Abstract
To enhance the overall communication rate and capacity of mobile networks, a real-time application (RTA)-classification vertical handover (Ac-VHO) scheme is presented for indoor visible light communication (VLC) heterogeneous networks. The scheme considers user mobility, optical link instability, and the variability of real-time applications. It incorporates VLC line-of-sight (LOS) blocking and MT entry into co-channel interference (CCI) areas as triggers, while also providing differentiated delay tolerance intervals and optimized handover dwell time calculations for various RTAs, including video, audio (VoIP), and web/text. A simulation and comparative analysis demonstrate the superior performance of Ac-VHO in terms of signaling cost, and its average rate compared to other methods (hybrid application-aware VHO, dynamic time-dwelling VHO, and static time-dwelling VHO). In addition, it maintains a consistent and relatively high overall quality of user experience (QoE) for different RTA types.
1. Introduction
In the context of burgeoning applications such as the Internet of Things (IoT), cloud computing, and data centers, mobile communication networks are experiencing exponential growth in data volume and capacity demands. Consequently, the forthcoming sixth-generation mobile network (6G) is envisioned to not only enhance overall communication capacity, speed, and coverage, but also tackle the scarcity of spectrum resources encountered via conventional radio frequency communication (RF) techniques.
Visible light communication (VLC) offers several notable advantages, including immunity to electromagnetic interference, non-interference with authorized spectrum resources, high confidentiality, low networking costs, and minimal resource consumption. As a result, VLC can serve as a crucial supplementary approach in current communication systems [1]. The convergence of VLC with RF and other conventional wireless communication methods presents a promising opportunity to expand coverage, increase communication rates, and enhance network service capacity. This integration effectively addresses the challenge of limited spectrum resources, effectively catering to the communication requirements of specific indoor scenarios, as outlined in Table 1, while establishing a foundation for the development of environmentally friendly and sustainable networks [2].
Table 1.
Special Scenarios for VLC heterogeneous networking.
In VLC-RF heterogeneous networks, two primary challenges impacting communication quality necessitate attention: the vulnerability of VLC line-of-sight links to blockage, and the CCI encountered by mobile terminals (MTs). In the event of a blocked or interrupted VLC link, MTs must perform a vertical handover (VHO) to an alternative communication method to maintain both communication quality and user quality of user experience (QoE). Effective VHO scheme design plays a crucial role in preserving high link quality and user QoE in indoor VLC heterogeneous networks.
In 2022, Okine et al. introduced a pioneering application-aware VHO scheme for indoor VLC-WiFi heterogeneous networks, specifically tailored to multi-user access scenarios. Their approach involved establishing a lower threshold to assess the duration of MT residency for VHO when confronted with an active real-time application (RTA) [3]. The hybrid application-aware VHO scheme (HA-VHO) they designed combines a dynamic time-dwelling scheme [4] and two fundamental VHO schemes: immediate VHO (I-VHO) and static time-dwelling VHO (D-VHO) [5]. In [3], video-based RTAs are taken into account as the main target for active RTAs. HA-VHO determines the dwell time for handover by considering the main factors of VLC link blockage and performance degradation, as well as the activity of the video-based RTA.
Active RTAs in MT are an important factor affecting QoE. HA-VHO uses the activity of video RTAs as a benchmark for determining the activity of RTAs and sets the VHO dwelling time on this basis. However, we believe that using only a video-based RTA as a benchmark does not meet the actual needs of user terminals. Therefore, our study not only considers the main factors that cause blockage and performance degradation in VLC links, as in [3], but also focuses on the three main types of MT alternate activity RTA: video, VoIP, and web. We assume that the time-dwelling VHO algorithm combines various factors to determine an optimal timing for handover. In the case of multiple RTAs, different users have different levels of tolerance for RTAs delays. So, it is necessary to incorporate different psychological tolerance times into the design. We combine these VLC LoS link influencing factors with different RTA types to calculate the best tradeoff for dwell time during handover.
Our simulation results show that our proposed Ac-VHO scheme significantly reduces the signaling cost of frequent handover in an indoor VLC heterogeneous network environment compared with the traditional time-dwelling VHO scheme and time-dwelling VHO without RTA classification. In addition, the integrated QoE is consistently high with the implementation of Ac-VHO.
The main contributions and innovations that we have made are as follows:
- Our proposed Ac-VHO scheme, based on a VLC-RF heterogeneous networking environment, introduces VHO decision making for each of the three types of RTA encountered by MTs for the first time. Additionally, it determines the activation status of an RTA.
- The Ac-VHO scheme incorporates separate user-specific psychological tolerance time intervals for different types of RTA. This approach enhances the flexibility and inclusiveness of the VHO residence time.
- Our scheme makes VHO decisions by considering various factors such as VLC link quality degradation and the activity of different types of RTA. It combines elements from the D-VHO, dynamic D-VHO, and HA-VHO schemes, resulting in a reduced number of unnecessary handovers.
- For an MT moving randomly within an indoor space, we optimize the handover dwell time by taking into account the MT’s RTA usage requirements and the impact of movement speed on the QoE. This optimization ensures a stable and highly integrated QoE even when the MT’s speed changes.
2. Related Work
In the context of indoor VLC heterogeneous networks, it is crucial to design a network decision framework and handover schemes that enable rapid determination of the optimal network and seamless access to it. To address this challenge, some VHO schemes incorporate artificial intelligence schemes.
In [6,7], the authors utilize a Markov decision process framework that employs a dynamic approach to strike a balance between switching costs and delay requirements. This approach facilitates effective decision making during handovers. In [8], Zeshan A. and his team implement a smart-aware VHO mechanism in a converged VLC and WiFi networking environment by integrating a location-aware coordinator. Their approach enhances the efficiency and performance of VHO operations. In [9], the authors propose a context-aware indoor network selection scheme to implement VHO, which exhibits superior convergence speed performance compared to traditional schemes. This scheme takes into account contextual information to optimize the handover decision-making process. Zheng and his team, in [10], develop a scheme based on radial basis function fuzzy neural networks. This approach effectively mitigates the ping-pong effect during network handover, ensuring a smoother and more stable handover process.
These authors highlight various approaches to addressing network decision and handover challenges in indoor VLC heterogeneous networks, ranging from incorporating artificial intelligence schemes, location-aware coordination, and context-aware schemes to fuzzy neural network-based solutions, all aiming to optimize the handover process and enhance the overall network performance.
Time-dwelling schemes have long been employed as a common solution in VHO systems. These schemes enhance the performance of the overall handover system by adjusting the handoff dwell time and logical framework tradeoffs based on the specific environment and requirements. Consequently, this scheme’s framework offers greater flexibility. It is important to note that the duration of the dwell time should be appropriately set.
On one hand, a dwell time that is too short can result in excessive and unnecessary VHOs, leading to the ping-pong effect. On the other hand, an excessively long dwell time can introduce delays and reduce the average transmission rate. One possible solution to this challenge is the design of a dynamic dwell VHO scheme [11].
