Sign in to use this feature.

Years

Between: -

Subjects

remove_circle_outline
remove_circle_outline
remove_circle_outline
remove_circle_outline
remove_circle_outline
remove_circle_outline
remove_circle_outline
remove_circle_outline
remove_circle_outline

Journals

Article Types

Countries / Regions

Search Results (234)

Search Parameters:
Keywords = user–item interaction

Order results
Result details
Results per page
Select all
Export citation of selected articles as:
19 pages, 1135 KB  
Article
BACF: Bayesian Attentional Collaborative Filtering
by Jaejun Wang and Jehyuk Lee
Appl. Sci. 2025, 15(19), 10402; https://doi.org/10.3390/app151910402 - 25 Sep 2025
Abstract
The scarcity of explicit feedback data is a major challenge in the design of recommender systems. Although such data are of a high quality due to users’ voluntary provision of numerical ratings, collecting a sufficient amount in real-world service environments is typically infeasible. [...] Read more.
The scarcity of explicit feedback data is a major challenge in the design of recommender systems. Although such data are of a high quality due to users’ voluntary provision of numerical ratings, collecting a sufficient amount in real-world service environments is typically infeasible. As an alternative, implicit feedback data are extensively used. However, because implicit feedback represents observable user actions rather than direct preference statements, it inherently suffers from ambiguity as a signal of true user preference. To address this issue, this study reinterprets the ambiguity of implicit feedback signals as a problem of epistemic uncertainty regarding user preferences and proposes a latent factor model that incorporates this uncertainty within a Bayesian framework. Specifically, the behavioral vector of a user, which is learned from implicit feedback, is restructured within the embedding space using attention mechanisms applied to the user’s interaction history, forming an implicit preference representation. Similarly, item feature vectors are reinterpreted in the context of the target user’s history, resulting in personalized item representations. This study replaces the deterministic attention scores with stochastic attention weights treated as random variables whose distributions are modeled using a Bayesian approach. Through this design, the proposed model effectively captures the uncertainty stemming from implicit feedback within the vector representations of users and items. The experimental results demonstrate that the proposed model not only effectively mitigates the ambiguity of preference signals inherent in implicit feedback data but also achieves better performance improvements than baseline models, particularly on datasets characterized by high user–item interaction sparsity. The proposed model, when integrated with an attention module, generally outperformed other MLP-based models in terms of NDCG@10. Moreover, incorporating the Bayesian attention mechanism yielded an additional performance gain of up to 0.0531 compared to the model using a standard attention module. Full article
(This article belongs to the Section Computing and Artificial Intelligence)
Show Figures

Figure 1

23 pages, 2031 KB  
Article
Exploring the Appeal of Electric Vehicle Interior Design from the Perspective of Innovation
by Kai-Shuan Shen
World Electr. Veh. J. 2025, 16(9), 527; https://doi.org/10.3390/wevj16090527 - 18 Sep 2025
Viewed by 243
Abstract
Electric vehicles now play a critical and promising role in the automotive industry. This study presents how electric car interiors innovatively appeal to consumers’ needs, influencing their preference for interior design based on essential features. It investigates why consumers prefer the interior design [...] Read more.
Electric vehicles now play a critical and promising role in the automotive industry. This study presents how electric car interiors innovatively appeal to consumers’ needs, influencing their preference for interior design based on essential features. It investigates why consumers prefer the interior design of electric vehicles and what specific characteristics influence these preferences from the perspective of innovation. This study applies a preference-based research method to determine the significance of the innovative appeal of electric cars. The evaluation grid method is applied to interpret experts’ professional insights, which are outlined using a semantic hierarchical diagram of electric vehicle interiors. This study also conducts a questionnaire survey based on consumers’ reactions and analyzes their answers using Quantification Theory Type I. The four key original evaluation items for electric car interiors are determined as “tasteful,” “avant-garde,” “technical innovation,” and “sustainable innovation.” These four factors can be applied using their corresponding reasons and characteristics. This study contributes critical suggestions for interior designers and researchers of electric vehicles. The study also provides useful information on user-centered interaction design, sustainability, and consumer psychology. Full article
(This article belongs to the Section Manufacturing)
Show Figures

