipped optical orthogonal frequency division multiplexing (ACO-OFDM) technology with networking handover technology, ACO-OFDM is used to determine the indoor communication blind area by calculating the bit error rate (BER) value at the signal receiver while reducing the multipath interference generated by visible light signals during channel transmission. To achieve this, set the communication blind channel interruption time as the threshold time, compare the communication blind area dwell time with the threshold time, and finally combine the horizontal and vertical collaborative handover strategies based on the communication blind area dwell time. The simulation results show that the handover probability is 0.009, the average number of handovers is 1.006, and the average network throughput is 195.2826 Mbps. Compared with the previously proposed immediate vertical handover (I-VHO) scheme and the dwell vertical handover (D-VHO) scheme, the communication stability is significantly improved, and the power consumption of the network system is reduced to a certain extent. Full article
(This article belongs to the Section Communications)
Show Figures

Figure 1

20 pages, 5059 KB  
Article
A Real-Time Application-Classification Vertical Handover Scheme for Coexisting Visible Light Communication and Radio Frequency Indoor Networks on Mobile Terminals
by Bingqi Cui, Shengbang Zhou, Chuanqi Li, Qian Zeng, Peng Zhou, Dong Chen, Yangyang Leng and Rui Chen
Electronics 2023, 12(13), 2961; https://doi.org/10.3390/electronics12132961 - 5 Jul 2023
Cited by 1 | Viewed by 1771
Abstract
To enhance the overall communication rate and capacity of mobile networks, a real-time application (RTA)-classification vertical handover (Ac-VHO) scheme is presented for indoor visible light communication (VLC) heterogeneous networks. The scheme considers user mobility, optical link instability, and the variability of real-time applications. [...] Read more.
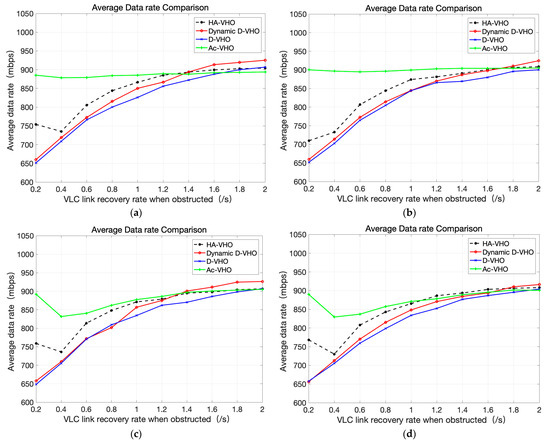
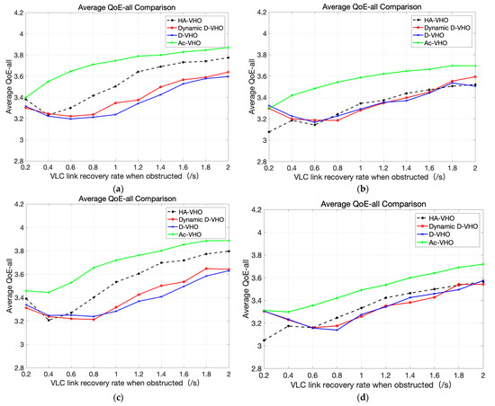
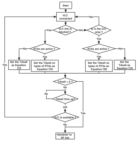
To enhance the overall communication rate and capacity of mobile networks, a real-time application (RTA)-classification vertical handover (Ac-VHO) scheme is presented for indoor visible light communication (VLC) heterogeneous networks. The scheme considers user mobility, optical link instability, and the variability of real-time applications. It incorporates VLC line-of-sight (LOS) blocking and MT entry into co-channel interference (CCI) areas as triggers, while also providing differentiated delay tolerance intervals and optimized handover dwell time calculations for various RTAs, including video, audio (VoIP), and web/text. A simulation and comparative analysis demonstrate the superior performance of Ac-VHO in terms of signaling cost, and its average rate compared to other methods (hybrid application-aware VHO, dynamic time-dwelling VHO, and static time-dwelling VHO). In addition, it maintains a consistent and relatively high overall quality of user experience (QoE) for different RTA types. Full article
Show Figures