Some time-dwelling VHO schemes have also been proposed for VLC indoor heterogeneous networking environments. In [4,12], the authors utilize dynamic dwell time settings to adjust the VHO dwell time in response to channel adaptation and changes in link state, thereby improving the overall performance of link data transmission. In [13], Ma G., Parthiban R., and their team gather information on various attributes, such as channel quality, user speed, and arrival data rate. They leverage this information to calculate handover dwell time values and make VHO decisions under different operating conditions in a VLC heterogeneous network environment. Moreover, in [3], the authors propose a hybrid application-aware VHO scheme for multi-user access in an indoor heterogeneous converged VLC networking environment. This scheme determines the dwell time for handover by setting a lower threshold when an RTA is present.
These studies underscore the importance of time-dwelling schemes in VHO systems and exemplify their applicability in VLC indoor heterogeneous network environments. The dynamic adaptation of dwell time and the comprehensive consideration of multiple factors synergistically contribute to the optimization of VHO decisions, leading to enhanced network performance and an improved user experience.
The existing time-dwelling VHO schemes for VLC heterogeneous networking do not account for specific types of RTA. Thus, we have developed a VHO scheme for indoor scenarios with random MT movements by integrating specific RTA types and link quality variations.
3. System Model
3.1. VLC Heterogeneous Networking Architecture
The VLC-RF heterogeneous network is depicted in Figure 1. It comprises multiple VLC access points (APs) and a single RF AP. Specifically, each VLC AP consists of several low-power light-emitting diodes (LEDs) interconnected with the control center through a power cable. On the other hand, the RF network is connected to a femto-base station, and a photosensitive receiver (PD) is situated at the user’s end. RF communication signals span across the entire room, whereas individual VLC APs cover a smaller area. Each region covered by a VLC AP is referred to as an optical cell. Typically, VLC APs are deployed in an overlapping manner to fulfill both communication and lighting requirements. The main parameters covered in this paper are shown in Table 2.
Figure 1.
Composition of VLC/RF HetNet.
Table 2.
Main parameters of this paper.
The VLC-RF network topology, depicted in Figure 2, leverages VLC as the downlink and RF as the complementary uplink and downlink solution to mitigate the instability of the VLC link uplink.
Figure 2.
Network topology of VLC HetNet.
Based on the half-power angle of the transmitter source, the Lambert series ML [14] can be calculated. The distribution of the DC channel gain H in this VLC architecture and the received power Rp,c in the indoor space can be found as follows:
where α represents the half-power angle, Adet denotes the area of the PD, D signifies the distance vector from the receiving plane to the LED light source, Ph represents the angle vector representing the ratio of the height to the receiving plane and the distance vector D, Pt denotes the emitted power, Ts represents the optical filter gain, and Gcon signifies the collector gain. In our experiment, we defined the half-power angle α of the visible LED to be 50 degrees. The contact area Adet of the photodetector surface was set to 0.0001. Additionally, we determined the angle vector Ph to be the ratio of the light source’s height h to the distance vector D between the light source and the receiving terminal. To provide context, we selected a room with a height of 3 m, and the height of the light source h was set to 1.5 m. Lastly, we configured the emission power of a single LED to be 250 watts.
The received power distribution of the VLC APs depicted in Figure 3 can be determined using Equations (1)–(3).
Figure 3.
(a) Receiving power distribution of 9 VLC APs in a room measuring 6 m by 6 m by 3 m; (b) The coverage area of the VLC APs.
Figure 3 illustrates the received power distribution and coverage of nine VLC access points in an indoor space of 6 × 6 × 3 cubic meters. The obvious overlapping area between each VLC AP unit is caused by the coexistence of optical signals emitted by adjacent LED transmitters operating within the same optical wave bandwidth. Intrusion into this region causes the appearance of CCI, resulting in the degradation of VLC link performance. Notably, Figure 1 shows the presence of MT1 in the aforementioned region, which leads to significant degradation in its communication quality.
By establishing the center points of the two VLC coverage cells as 2 m apart and considering the VLC AP coverage area as a circular region with a radius of meters, the average distance L within the overlapping region can be computed to be approximately 0.83 m.
The VLC signal-to-noise ratio can be calculated using Equation (4) [15], where Ω is the reflection coefficient of the photoinductive receiver, c denotes the associated VLC transmitter, Rp,c is the received signal power of the associated VLC, Rp,i is the received signal power of the ith interfering VLC transmitter, W denotes the LED modulation bandwidth, and n0 denotes the noise power spectral density of the short noise.
MTs in the CCI region experience higher bit error rates (BER) due to significant drops in the signal-to-interference-plus-noise ratio (SINR). When the VLC link is blocked, SINR rapidly decreases, triggering VHO for seamless communication. For VLC networks and WLANs, we expect an average SINR of 33 dB and 25 dB, respectively. However, when the MT enters the CCI area, we anticipate an SINR of 3 dB due to the presence of co-channel interference. Furthermore, in the event of a blockage disrupting the VLC link, the SINR deteriorates to −20 dB [3].
3.2. User Random Movement Model
The VLC indoor localization technique provides a means to determine the specific dynamics of users’ random motions within real indoor VLC heterogeneous network environments. High positioning accuracy can be achieved by using LEDs as transmitters [16]. By recording the user’s position and velocity at each moment, the localization technique enables the identification of whether the MT is situated in a CCI area [17]. To address the scenario of MTs moving randomly in VLC heterogeneous networking environments, we enhance the random waypoint (RWP) model to establish a specific model for simulating the random movement of a single MT in a 6 m × 6 m indoor environment. The RWP model is a commonly used mobility model in network simulations [18]. It is used to describe the mobility of humans in a two-dimensional region. In the RWP model, a node randomly chooses to stay in place or move according to a set probability at every moment. It will randomly choose the direction, duration, and speed of movement. A schematic diagram illustrating the stochastic movement model for an MT entering an indoor environment is presented as Figure 4.
Figure 4.
Schematic of MT random movement.
The MT engages in stochastic movement characterized by random displacements within a specified time interval T, governed by maximum velocities Vmax. For Vmax equal to 1.4 m/s, the MT is classified as engaging in fast walking movements, while Vmax equal to 0.6 m/s corresponds to slow walking movements [3]. The direction of movement spans a range from 0 to 2π radians. Following a duration of t for active motion, a pause of tw seconds is introduced before resuming the subsequent sequence of motion patterns.
3.3. Probabilistic Models of RTAs
The QoE in VLC heterogeneous networks is predominantly influenced by the activity of RTAs. Consequently, the decision-making process for performing a VHO in such networks necessitates careful consideration of both the link state and the RTA activity status of the mobile terminal (MT). Human tolerance for application delays is typically categorized into objective time and perceived time, with the latter being generally longer than the former. Specifically, interruptions exceeding 1 s in video-based applications surpass the maximum psychological tolerance threshold, causing users to lose interest in the ongoing task after 2 s. Furthermore, for all application types, a wait time of 10 s leads to a departure of half of the users [19]. Regarding data interaction applications, the duration of data arrival significantly impacts user satisfaction, with longer arrival times resulting in diminished QoE [20]. In this context, the active probability of RTAs is defined as following a Bernoulli distribution [3].