Figure 1

23 pages, 2699 KB  
Article
Leveraging Visual Side Information in Recommender Systems via Vision Transformer Architectures
by Arturo Álvarez-Sánchez, Diego M. Jiménez-Bravo, María N. Moreno-García, Sergio García González and David Cruz García
Electronics 2025, 14(17), 3550; https://doi.org/10.3390/electronics14173550 - 6 Sep 2025
Viewed by 509
Abstract
Recommender systems are essential tools in the digital age, helping users discover products, content, and services across platforms like streaming services, online stores, and social networks. Traditionally, these systems have relied on methods such as collaborative filtering, content-based, and knowledge-based approaches, using data [...] Read more.
Recommender systems are essential tools in the digital age, helping users discover products, content, and services across platforms like streaming services, online stores, and social networks. Traditionally, these systems have relied on methods such as collaborative filtering, content-based, and knowledge-based approaches, using data like user–item interactions and demographic details. With the rise of big data, an increasing amount of “side information”, like contextual data, social behavior, and metadata, has become available, enabling more personalized and effective recommendations. This work provides a comparative analysis of traditional recommender systems and newer models incorporating side information, particularly visual features, to determine whether integrating such data improves recommendation quality. By evaluating the benefits and limitations of using complex formats like visual content, this work aims to contribute to the development of more robust and adaptive recommender systems, offering insights for future research in the field. Full article
(This article belongs to the Special Issue Application of Data Mining in Social Media)
Show Figures

Figure 1

18 pages, 3256 KB  
Article
Facilitated Effects of Closed-Loop Assessment and Training on Trans-Radial Prosthesis User Rehabilitation
by Huimin Hu, Yi Luo, Ling Min, Lei Li and Xing Wang
Sensors 2025, 25(17), 5277; https://doi.org/10.3390/s25175277 - 25 Aug 2025
Viewed by 803
Abstract
(1) Background: Integrating assessment with training helps to enhance precision prosthetic rehabilitation of trans-radial amputees. This study aimed to validate a self-developed closed-loop rehabilitation platform combining accurate measurement in comprehensive assessment and immediate interaction in virtual reality (VR) training in refining patient-centered myoelectric [...] Read more.
(1) Background: Integrating assessment with training helps to enhance precision prosthetic rehabilitation of trans-radial amputees. This study aimed to validate a self-developed closed-loop rehabilitation platform combining accurate measurement in comprehensive assessment and immediate interaction in virtual reality (VR) training in refining patient-centered myoelectric prosthesis rehabilitation. (2) Methods: The platform consisted of two modules, a multimodal assessment module and an sEMG-driven VR game training module. The former included clinical scales (OPUS, DASH), task performance metrics (modified Box and Block Test), kinematics analysis (inertial sensors), and surface electromyography (sEMG) recording, verified on six trans-radial amputees and four healthy subjects. The latter aimed for muscle coordination training driven by four-channel sEMG, tested on three amputees. Post 1-week training, task performance and sEMG metrics (wrist flexion/extension activation) were re-evaluated. (3) Results: The sEMG in the residual limb of the amputees upgraded by 4.8%, either the subjects’ number of gold coins or game scores after 1-week training. Subjects uniformly agreed or strongly agreed with all the items on the user questionnaire. In reassessment after training, the average completion time (CT) of all three amputees in both tasks decreased. CTs of the A1 and A3 in the placing tasks were reduced by 49.52% and 50.61%, respectively, and the CTs for the submitting task were reduced by 19.67% and 55.44%, respectively. Average CT of all three amputees in the ADL task after training was 9.97 s, significantly lower than the pre-training time of 15.17 s. (4) Conclusions: The closed-loop platform promotes patients’ prosthesis motor-control tasks through accurate measurement and immediate interaction according to the sensorimotor recalibration principle, demonstrating a potential tool for precision rehabilitation. Full article
(This article belongs to the Section Wearables)
Show Figures

