Sign in to use this feature.

Years

Between: -

Subjects

remove_circle_outline
remove_circle_outline
remove_circle_outline

Journals

Article Types

Countries / Regions

Search Results (8)

Search Parameters:
Keywords = transparent resistive random-access memory

Order results
Result details
Results per page
Select all
Export citation of selected articles as:
22 pages, 2259 KB  
Article
Dynamical Characteristics of Isolated Donors, Acceptors, and Complex Defect Centers in Novel ZnO
by Devki N. Talwar and Piotr Becla
Nanomaterials 2025, 15(10), 749; https://doi.org/10.3390/nano15100749 - 16 May 2025
Cited by 1 | Viewed by 528
Abstract
Novel wide-bandgap ZnO, BeO, and ZnBeO materials have recently gained considerable interest due to their stellar optoelectronic properties. These semiconductors are being used in developing high-resolution, flexible, transparent nanoelectronics/photonics and achieving high-power radio frequency modules for sensors/biosensors, photodetectors/solar cells, and resistive random-access memory [...] Read more.
Novel wide-bandgap ZnO, BeO, and ZnBeO materials have recently gained considerable interest due to their stellar optoelectronic properties. These semiconductors are being used in developing high-resolution, flexible, transparent nanoelectronics/photonics and achieving high-power radio frequency modules for sensors/biosensors, photodetectors/solar cells, and resistive random-access memory applications. Despite earlier evidence of attaining p-type wz ZnO with N doping, the problem persists in achieving reproducible p-type conductivity. This issue is linked to charging compensation by intrinsic donors and/or background impurities. In ZnO: Al (Li), the vibrational features by infrared and Raman spectroscopy have been ascribed to the presence of isolated AlZn(LiZn) defects, nearest-neighbor (NN) [AlZnNO] pairs, and second NN [AlZnOLiZn;VZnOLiZn] complexes. However, no firm identification has been established. By integrating accurate perturbation models in a realistic Green’s function method, we have meticulously simulated the impurity vibrational modes of AlZn(LiZn) and their bonding to form complexes with dopants as well as intrinsic defects. We strongly feel that these phonon features in doped ZnO will encourage spectroscopists to perform similar measurements to check our theoretical conjectures. Full article
(This article belongs to the Section Physical Chemistry at Nanoscale)
Show Figures

Figure 1

12 pages, 9853 KB  
Article
Multi-Level Resistive Al/Ga2O3/ITO Switching Devices with Interlayers of Graphene Oxide for Neuromorphic Computing
by Li-Wen Wang, Chih-Wei Huang, Ke-Jing Lee, Sheng-Yuan Chu and Yeong-Her Wang
Nanomaterials 2023, 13(12), 1851; https://doi.org/10.3390/nano13121851 - 13 Jun 2023
Cited by 16 | Viewed by 3017
Abstract
Recently, resistive random access memory (RRAM) has been an outstanding candidate among various emerging nonvolatile memories for high-density storage and in-memory computing applications. However, traditional RRAM, which accommodates two states depending on applied voltage, cannot meet the high density requirement in the era [...] Read more.
Recently, resistive random access memory (RRAM) has been an outstanding candidate among various emerging nonvolatile memories for high-density storage and in-memory computing applications. However, traditional RRAM, which accommodates two states depending on applied voltage, cannot meet the high density requirement in the era of big data. Many research groups have demonstrated that RRAM possesses the potential for multi-level cells, which would overcome demands related to mass storage. Among numerous semiconductor materials, gallium oxide (a fourth-generation semiconductor material) is applied in the fields of optoelectronics, high-power resistive switching devices, and so on, due to its excellent transparent material properties and wide bandgap. In this study, we successfully demonstrate that Al/graphene oxide (GO)/Ga2O3/ITO RRAM has the potential to achieve two-bit storage. Compared to its single-layer counterpart, the bilayer structure has excellent electrical properties and stable reliability. The endurance characteristics could be enhanced above 100 switching cycles with an ON/OFF ratio of over 103. Moreover, the filament models are also described in this thesis to clarify the transport mechanisms. Full article
(This article belongs to the Special Issue Nanostructures for Integrated Devices)
Show Figures