In the proposed framework, the probability of having an active RTA is denoted by ρ, while θ serves as an indicator to determine the presence or absence of an active RTA. Specifically, when θ is set to 0, it signifies that no RTA is active, whereas a value of 1 indicates the presence of an active RTA [3].
Upon identifying the presence of active RTAs, uniform allocation is performed across the video, audio VoIP, and web for the three distinct types of RTA, as follows:
The MT is assumed to possess the capability of determining the specific type of RTA based on its QoS requirements at a given moment [21]. Subsequently, we uniformly distribute the probabilities of different types of RTA activation. Specifically, the probability of VoIP-based RTA appearance is represented by σ, and while considering the sensitivity of the video-based RTA service to bearer capacity and delay jitter, we set its appearance probability to 0.5. Consequently, the probability of web-based RTA service appearance is calculated as (0.5 − σ). The probability distribution model is depicted in Figure 5.
Figure 5.
The probability distribution model of RTAs.
The specific calculation of the QoE MOS for each RTA type is shown below [22]:
where PSINR is the signal-to-noise power ratio, and Rf is a factor defined by the ITU that responds to the quality loss of the audio signal and is related to the resulting delay, which we mainly consider in the VHO scheme. R is the data rate, and Pl is the packet loss rate. b1 and b2 are parameters that determine the shape of the function [23], and in this paper, b1 is set to 0.5 and b2 to 30.
Equations (7)–(9) show the computational mechanism of QoE MOS values for video RTA, VoIP RTA, and network RTA, respectively. The QoE MOS value of the video RTA are a function of the experienced SINR, PSINR. The QoE MOS value of the VoIP RTA is mainly affected by delay, while the QoE MOS value of the web RTA is mainly related to the data rate and packet loss rate. Therefore, PSNR, latency, data rate, and packet loss rate become the key factors used to evaluate the performance of VHO solutions and improve the overall QoE. When faced with a situation where these three parameters are subject to change, making the appropriate VHO can improve the QoE to some extent.
3.4. Optical Link Blocking Model
In [24], blocking incidence and occupancy are used to model VLC optical link blocking. Blocking incidence probability can be used to characterize optical link blocking at a point in time [25]. The random movement of MTs in VLC heterogeneous networks introduces random masking effects in VLC LoS links, resulting in link blockages. The occurrence of link blockages can be modeled as a Poisson distribution process (PDP) with a link blockage recovery rate parameter β. The cumulative distribution function (CDF) of the blocking probability is expressed as a function of a blocking duration of ω seconds or less [3]:
The average duration of link blocking, denoted as γ, is inversely proportional to the link’s blocking recovery rate, β, which can be expressed as β = 1/γ. By incorporating the recovery rate parameter, we can construct a specific model for VLC link blocking.
4. Framework and Principles for VHO Scheme
Designing effective VHO schemes for VLC heterogeneous networks involves addressing the challenges posed by MT mobility and diverse types of RTA. In light of these considerations, our proposed VHO scheme takes into account various RTA types and factors contributing to VLC link quality degradation, enabling adaptive handover decisions tailored to specific scenarios.
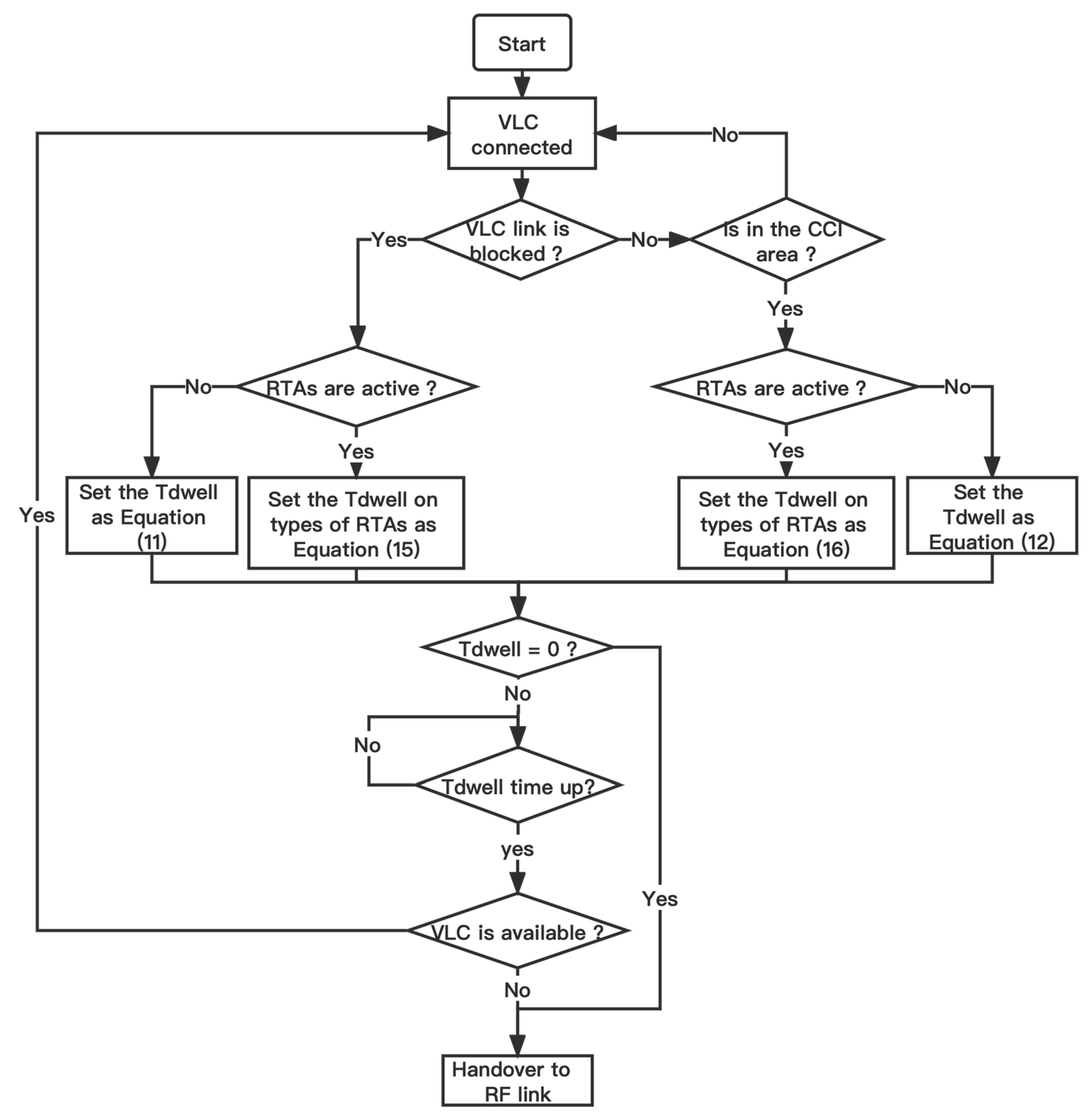
The overall handover process facilitated by our scheme is depicted in Figure 6. Initially, the MT enters the designated area and establishes a connection with the VLC link, subsequently engaging in random movement within the predefined time window. The multimode terminal then captures information regarding the active RTAs and link changes, followed by the configuration of dwell time. Finally, VHO is executed based on the determined dwell time, enabling a seamless transition between VLC APs.