Figure 1

21 pages, 1208 KB  
Article
A Hyperbolic Graph Neural Network Model with Contrastive Learning for Rating–Review Recommendation
by Shuyun Fang, Junling Wang and Fukun Chen
Entropy 2025, 27(8), 886; https://doi.org/10.3390/e27080886 - 21 Aug 2025
Viewed by 1068
Abstract
In recommender systems research, the data sparsity problem has driven the development of hybrid recommendation algorithms integrating multimodal information and the application of graph neural networks (GNNs). However, conventional GNNs relying on homogeneous Euclidean embeddings fail to effectively model the non-Euclidean geometric manifold [...] Read more.
In recommender systems research, the data sparsity problem has driven the development of hybrid recommendation algorithms integrating multimodal information and the application of graph neural networks (GNNs). However, conventional GNNs relying on homogeneous Euclidean embeddings fail to effectively model the non-Euclidean geometric manifold structures prevalent in real-world scenarios, consequently constraining the representation capacity for heterogeneous interaction patterns and compromising recommendation accuracy. As a consequence, the representation capability for heterogeneous interaction patterns is restricted, thereby affecting the overall representational power and recommendation accuracy of the models. In this paper, we propose a hyperbolic graph neural network model with contrastive learning for rating–review recommendation, implementing a dual-graph construction strategy. First, it constructs a review-aware graph to integrate rich semantic information from reviews, thus enhancing the recommendation system’s context awareness. Second, it builds a user–item interaction graph to capture user preferences and item characteristics. The hyperbolic graph neural network architecture enables joint learning of high-order features from these two graphs, effectively avoiding the embedding distortion problem commonly associated with high-order feature learning. Furthermore, through contrastive learning in hyperbolic space, the model effectively leverages review information and user–item interaction data to enhance recommendation system performance. Experimental results demonstrate that the proposed algorithm achieves excellent performance on multiple real-world datasets, significantly improving recommendation accuracy. Full article
(This article belongs to the Special Issue Causal Inference in Recommender Systems)
Show Figures

Figure 1

24 pages, 1646 KB  
Article
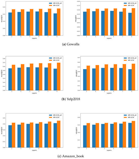
Differential Weighting and Flexible Residual GCN-Based Contrastive Learning for Recommendation
by Fuqiang Xie, Min Wang, Jianrong Peng and Dingcai Shen
Symmetry 2025, 17(8), 1320; https://doi.org/10.3390/sym17081320 - 14 Aug 2025
Viewed by 405
Abstract
The recommendation system based on graphs aims to infer the symmetrical relationship between unconnected users and items nodes. Graph convolutional neural networks (GCNs) are powerful deep learning models widely used in recommender systems, showcasing outstanding performance. However, existing GCN-based recommendation models still suffer [...] Read more.
The recommendation system based on graphs aims to infer the symmetrical relationship between unconnected users and items nodes. Graph convolutional neural networks (GCNs) are powerful deep learning models widely used in recommender systems, showcasing outstanding performance. However, existing GCN-based recommendation models still suffer from the well-known issue of over-smoothing, which remains a significant obstacle to improve the recommendation performance. Additionally, traditional neighborhood aggregation methods of GCN-based recommendation models do not differentiate the nodes’ importance and also exert a certain negative impact on the recommendation effect of the model. To address these problems, we first propose a simple yet efficient GCN-based recommendation model, named WR-GCN, with a node-based dynamic weighting method and a flexible residual strategy. WR-GCN can effectively alleviate the over-smoothing issue and utilize the interaction information among the graph nodes, enhancing the recommendation performance. Furthermore, building upon the outstanding performance of contrastive learning (CL) in recommendation systems and its robust capability to address data sparsity issues, we integrate the proposed WR-GCN into a simple CL framework to form a more potent recommendation model, WR-GCL, which incorporates an initial embedding controlling method to strike a balanced state of high-frequency information. We have conducted extensive experiments on the proposed WR-GCN and WR-GCL models on multiple datasets. The experimental results show that WR-GCN and WR-GCL outperform several state-of-the-art baselines. Full article
(This article belongs to the Section Computer)
Show Figures