Figure 1

16 pages, 1023 KB  
Article
CSVAG: Optimizing Vertical Handoff Using Hybrid Cuckoo Search and Genetic Algorithm-Based Approaches
by Keshav Jha, Akhil Gupta, Abdulatif Alabdulatif, Sudeep Tanwar, Calin Ovidiu Safirescu and Traian Candin Mihaltan
Sustainability 2022, 14(14), 8547; https://doi.org/10.3390/su14148547 - 13 Jul 2022
Cited by 14 | Viewed by 2670
Abstract
One of the primary challenges that wireless technology in the present generation is facing is always best connected (ABC) service. This is possible only when the wireless overlay networks follow a cooperative and coordinated process. Vertical handoff is one such process. Concerning this [...] Read more.
One of the primary challenges that wireless technology in the present generation is facing is always best connected (ABC) service. This is possible only when the wireless overlay networks follow a cooperative and coordinated process. Vertical handoff is one such process. Concerning this process, the main challenge is to develop algorithms that take care of optimal connection management with proper resource utilization for uninterrupted mobility. In this paper, we develop a new hybrid cuckoo search (CS) and genetic algorithm (GA) that maximizes the performance of heterogeneous wireless systems in terms of minimizing latency, handover failure probability, and enhancing the throughput. We focus on an optimized simulation framework to demonstrate the advantage of our hybrid model. It can be discerned from the simulation analysis that the proposed hybrid technique increases throughput by 17% and 8% compared to the cuckoo search and genetic algorithms applied individually. The performance of the proposed scheme is promising for applications wherein the handoff mechanisms have to be optimized to control frequent handoffs to further reduce the power consumption of user equipment. Full article
Show Figures

Figure 1

19 pages, 515 KB  
Article
Vertical Handover Prediction Based on Hidden Markov Model in Heterogeneous VLC-WiFi System
by Oluwaseyi Paul Babalola and Vipin Balyan
Sensors 2022, 22(7), 2473; https://doi.org/10.3390/s22072473 - 23 Mar 2022
Cited by 25 | Viewed by 3386
Abstract
Visible light communication (VLC) channel quality depends on line-of-sight (LoS) transmission, which cannot guarantee continuous transmission due to interruptions caused by blockage and user mobility. Thus, integrating VLC with radio frequency (RF) such asWireless Fidelity (WiFi), provides good quality of experience (QoE) to [...] Read more.
Visible light communication (VLC) channel quality depends on line-of-sight (LoS) transmission, which cannot guarantee continuous transmission due to interruptions caused by blockage and user mobility. Thus, integrating VLC with radio frequency (RF) such asWireless Fidelity (WiFi), provides good quality of experience (QoE) to users. A vertical handover (VHO) scheme that optimizes both the cost of switching and dwelling time of the hybrid VLC–WiFi system is required since blockage on VLC LoS usually occurs for a short period. Hence, an automated VHO algorithm for the VLC–WiFi system based on the hidden Markov model (HMM) is developed in this article. The proposed VHO prediction scheme utilizes the channel characterization of the networks, specifically, the measured received signal strength (RSS) values at different locations. Effective RSS are extracted from the huge datasets using principal component analysis (PCA), which is adopted with HMM, and thus reducing the computational complexity of the model. In comparison with state-of-the-art VHO handover prediction methods, the proposed HMM-based VHO scheme accurately obtains the most likely next assigned access point (AP) by selecting an appropriate time window. The results show a high VHO prediction accuracy and reduced mixed absolute percentage error performance. In addition, the results indicate that the proposed algorithm improves the dwell time on a network and reduces the number of handover events as compared to the threshold-based, fuzzy-controller, and neural network VHO prediction schemes. Thus, it reduces the ping-pong effects associated with the VHO in the heterogeneous VLC–WiFi network. Full article
(This article belongs to the Section Intelligent Sensors)
Show Figures

Figure 1

Back to TopTop