Figure 6.
The overall handover process of the Ac-VHO scheme.
Disruptions in the VLC link can introduce delays in the execution of RTAs on the MT. As different types of RTA exhibit varying degrees of sensitivity to delay, users have distinct psychological tolerance thresholds for delays associated with different applications. To optimize the QoE, it is imperative to make informed handover decisions that consider the specific type of active RTA and aim for enhanced stability and performance.
When confronted with changes in the link state, the MT must make reasonable VHO decisions that align with the active RTA type. These decisions serve the dual purpose of avoiding unnecessary and detrimental back-and-forth switching while ensuring optimal data transfer rates. Hence, it is crucial to determine an appropriate dwell time before initiating a switch. Moreover, this dwell time should be determined based on the current link state information and the specific RTA type, with the aim of satisfying user requirements and facilitating satisfactory handover decisions.
In our proposed Ac-VHO scheme, we not only consider the classification of VLC LoS link influencing factors in setting the pre-switching residence time, but also account for the specific RTA type to guide the decision-making process. The schematic framework of the Ac-VHO scheme is illustrated in Figure 7.
Figure 7.
The framework of the Ac-VHO scheme.
Initially, the MT is positioned in an indoor environment where a VLC-RF heterogeneous network has been deployed, establishing a connection with the VLC link. Subsequently, as the MT undergoes random movement within the indoor environment, the link state experiences variations.
To begin, we ascertain the current state of the link, which can be influenced by factors such as blockage in the VLC LoS link and the MT’s entry into CCI areas. When these factors impact the link state, it becomes necessary to determine whether an RTA is actively running at that moment. In instances where no RTA is active, the handover dwell time is determined solely based on the two factors associated with the degradation of link quality.
If tservice represents the average duration for which an RTA remains active, we set this value as the reciprocal of the probability ρ that the RTA is active, denoted as 1/ρ. During the period of tservice, no RTA is actively running.
When the VLC link is subject to masking and no RTA is active, the dwell time Tdwell is calculated as follows:
The parameter tblock represents the maximum duration of a short interruption and is set to 2 s [3]. If the average interruption time γ exceeds the average interval tservice during which the RTA is active, the dwell time Tdwell is set to 0, prompting an immediate switch to the RF link. Conversely, Tdwell is determined as the average value between the average interrupt time and the maximum short interrupt time. In cases where the VLC link remains blocked even after this dwell time has elapsed, the MT initiates a handover to the RF link.
When the MT enters the CCI overlap area without any active RTA, the estimated time MCCI (t) required to traverse the overlap area can be calculated using the MT’s current velocity information. Subsequently, the dwell time Tdwell is determined based on this estimated time:
MCCI (t) is the expected time taken to pass through the CCI region at time t and is calculated as follows:
The average distance of the overlapping region L and the real-time velocity V of the MT collected at the current moment t are utilized to calculate the dwell time Tdwell. Consequently, when the MT enters the CCI region and experiences a deterioration in link quality, it will prioritize handing over to the RF link. This preference is based on the MT’s slower movement and the shorter interval between occurrences of RTAs, thus ensuring the maintenance of communication quality.
In order to accommodate different user groups with varying psychological tolerance limits, we classify active RTAs into video, VoIP, and web categories. To determine the maximum user tolerance time interval Φ for delays in each category, we consider both perceived and actual time delays. Based on the findings in Section 3.3, the video class RTA has a maximum user tolerance time of 1 s. Consequently, the tolerance time for video class RTA delay is set within the range of [0.2, 1] seconds. Additionally, research has shown that when the delay exceeds 10 s, more than half of users tend to abandon the task for all types of application [19]. Therefore, considering the maximum short interruption time tblock, we aim to keep the time interval for VoIP and web classes below 2.6 s. Considering the priority order of sensitivity, the psychological tolerance time interval for the VoIP class RTA is set to be shorter, while the web class RTA is allowed a longer tolerance time. By incorporating the classification of different RTA types, the setting of VHO dwell time becomes more inclusive and adaptable. This enables the MT to select the optimal time for VHO with greater precision. The specific settings for the VHO dwell time are presented in Equation (14).
The handover dwell time and decisions are based on the specific active RTA type and the link status, considering factors such as VLC LoS link blockage and MT entering the CCI region. The dwell time is set differently for each RTA category (video, VoIP, and web), ensuring optimal switching decisions and maintaining communication quality.
When the VLC LoS link is blocked, the significant drop in SINR necessitates a focus on link recovery. Considering the characteristics of different RTA types, we determine the waiting times for vertical handover as follows:
When the MT enters the CCI region, we consider both the estimated traversal time of the region and the MT’s maximum tolerance time interval φ for different RTA delays. The VHO dwell time is primarily determined by considering the user’s tolerance towards delays caused by different types of RTA. The calculation is as follows:
In summary, we prioritize optimizing the user’s psychological tolerance time to enhance the overall QoE in the presence of delays caused by various types of RTA. Following the pre-set residency durations, the MT performs the specified link residency. If the designated VHO dwell time elapses without the VLC link being restored, the MT promptly switches to the RF link while continuously monitoring the VLC link. Conversely, if the VLC link becomes accessible, the MT establishes the connection and proceeds with the VHO evaluation.
The specific time-dwelling decisions for Ac-VHO are determined as Algorithm 1:
| Algorithm 1. Time-dwelling handover decision of Ac_VHO |
| Input: MT_coodinate;CCI_area;Blocking_state; Service_type; Output: Tdwell; MT_coodinate is calculated from user random movement model; Blocking_state is decided by the VLC link blocking model; Service_type is decided by RTA active model of Equations (5) and (6); Initialize: Tdwell(0) = 0; Blocking_state(0) = 0; Donate the set of timesteps as i for each i do if Blocking_state(t) = 0 if MT_coodinate(t) is in CCI_area if Service_type(t) = 0 then Set Tdwell(t) as Equation (12); else Service_type(t) is ‘Video’ or ‘Web’ or ‘VoIP’ then Set Tdwell(t) as Equation (16); end if end if else if Service_type(t) = 0 then Set Tdwell(t) as Equation (11); else Service_type(t) is ‘Video’ or ‘Web’ or ‘VoIP’ then Set Tdwell(t) as Equation (15); end if end if end for |
5. Basic Simulation Parameter Settings
This experimental simulation is based on Matlab. We use the network structure described in Section 3.1. The room dimensions are 6 × 6 × 3 m, and the VLC APs are strategically positioned in an overlapping square configuration to ensure optimal lighting and communication coverage. Specifically, nine VLC APs are deployed at the following coordinates: (1, 1, 3), (3, 1, 3), (5, 1, 3), (1, 3, 3), (3, 3, 3), (5, 3, 3), (1, 5, 3), (3, 5, 3), and (5, 5, 3). Additionally, there is an RF AP located at (3, 3, 3), providing signal coverage throughout the entire indoor space.