Figure 1

11 pages, 5420 KB  
Article
Bipolar Switching Properties of the Transparent Indium Tin Oxide Thin Film Resistance Random Access Memories
by Kai-Huang Chen, Chien-Min Cheng, Mei-Li Chen and Yi-Yun Pan
Nanomaterials 2023, 13(4), 688; https://doi.org/10.3390/nano13040688 - 10 Feb 2023
Cited by 8 | Viewed by 2121
Abstract
In this study, the bipolar switching properties and electrical conduction behaviors of the ITO thin films RRAM devices were investigated. For the transparent RRAM devices structure, indium tin oxide thin films were deposited by using the RF magnetron sputtering method on the ITO/glass [...] Read more.
In this study, the bipolar switching properties and electrical conduction behaviors of the ITO thin films RRAM devices were investigated. For the transparent RRAM devices structure, indium tin oxide thin films were deposited by using the RF magnetron sputtering method on the ITO/glass substrate. For the ITO/ITOX/ITO/glass (MIM) structure, an indium tin oxide thin film top electrode was prepared to form the transparent RRAM devices. From the experimental results, the 102 On/Off memory ratio and bipolar switching cycling properties for set/reset stable states were found and discussed. All transparent RRAM devices exhibited the obvious memory window and low set voltage for the switching times of 120 cycles. The electrical transport mechanisms were dominated by the ohmic contact and space charge limit conduction (SCLC) models for set and reset states. Finally, the transmittances properties of the transparent ITO/ITOX/ITO RRAM devices for the different oxygen growth procedures were about 90% according to the UV–Vis spectrophotometer for the visible wavelength range. Full article
(This article belongs to the Special Issue Nano-Structured Thin Films: Growth, Characteristics, and Application)
Show Figures

Figure 1

8 pages, 3666 KB  
Article
Bipolar Switching Characteristics of Transparent WOX-Based RRAM for Synaptic Application and Neuromorphic Engineering
by Jihyung Kim, Jongmin Park and Sungjun Kim
Materials 2022, 15(20), 7185; https://doi.org/10.3390/ma15207185 - 15 Oct 2022
Cited by 12 | Viewed by 2645
Abstract
In this work, we evaluate the resistive switching (RS) and synaptic characteristics of a fully transparent resistive random-access memory (T-RRAM) device based on indium-tin-oxide (ITO) electrodes. Here, we fabricated ITO/WOX/ITO capacitor structure and incorporated DC-sputtered WOX as the switching layer [...] Read more.
In this work, we evaluate the resistive switching (RS) and synaptic characteristics of a fully transparent resistive random-access memory (T-RRAM) device based on indium-tin-oxide (ITO) electrodes. Here, we fabricated ITO/WOX/ITO capacitor structure and incorporated DC-sputtered WOX as the switching layer between the two ITO electrodes. The device shows approximately 77% (including the glass substrate) of optical transmittance in visible light and exhibits reliable bipolar switching behavior. The current-voltage (I–V) curve is divided into two types: partial and full curves affected by the magnitude of the positive voltage during the reset process. In the partial curve, we confirmed that the retention could be maintained for more than 104 s and the endurance for more than 300 cycles could be stably secured. The switching mechanism based on the formation/rupture of the filament is further explained through the extra oxygen vacancies provided by the ITO electrodes. Finally, we examined the responsive potentiation and depression to check the synaptic characteristics of the device. We believe that the transparent WOX-based RRAM could be a milestone for neuromorphic devices as well as future non-volatile transparent memory. Full article
(This article belongs to the Special Issue Memristive Materials and Devices)
Show Figures