Figure 1

26 pages, 1444 KB  
Article
Enhancing Neural Collaborative Filtering for Product Recommendation by Integrating Sales Data and User Satisfaction
by Haoyang Xia and Yuanyuan Wang
Electronics 2025, 14(16), 3165; https://doi.org/10.3390/electronics14163165 - 8 Aug 2025
Viewed by 573
Abstract
The rapid growth of e-commerce has made it increasingly difficult for users to select appropriate products due to the overwhelming amount of available information. Although many platforms, such as Amazon and Rakuten, encourage users to leave reviews, effectively utilizing this information for personalized [...] Read more.
The rapid growth of e-commerce has made it increasingly difficult for users to select appropriate products due to the overwhelming amount of available information. Although many platforms, such as Amazon and Rakuten, encourage users to leave reviews, effectively utilizing this information for personalized recommendations remains a challenge. To address this issue, we propose a multi-task product recommender system that supports both new users without purchase histories and existing users with interaction records. For new users without purchase histories, we introduce a ranking-based method that combines three market-oriented features: sales volume, sales period, and user satisfaction. User satisfaction is quantified using sentiment analysis of product reviews. These three factors are integrated into a composite score to identify products with a strong market presence and positive customer feedback. For existing users, we developed an enhanced neural collaborative filtering (NCF) method that incorporates a product bias factor. This model, named bias neural collaborative filtering (BNCF), utilizes multilayer perceptrons to learn latent user–product interactions while also capturing item popularity bias. We evaluated the proposed approaches using a real-world dataset from Rakuten. The results show that our multi-task system effectively improves recommendation quality for users in both cold-start and data-rich scenarios. Full article
Show Figures

Figure 1

17 pages, 1210 KB  
Article
CAMBSRec: A Context-Aware Multi-Behavior Sequential Recommendation Model
by Bohan Zhuang, Yan Lan and Minghui Zhang
Informatics 2025, 12(3), 79; https://doi.org/10.3390/informatics12030079 - 4 Aug 2025
Viewed by 862
Abstract
Multi-behavior sequential recommendation (MBSRec) is a form of sequential recommendation. It leverages users’ historical interaction behavior types to better predict their next actions. This approach fits real-world scenarios better than traditional models do. With the rise of the transformer model, attention mechanisms are [...] Read more.
Multi-behavior sequential recommendation (MBSRec) is a form of sequential recommendation. It leverages users’ historical interaction behavior types to better predict their next actions. This approach fits real-world scenarios better than traditional models do. With the rise of the transformer model, attention mechanisms are widely used in recommendation algorithms. However, they suffer from low-pass filtering, and the simple learnable positional encodings in existing models offer limited performance gains. To address these problems, we introduce the context-aware multi-behavior sequential recommendation model (CAMBSRec). It separately encodes items and behavior types, replaces traditional positional encoding with context-similarity positional encoding, and applies the discrete Fourier transform to separate the high and low frequency components and enhance the high frequency components, countering the low-pass filtering effect. Experiments on three public datasets show that CAMBSRec performs better than five baseline models, demonstrating its advantages in terms of recommendation performance. Full article
Show Figures

Figure 1

28 pages, 2181 KB  
Article
Novel Models for the Warm-Up Phase of Recommendation Systems
by Nourah AlRossais
Computers 2025, 14(8), 302; https://doi.org/10.3390/computers14080302 - 24 Jul 2025
Viewed by 557
Abstract
In the recommendation system (RS) literature, a distinction exists between studies dedicated to fully operational (known users/items) and cold-start (new users/items) RSs. The warm-up phase—the transition between the two—is not widely researched, despite evidence that attrition rates are the highest for users and [...] Read more.
In the recommendation system (RS) literature, a distinction exists between studies dedicated to fully operational (known users/items) and cold-start (new users/items) RSs. The warm-up phase—the transition between the two—is not widely researched, despite evidence that attrition rates are the highest for users and content providers during such periods. RS formulations, particularly deep learning models, do not easily allow for a warm-up phase. Herein, we propose two independent and complementary models to increase RS performance during the warm-up phase. The models apply to any cold-start RS expressible as a function of all user features, item features, and existing users’ preferences for existing items. We demonstrate substantial improvements: Accuracy-oriented metrics improved by up to 14% compared with not handling warm-up explicitly. Non-accuracy-oriented metrics, including serendipity and fairness, improved by up to 12% compared with not handling warm-up explicitly. The improvements were independent of the cold-start RS algorithm. Additionally, this paper introduces a method of examining the performance metrics of an RS during the warm-up phase as a function of the number of user–item interactions. We discuss problems such as data leakage and temporal consistencies of training/testing—often neglected during the offline evaluation of RSs. Full article
Show Figures