The blocking probability model for the VLC link is characterized by a Poisson distribution with a parameter value of 0.4. As described in Section 3.3, the RTAs exhibit their respective activity patterns during the simulation.
The multi-mode terminal in the simulation records the duration of each preceding outage period to calculate the average outage time and link recovery rate. Figure 8 illustrates the relationship between the blocking probability and the link recovery rate β. As depicted in the graph, higher link recovery rates result in shorter average blocking times, leading to lower probabilities of blocking.
Figure 8.
The blocking probability with link recovery rate β.
When an MT enters the indoor environment, it undergoes random movement for a duration of T, as proposed in Section 3.2. To obtain accurate real-time position information on the MT, like a VLC indoor positioning system, we collect and record the motion position data.
Based on the RWP-improved random movement model presented in Section 3.2, Figure 9 shows the random movement of the MT in a 6 × 6 × 3 m room over 100 s. The grey circular area represents the coverage area of the VLC APs. It is worth noting that in certain instances, the user may traverse into the overlapping CCI area, resulting in the degradation of VLC link quality.
Figure 9.
Random Movement of a Single MT over 100 s.
For VHO execution, we consider the handover delay that occurs when performing VHO, which is considered a normal random variable with a mean of 0.5 s and a variance of 0.1 s [3]. Moreover, each VHO incurs a certain handover cost. The specific parameters are shown in Table 3:
Table 3.
Simulation parameters.
When assessing the QoE for distinct scenarios of RTAs, careful consideration must be given to the configuration of SINR values. The calculation of the overall average QoE is determined through the combined utilization of Equations (6)–(8):
We assume a uniform data rate for the VLC network across its coverage area, except in the CCI regions where the received VLC signal experiences a significantly low SINR and a high BER. Similarly, we assume a uniform data rate for the RF network across its coverage area [4].
6. Simulation Results and Comparative Analysis
In our study, we compare our proposed scheme with three existing time-resident VHO schemes, namely, HA-VHO [3], dynamic D-VHO [4], and D-VHO. We analyze the variations in average data rate, handover signal cost, and integrated average QoE as the link recovery rate increases. These analyses are performed for different MT mobility rates and probabilities of RTA activity.
6.1. Average VHO Signaling Cost Comparison
The execution of VHO involves a signaling cost, which reflects the overhead incurred during the handover process. A high signaling cost indicates a significant ping-pong effect caused by frequent back-and-forth handovers. The combined signaling cost is computed by multiplying the number of VHOs with the signaling cost associated with a single VHO.
Figure 10c,d demonstrate that all of the analyzed VHO schemes exhibit a wait-for-VLC-link-recovery strategy prior to performing handover. Therefore, as the link recovery rate increases, the signaling costs for these schemes decrease. This trend suggests that the number of required handovers decreases, resulting in a reduced signaling overhead.
Figure 10.
Average VHO signaling cost of the various VHO schemes against VLC link recovery rate when obstructed for: (a) Vmax = 0.6 m/s and ρ = 0.1; (b) Vmax = 1.4 m/s and ρ = 0.1; (c) Vmax = 0.6 m/s and ρ = 0.9; (d) Vmax = 1.4 m/s and ρ = 0.9.
When the maximum movement speed of the MT (Vmax) is set to 0.6 m/s and the RTA activity probability is set to 0.1 and 0.9, respectively, the average signaling cost of Ac-VHO is lower than that of HA-VHO. Similarly, the signaling cost of HA-VHO is lower than that of dynamic D-VHO and D-VHO schemes when the link recovery rate exceeds 0.4/s.
Next, we set the maximum movement speed of the MT to 1.4 m/s and compare the signaling costs generated for real-time applications with occurrence probabilities (ρ) of 0.1 and 0.9. Figure 10d illustrates that when the recovery rate surpasses 0.3/s, the signaling cost of Ac-VHO is lower than the other three time-resident VHO schemes. Since Ac-VHO mainly makes VHO decisions for different types of RTA, it maintains an overall smooth and low signaling cost when faced with an RTA activity probability of only 0.1, as shown in Figure 10a,b.
Based on the simulation results, it can be summarized that Ac-VHO exhibits lower signaling costs compared to the other three schemes in all four scenarios. The main reasons contributing to this outcome are as follows:
- The classification of different types of RTA in the Ac-VHO scheme allows for more efficient VHO decisions, reducing the occurrence of unnecessary handovers and minimizing the ping-pong effect caused by back-and-forth handovers.
- By considering the link state information and the psychological tolerance time intervals associated with different types of real-time application delay, the Ac-VHO scheme optimizes the timing of VHO execution. This targeted approach ensures that handovers occur at the most suitable moments, taking into account the specific requirements and sensitivities of each application.
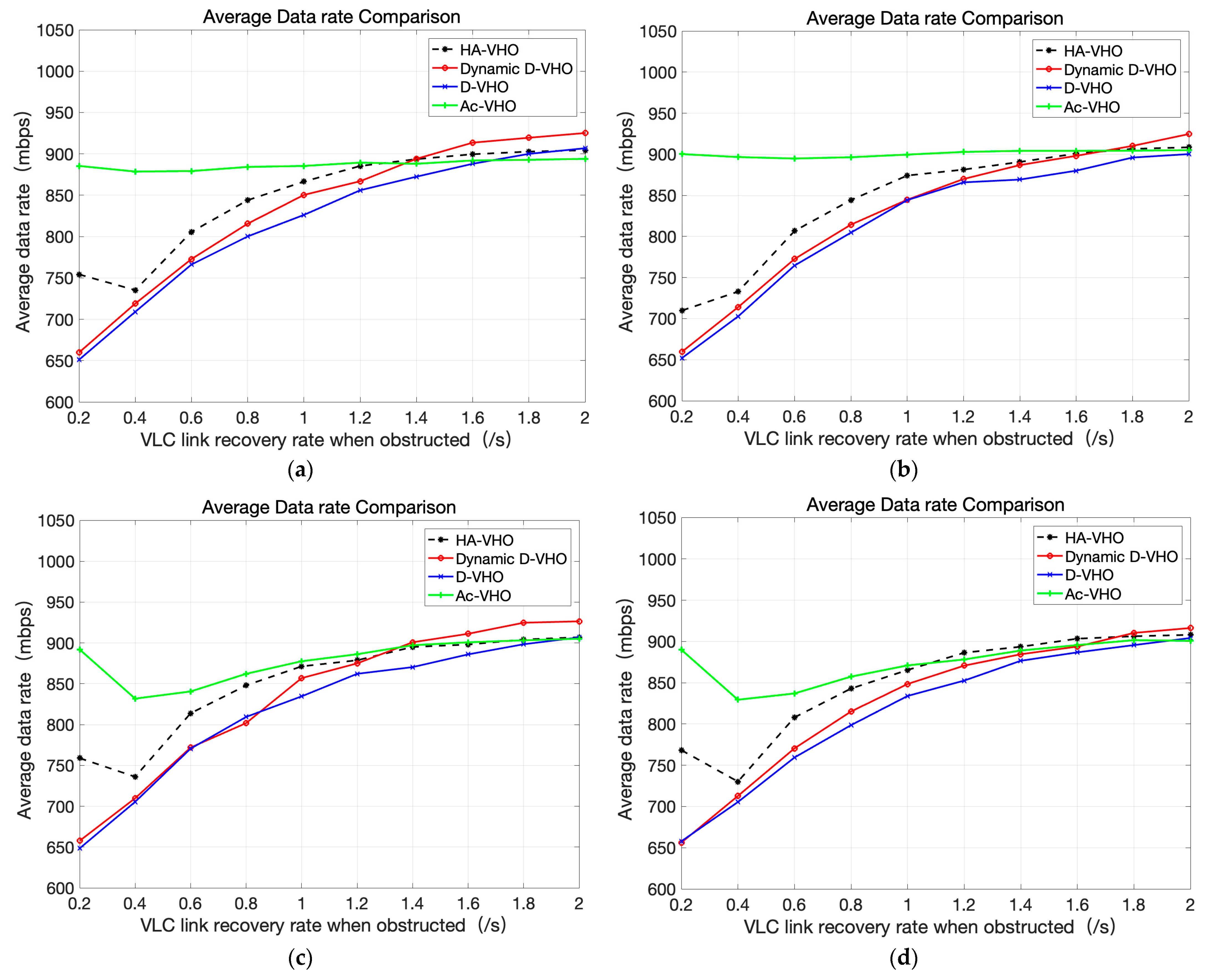
6.2. Average Data Rate Comparison
As the VLC link recovery rate increases, the four schemes experience more frequent connections to the VLC link after a waiting period. Consequently, the data rate also increases in accordance with the VLC link recovery rate.
For link recovery rates below 1/s, both the Ac-VHO and HA-VHO schemes achieve higher average data rates compared to D-VHO and dynamic D-VHO. Ac-VHO slightly outperforms HA-VHO in terms of data rate. This indicates that Ac-VHO and HA-VHO prioritize connecting to VLC links to maximize the data rate. However, dynamic D-VHO surpasses the other three schemes once the link recovery rate exceeds 1.2/s. This is attributed to the dynamic calculation of residence time in real time based on current link blocking information in the dynamic D-VHO scheme.
When the RTA activity probability is 0.1, in Figure 11a,b, the data rate of Ac-VHO remains relatively flat with an increasing VLC link recovery rate. This behavior arises from Ac-VHO’s focus on making VHO decisions based on changes in RTA type. Consequently, the proposed scheme prioritizes maintaining a high data rate by utilizing a static residency scheme that incorporates dynamic link state information. Thus, the data rate of Ac-VHO remains consistently high even when the RTA activity probability is low.
Figure 11.
Average data rate of the various VHO schemes against VLC link recovery rate when obstructed for: (a) Vmax = 0.6 m/s and ρ = 0.1; (b) Vmax = 1.4 m/s and ρ = 0.1; (c) Vmax = 0.6 m/s and ρ = 0.9; (d) Vmax = 1.4 m/s and ρ = 0.9.
On the other hand, when the MT movement speed is 0.6 m/s and the RTA activity probability is 0.1, Ac-VHO places more emphasis on executing VHO decisions based on the link blocking state. The slower MT movement speed allows the proposed scheme to capture more detailed link state information. As a result, the data rate exhibits a smooth exponential increase as the VLC link blockage recovery rate improves.
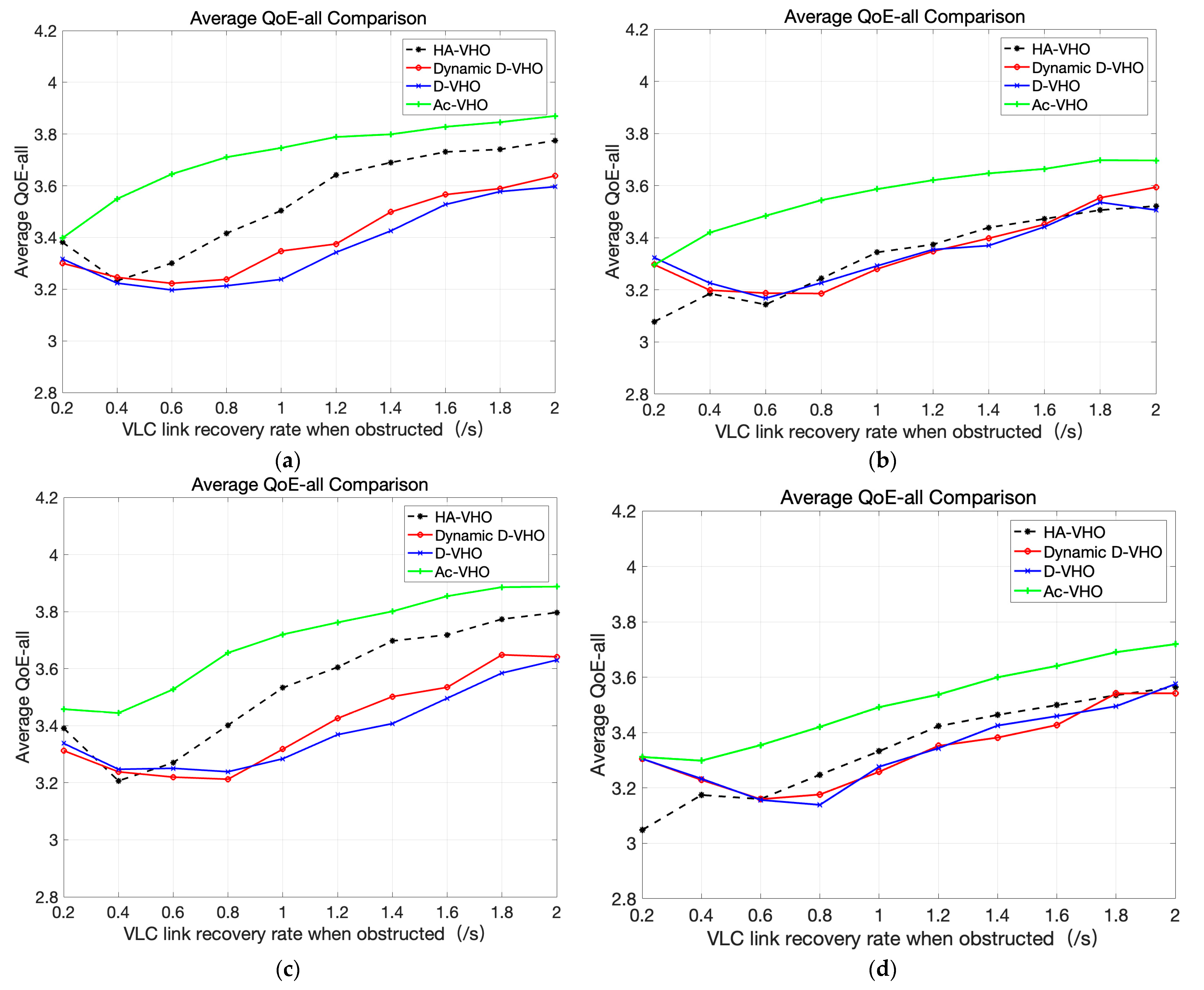
6.3. Average Comprehensive QoE Value Comparison
The QoE of video-based RTAs is closely related to the SINR. As a result, the QoE of the four VHO schemes, when applied to video-based RTAs, tends to improve as the VLC link recovery rate increases.