Figure 1

17 pages, 2108 KB  
Article
Designing for Dyads: A Comparative User Experience Study of Remote and Face-to-Face Multi-User Interfaces
by Mengcai Zhou, Jingxuan Wang, Ono Kenta, Makoto Watanabe and Chacon Quintero Juan Carlos
Electronics 2025, 14(14), 2806; https://doi.org/10.3390/electronics14142806 - 12 Jul 2025
Viewed by 451
Abstract
Collaborative digital games and interfaces are increasingly used in both research and commercial contexts, yet little is known about how the spatial arrangement and interface sharing affect the user experience in dyadic settings. Using a two-player iPad pong game, this study compared user [...] Read more.
Collaborative digital games and interfaces are increasingly used in both research and commercial contexts, yet little is known about how the spatial arrangement and interface sharing affect the user experience in dyadic settings. Using a two-player iPad pong game, this study compared user experiences across three collaborative gaming scenarios: face-to-face single-screen (F2F-OneS), face-to-face dual-screen (F2F-DualS), and remote dual-screen (Rmt-DualS) scenarios. Eleven dyads participated in all conditions using a within-subject design. After each session, the participants completed a 21-item user experience questionnaire and took part in brief interviews. The results from a repeated-measure ANOVA and post hoc paired t-tests showed significant scenario effects for several experience items, with F2F-OneS yielding higher engagement, novelty, and accomplishment than remote play, and qualitative interviews supported the quantitative findings, revealing themes of social presence and interaction. These results highlight the importance of spatial and interface design in collaborative settings, suggesting that both technical and social factors should be considered in multi-user interface development. Full article
(This article belongs to the Special Issue Innovative Designs in Human–Computer Interaction)
Show Figures

Figure 1

16 pages, 1027 KB  
Article
Enhancing Review-Based Recommendations Through Local and Global Feature Fusion
by Namhun Kim, Haebin Lim, Qinglong Li, Xinzhe Li, Seokkwan Kim and Jaekyeong Kim
Electronics 2025, 14(13), 2540; https://doi.org/10.3390/electronics14132540 - 23 Jun 2025
Cited by 1 | Viewed by 554
Abstract
With the rapid advancement of information and communication technology, the number of items users encounter increased exponentially. Consequently, the importance of recommendation systems emerged to reduce the time and effort required for users to make item selections. Recently, among various studies on recommendation [...] Read more.
With the rapid advancement of information and communication technology, the number of items users encounter increased exponentially. Consequently, the importance of recommendation systems emerged to reduce the time and effort required for users to make item selections. Recently, among various studies on recommendation systems, there has been significant interest in leveraging review text as auxiliary information. This study proposes a novel model to enhance recommendation performance by effectively analyzing review texts through the fusion of local and global features. By combining convolutional neural networks (CNN), which excel in extracting local features, and the RoBERTa model, renowned for capturing global contextual features, the proposed approach effectively uncovers users’ latent preferences embedded within review texts. The proposed model comprises three key components: the user–item interaction module, which learns complex interactions between users and items; the feature extraction module, which extracts both local and global features using CNN and RoBERTa; and the preference prediction module, which combines the output vectors from the previous modules to predict user preferences for specific items. Extensive experiments conducted on three datasets collected from Amazon platform demonstrate that the proposed model significantly outperforms baseline models. These findings highlight the effectiveness of the proposed approach in considering both local and global features for extracting user preferences from review texts. Full article
Show Figures