For VoIP-based RTAs, the QoE is dependent on the delay experienced during handover, making it a critical factor for VHO schemes. The QoE of these four time-resident VHO schemes for VoIP-based RTA is influenced by the VLC link recovery rate and the number of VHOs. The signaling cost shows a slight increase when the recovery rate exceeds 0.6. The QoE for VoIP-based RTA exhibits an inverse relationship with the signaling cost. The trend in the QoE is nearly identical when considering web-based RTA. Therefore, the comprehensive QoE of all four schemes, as depicted in the figures, demonstrates an overall increase after the VLC link recovery rate surpasses 0.6/s.
When the maximum velocity of the MT is set to Vmax = 0.6 m/s and the probability of occurrence ρ is 0.1 or 0.9 for RTAs, as illustrated in Figure 12a,c, both Ac-VHO and HA-VHO exhibit a higher average comprehensive QoE (QoE_all) compared to D-VHO and dynamic D-VHO. The QoE_all value of Ac-VHO reaches a high level, close to 4.0, when the MT movement is slow, and the RTA is active with high probability. However, when the MT’s velocity is increased to 1.4 m/s, as shown in Figure 12b,d, HA-VHO experiences a significantly lower average QoE_all, while Ac-VHO continues to maintain a higher average QoE_all.
Figure 12.
Average comprehensive QoE values of the various VHO schemes against VLC link recovery rate when obstructed for: (a) Vmax = 0.6 m/s and ρ = 0.1; (b) Vmax = 1.4 m/s and ρ = 0.1; (c) Vmax = 0.6 m/s and ρ = 0.9; (d) Vmax = 1.4 m/s and ρ = 0.9.
These simulation results can be attributed to the following factors:
- The proposed scheme incorporates specific delay tolerance intervals and VHO dwell times for each of the three main RTA categories (video, VoIP, and web). This enables the scheme to make optimal switching decisions when the MT encounters different types of active RTA.
- Ac-VHO dynamically sets the dwell time based on the average interval at which the RTA becomes active, accounting for the impact of RTA activity on QoE. This ensures that the scheme adapts to changes in the RTA’s active status and optimizes the QoE accordingly.
- The proposed scheme classifies RTAs into distinct types and sets RTA delay psychological tolerance intervals based on user groups with varying psychological tolerance levels. This personalized approach allows for handover decisions that align with the actual needs of each user, thereby enhancing the QoE when facing different types of RTA activity.
7. Conclusions
In this study, we present a novel multi-RTA type-based classification VHO scheme specifically tailored for indoor VLC heterogeneous networks. The scheme intelligently determines handover decisions based on the encountered RTA types, considering the movement of a single MT. To evaluate its effectiveness, we develop models for the MT movement, VLC link blocking, and active state of the different RTA types. The proposed scheme prioritizes efficient and high-capacity VLC links to maintain higher data rates during low recovery rates of VLC link outages. By incorporating MT movement and link state in the dwell time settings, the scheme ensures efficient handover decisions even with changing motion patterns, ensuring stable communication quality. Moreover, the scheme accounts for user-specific psychological tolerance times for RTA delays, setting the handover dwell time accordingly for each RTA type, aligning with the MT’s actual needs. Performance evaluation against three other VHO schemes demonstrates that our proposed scheme, called Ac-VHO, significantly reduces unnecessary handovers and signaling costs, resulting in a higher combined QoE value.
Considering factors such as user mobility, link state, RTA activity variability, and multi-user environments, it is crucial to determine appropriate handover timing and intelligently predict these variables. Additionally, channel utilization and fairness are essential considerations. In our future work, we aim to incorporate machine learning algorithms to design predictive and adaptive handover algorithms. Furthermore, we will enhance the MAC layer access protocol to improve multi-user access fairness.
Author Contributions
Conceptualization, B.C.; methodology, B.C.; software, B.C.; validation, B.C. and R.C.; formal analysis, B.C.; investigation, B.C. and R.C.; resources, B.C. and R.C.; data curation, S.Z. and P.Z.; writing—original draft preparation, B.C.; writing—review and editing, B.C. and S.Z.; visualization, B.C. and Y.L.; supervision, S.Z and C.L.; project administration, B.C. and S.Z.; funding acquisition, Q.Z., R.C., D.C. and S.Z. All authors have read and agreed to the published version of the manuscript.
Funding
This research was funded by the Project of Improving the Basic Research Ability of Young and Middle-aged Teachers in Guangxi Universities, grant number 2022KY0381; the National Natural Science Foundation of China’s Regional Science Foundation Project, grant number 62161031; and the Guangxi Provincial Education Department’s Postgraduate Education Innovation Project, grant number YCSW2022396.
Data Availability Statement
Data available on request due to restrictions eg privacy or ethical. The data presented in this study are available on request from the corresponding author. The data are not publicly available due to the ownership of the simulation code and data by the host lab.
Acknowledgments
The authors would like to thank the anonymous reviewers for their valuable suggestions.
Conflicts of Interest
The authors declare no conflict of interest.