Figure 1

19 pages, 1303 KB  
Article
GLARA: A Global–Local Attention Framework for Semantic Relation Abstraction and Dynamic Preference Modeling in Knowledge-Aware Recommendation
by Runbo Liu, Lili He and Junhong Zheng
Appl. Sci. 2025, 15(12), 6386; https://doi.org/10.3390/app15126386 - 6 Jun 2025
Cited by 1 | Viewed by 422
Abstract
Knowledge graph-enhanced recommendation has gained increasing attention for its ability to provide structured semantic context. However, most existing approaches struggle with two critical challenges: the sparsity of long-tail relations in knowledge graphs and the lack of adaptability to users’ dynamic preferences. In this [...] Read more.
Knowledge graph-enhanced recommendation has gained increasing attention for its ability to provide structured semantic context. However, most existing approaches struggle with two critical challenges: the sparsity of long-tail relations in knowledge graphs and the lack of adaptability to users’ dynamic preferences. In this paper, we propose GLARA, a novel recommendation framework that combines semantic abstraction and behavioral adaptation through a two-stage modeling process. First, a Virtual Relational Knowledge Graph (VRKG) is constructed by clustering semantically similar relations into higher-level virtual groups, which alleviates relation sparsity and enhances generalization. Then, a global Local Weighted Smoothing (LWS) module and a local Graph Attention Network (GAT) are integrated to jointly refine item and user representations: LWS propagates information within each virtual relation subgraph to improve semantic consistency, while GAT dynamically adjusts neighbor importance based on recent interaction signals. Extensive experiments on Last.FM and MovieLens-1M demonstrate that GLARA outperforms state-of-the-art methods, achieving up to 5.8% improvements in NDCG@20, especially in long-tail and cold-start scenarios. Additionally, case studies confirm the model’s interpretability by tracing recommendation paths through clustered semantic relations. This work offers a flexible and interpretable solution for robust recommendation under sparse and dynamic conditions. Full article
Show Figures

Figure 1

28 pages, 567 KB  
Article
Symmetry-Aware Sequential Recommendation with Dual-Domain Filtering Networks
by Li Li, Yueheng Du and Yingdong Wang
Symmetry 2025, 17(6), 813; https://doi.org/10.3390/sym17060813 - 23 May 2025
Viewed by 723
Abstract
The aim of sequential recommendation (SR) is to predict a user’s next interaction by analyzing their historical behavioral sequences. The proposed framework leverages the inherent symmetry in user behavior patterns, where temporal and spectral representations exhibit complementary structures that can be harmonized for [...] Read more.
The aim of sequential recommendation (SR) is to predict a user’s next interaction by analyzing their historical behavioral sequences. The proposed framework leverages the inherent symmetry in user behavior patterns, where temporal and spectral representations exhibit complementary structures that can be harmonized for robust recommendation. Conventional SR methods predominantly utilize implicit feedback (e.g., clicks and views) as model inputs, whereby observed interactions are treated as positive instances, while unobserved ones are considered negative samples. However, the inherent randomness and diversity in user behaviors inevitably introduce noise into such implicit feedback, potentially compromising the accuracy of recommendations. Recent studies have explored noise mitigation through two primary approaches: temporal-domain methods that reweight interactions to distill clean samples for comprehensive user preference modeling, and frequency-domain techniques that purify item embeddings to reduce the propagation of noise. While temporal approaches excel in sample refinement, frequency-based methods demonstrate superior capability in learning noise-resistant representations through spectral analysis. Motivated by the desire to synergize these complementary advantages, we propose SR-DFN, a novel framework that systematically addresses noise interference through coordinated time–frequency processing. Self-guided sample purification is implemented in the temporal domain of our architecture via adaptive interaction weighting, effectively distilling behaviorally significant patterns. The refined sequence is then transformed into the frequency domain, where learnable spectral filters operate to further attenuate residual noise components while preserving essential preference signals. Drawing on the convolution theorem’s revelation regarding frequency-domain operations capturing behavioral periodicity, we critically examine conventional position encoding schemes and propose an efficient parameterization strategy that eliminates redundant positional embeddings without compromising temporal awareness. Comprehensive experiments conducted on four real-world benchmark datasets demonstrate SR-DFN’s superior performance over state-of-the-art baselines, with ablation studies validating the effectiveness of our dual-domain denoising mechanism. Our findings suggest that coordinated time–frequency processing offers a principled solution for noise-resilient sequential recommendation while challenging conventional assumptions about positional encoding requirements in spectral-based approaches. The symmetry principles underlying our dual-domain approach demonstrate how the balanced processing of temporal and frequency domains can achieve superior noise resilience. Full article
(This article belongs to the Special Issue Symmetry in Intelligent Algorithms)
Show Figures