References
- Chi, N.; Shi, M.; Ha, Y.; Niu, W. LiFi: Development status and prospects of visible light communication technology. China Illum. Eng. J. 2019, 30, 24. [Google Scholar]
- Cui, B.; Zhou, S.; Chen, R.; Pei, S.; Zeng, Q.; Liu, L.; Li, Z. Research progress on key technologies for heterogeneous networking of indoor visible light communication. China Laser J. 2023, 44, 6–12. [Google Scholar]
- Okine, A.A.; Bao, X.; Mongoungou, J.; Adjardjah, W.; Zhang, W. A Hybrid Application-Aware VHO Scheme for Coexisting VLC and WLAN Indoor Networks. J. Netw. Syst. Manag. 2022, 30, 52. [Google Scholar] [CrossRef]
- Liu, R.; Zhang, C. Dynamic dwell timer for vertical handover in VLC-WLAN heterogeneous networks. In Proceedings of the 2017 13th International Wireless Communications and Mobile Computing Conference (IWCMC), Valencia, Spain, 26–30 June 2017; pp. 1256–1260. [Google Scholar]
- Hou, J.; O’brien, D.C. Vertical handover-decision-making scheme using fuzzy logic for the integrated radio-and-OW system. IEEE Trans.Wirel. Commun. 2006, 5, 176–185. [Google Scholar] [CrossRef]
- Wang, F.; Wang, Z.; Qian, C.; Dai, L.; Yang, Z. Efficient vertical handover scheme for heterogeneous VLC-RF systems. J. Opt. Commun. Netw. 2015, 7, 1172–1180. [Google Scholar] [CrossRef]
- Bao, X.; Adjardjah, W.; Okine, A.; Zhang, W.; Bao, N. Vertical Handover Scheme for Enhancing the QoE in VLC Heterogeneous Networks. In Proceedings of the 2018 IEEE/CIC International Conference on Communications in China (ICCC), Beijing, China, 16–18 August 2018; pp. 437–442. [Google Scholar]
- Zeshan, A.; Baykas, T. Location aware vertical handover in a VLC/WLAN hybrid network. IEEE Access 2021, 9, 129810–129819. [Google Scholar] [CrossRef]
- Du, Z.; Wang, C.; Sun, Y.; Wu, G. Context-aware indoor VLC/RF heterogeneous network selection: Reinforcement learning with knowledge transfer. IEEE Access 2018, 6, 33275–33284. [Google Scholar] [CrossRef]
- Zheng, H.; Ji, X.; Huang, K. Vertical switching decision scheme in the case of occlusion in the visible optical communication network. China Comput. Eng. 2016, 108–112. [Google Scholar] [CrossRef]
- Ma, G.; Parthiban, R.; Karmakar, N. A Comparison of IVHO and DVHO in Heterogeneous VLC-RF Networks. In Proceedings of the 2021 IEEE Region 10 Symposium (TENSYMP), Jeju, Republic of Korea, 23–25 August 2021; pp. 1–7. [Google Scholar]
- Bao, X.; Okine, A.A.; Adjardjah, W.; Zhang, W.; Dai, J. Channel adaptive dwell timing for handover decision in VLC-WiFi heterogeneous networks. EURASIP J. Wirel. Commun. Netw. 2018, 2018, 244. [Google Scholar] [CrossRef]
- Ma, G.; Parthiban, R.; Karmakar, N. An adaptive handover scheme for hybrid LiFi and WiFi networks. IEEE Access 2022, 10, 18955–18965. [Google Scholar] [CrossRef]
- O’Brien, D.; Turnbull, R.; Le Minh, H.; Faulkner, G.; Bouchet, O.; Porcon, P.; El Tabach, M.; Gueutier, E.; Wolf, M.; Grobe, L.; et al. High-speed optical wireless demonstrators: Conclusions and future directions. J. Light. Technol. 2012, 30, 2181–2187. [Google Scholar] [CrossRef]
- Wang, Y.; Wu, X.; Haas, H. Fuzzy logic based dynamic handover scheme for indoor Li-Fi and RF hybrid network. In Proceedings of the 2016 IEEE International Conference on Communications (ICC), Kuala Lumpur, Malaysia, 22–27 May 2016; pp. 1–6. [Google Scholar]
- Singh, P.; Jeon, H.; Yun, S.; Kim, B.W.; Jung, S.Y. Vehicle positioning based on optical camera communication in V2I environments. Comput. Mater. Contin. 2022, 72, 2927–2945. [Google Scholar] [CrossRef]
- Luo, J.; Fan, L.; Li, H. Indoor positioning systems based on visible light communication: State of the art. IEEE Commun. Surv. Tutor. 2017, 19, 2871–2893. [Google Scholar] [CrossRef]
- Nayebi, A.; Rahimi, M.R.; Azad, H.S. Analysis of Time-Based Random Waypoint Mobility Model for Wireless Mobile Networks. In Proceedings of the Fourth International Conference on Information Technology (ITNG’07), Las Vegas, NV, USA, 2–4 April 2007; pp. 42–47. [Google Scholar]
- Galletta, D.F.; Henry, R.; McCoy, S.; Polak, P. Web site delays: How tolerant are users? J. Assoc. Inf. Syst. 2004, 5, 1–28. [Google Scholar] [CrossRef]
- Nah, F.F.H. A study on tolerable waiting time: How long are web users willing to wait? Behav. Inf. Technol. 2004, 23, 153–163. [Google Scholar] [CrossRef]
- Yeryomin, Y.; Seitz, J. Application-aware optimization approaches for multiple-criteria network selection in mobile heterogeneous networks. In Proceedings of the 2017 2nd International Multidisciplinary Conference on Computer and Energy Science (SpliTech), Split, Croatia, 12–14 July 2017; pp. 1–8. [Google Scholar]
- Reis, A.B.; Chakareski, J.; Kassler, A.; Sargento, S. Distortion Optimized Multi-Service Scheduling for Next-Generation Wireless Mesh Networks. In Proceedings of the 2010 INFOCOM IEEE Conference on Computer Communications Workshops, San Diego, CA, USA, 15–19 March 2010; pp. 1–6. [Google Scholar]
- Bao, X.; Adjardjah, W.; Okine, A.A.; Zhang, W.; Dai, J. A QoE-maximization-based vertical handover scheme for VLC heterogeneous networks. EURASIP J. Wirel. Commun. Netw. 2018, 2018, 269. [Google Scholar] [CrossRef]
- Wu, X.; Haas, H. Mobility-aware load balancing for hybrid LiFi and WiFi networks. J. Opt. Commun. Netw. 2019, 11, 588–597. [Google Scholar] [CrossRef]
- Jivkova, S.; Kavehrad, M. Shadowing and blockage in indoor optical wireless communications. In Proceedings of the IEEE Global Telecommunications Conference (GLOBECOM), San Francisco, CA, USA, 1–5 December 2003; pp. 3269–3273. [Google Scholar]
Disclaimer/Publisher’s Note: The statements, opinions and data contained in all publications are solely those of the individual author(s) and contributor(s) and not of MDPI and/or the editor(s). MDPI and/or the editor(s) disclaim responsibility for any injury to people or property resulting from any ideas, methods, instructions or products referred to in the content. |
© 2023 by the authors. Licensee MDPI, Basel, Switzerland. This article is an open access article distributed under the terms and conditions of the Creative Commons Attribution (CC BY) license (https://creativecommons.org/licenses/by/4.0/).