Figure 1

13 pages, 241 KB  
Systematic Review
Challenges and Implications of Virtual Reality in History Education: A Systematic Review
by Rafael Villena-Taranilla and Pascual D. Diago
Appl. Sci. 2025, 15(10), 5589; https://doi.org/10.3390/app15105589 - 16 May 2025
Viewed by 2104
Abstract
Virtual Reality (VR) has emerged as a promising tool for history education, offering immersive and interactive learning experiences. However, its implementation in educational settings presents several challenges that remain under-explored. This systematic review, conducted using the Preferred Reporting Items for Systematic reviews and [...] Read more.
Virtual Reality (VR) has emerged as a promising tool for history education, offering immersive and interactive learning experiences. However, its implementation in educational settings presents several challenges that remain under-explored. This systematic review, conducted using the Preferred Reporting Items for Systematic reviews and Meta-Analyses (PRISMA) methodology, aims to identify the main technical, usability, economic, psychological, social, and ethical challenges associated with the use of VR in history teaching. A literature search was performed in the Scopus (Elsevier) database, retrieving 2794 studies, from which a final selection of 14 papers was made based on predefined eligibility criteria. The findings indicate that interoperability issues, high hardware and software requirements, and navigation difficulties hinder VR integration. Moreover, usability concerns, including complex interfaces and cognitive overload, affect both students and educators, emphasizing the need for specialized teacher training. Economic barriers, such as the high cost of VR equipment and software, limit accessibility in resource-constrained institutions. Additionally, psychological and social challenges, including user discomfort, confusion between reality and fiction, and ethical concerns, were identified. These findings highlight the necessity of addressing these limitations to optimize VR’s pedagogical potential in history education. Future research should focus on developing cost-effective solutions, enhancing usability, and designing comprehensive training programs to facilitate the effective adoption of VR in educational contexts. Full article
Show Figures

Figure 1

26 pages, 4807 KB  
Article
DRLAttack: A Deep Reinforcement Learning-Based Framework for Data Poisoning Attack on Collaborative Filtering Algorithms
by Jiaxin Fan, Mohan Li, Yanbin Sun and Peng Chen
Appl. Sci. 2025, 15(10), 5461; https://doi.org/10.3390/app15105461 - 13 May 2025
Viewed by 791
Abstract
Collaborative filtering, as a widely used recommendation method, is widely applied but susceptible to data poisoning attacks, where malicious actors inject synthetic user interaction data to manipulate recommendation results and secure illicit benefits. Traditional poisoning attack methods require in-depth understanding of the recommendation [...] Read more.
Collaborative filtering, as a widely used recommendation method, is widely applied but susceptible to data poisoning attacks, where malicious actors inject synthetic user interaction data to manipulate recommendation results and secure illicit benefits. Traditional poisoning attack methods require in-depth understanding of the recommendation system. However, they fail to address its dynamic nature and algorithmic complexity, thereby hindering effective breaches of the system’s defensive mechanisms. In this paper, we propose DRLAttack, a deep reinforcement learning-based framework for data poisoning attacks. DRLAttack can launch both white-box and black-box data poisoning attacks. In the white-box setting, DRLAttack dynamically tailors attack strategies to recommendation context changes, generating more potent and stealthy fake user interactions for the precise targeting of data poisoning. Furthermore, we extend DRLAttack to black-box settings. By introducing spy users to simulate the behavior of active and inactive users into the training dataset, we indirectly obtain the promotion status of target items and adjust the attack strategy in response. Experimental results on real-world recommendation system datasets demonstrate that DRLAttack can effectively manipulate recommendation results. Full article
Show Figures

Figure 1

Back to TopTop