Figure 1

12 pages, 7127 KB  
Article
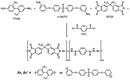
Flexible and Transparent Electrode Based on Ag-Nanowire Embedded Colorless Poly(amide-imide)
by Jaegun Lee, Ju-Young Choi, Junhwan Jang, Sechang Park, Gyumin Ji, Seung-Hyun Lee, Dam-Bi Kim, Kang-Hoon Yoon, Chan-Moon Chung and Soohaeng Cho
Nanomaterials 2022, 12(9), 1457; https://doi.org/10.3390/nano12091457 - 25 Apr 2022
Cited by 4 | Viewed by 2503
Abstract
Graphene oxide-cysteamine-silver nanoparticle (GCA)/silver nanowire (AgNW)/GCA/colorless poly(amide-imide) (cPAI) structures based on cPAI substrates with polyimide and polyamide syntheses were fabricated to study their characteristics. A layer of electrodes was constructed using a sandwich structure—such as GCA/AgNW/GCA—with cPAI used as a substrate to increase [...] Read more.
Graphene oxide-cysteamine-silver nanoparticle (GCA)/silver nanowire (AgNW)/GCA/colorless poly(amide-imide) (cPAI) structures based on cPAI substrates with polyimide and polyamide syntheses were fabricated to study their characteristics. A layer of electrodes was constructed using a sandwich structure—such as GCA/AgNW/GCA—with cPAI used as a substrate to increase the heat resistance and improve their mechanical properties. Furthermore, to overcome the disadvantages of AgNWs—such as their high surface roughness and weak adhesion between the substrate and electrode layers—electrodes with embedded structures were fabricated using a peel-off process. Through bending, tapping, and durability tests, it was confirmed that these multilayer electrodes exhibited better mechanical durability than conventional AgNW electrodes. Resistive random-access memory based on GCA/AgNW/GCA/cPAI electrodes was fabricated, and its applicability to nonvolatile memory was confirmed. The memory device had an ON/OFF current ratio of ~104@0.5 V, exhibiting write-once-read-many time characteristics, maintaining these memory characteristics for up to 300 sweep cycles. These findings suggest that GCA/AgNW/GCA/cPAI electrodes could be used as flexible and transparent electrodes for next-generation flexible nonvolatile memories. Full article
Show Figures

Graphical abstract

11 pages, 3071 KB  
Article
Impacts of LaOx Doping on the Performance of ITO/Al2O3/ITO Transparent RRAM Devices
by Guodu Han, Yanning Chen, Hongxia Liu, Dong Wang and Rundi Qiao
Electronics 2021, 10(3), 272; https://doi.org/10.3390/electronics10030272 - 23 Jan 2021
Cited by 10 | Viewed by 3332
Abstract
Fully transparent ITO/LaAlO3/ITO structure RRAM (resistive random access memory) devices were fabricated on glass substrate, and ITO/Al2O3/ITO structure devices were set for comparison. The electrical characteristics of the devices were analyzed by Agilent B1500A semiconductor analyzer. Compared [...] Read more.
Fully transparent ITO/LaAlO3/ITO structure RRAM (resistive random access memory) devices were fabricated on glass substrate, and ITO/Al2O3/ITO structure devices were set for comparison. The electrical characteristics of the devices were analyzed by Agilent B1500A semiconductor analyzer. Compared with the ITO/Al2O3/ITO RRAM devices, the current stability, SET/RESET voltage distribution, and retention characteristic of the ITO/LaAlO3/ITO RRAM devices have been greatly improved. In the visible light range, the light transmittance of the device is about 80%, that of the LaAlO3 layer is about 95%, the on-off ratio of the device is greater than 40, and the data retention time is longer than 10,000 s. The devices have great optical and electrical properties and have huge application potential as fully transparent RRAM devices. Full article
(This article belongs to the Section Semiconductor Devices)
Show Figures

Figure 1

12 pages, 3480 KB  
Article
Multi-Level Analog Resistive Switching Characteristics in Tri-Layer HfO2/Al2O3/HfO2 Based Memristor on ITO Electrode
by Chandreswar Mahata, Myounggon Kang and Sungjun Kim
Nanomaterials 2020, 10(10), 2069; https://doi.org/10.3390/nano10102069 - 20 Oct 2020
Cited by 76 | Viewed by 9157
Abstract
Atomic layer deposited (ALD) HfO2/Al2O3/HfO2 tri-layer resistive random access memory (RRAM) structure has been studied with a transparent indium tin oxide (ITO) transparent electrode. Highly stable and reliable multilevel conductance can be controlled by the set [...] Read more.
Atomic layer deposited (ALD) HfO2/Al2O3/HfO2 tri-layer resistive random access memory (RRAM) structure has been studied with a transparent indium tin oxide (ITO) transparent electrode. Highly stable and reliable multilevel conductance can be controlled by the set current compliance and reset stop voltage in bipolar resistive switching. Improved gradual resistive switching was achieved because of the interdiffusion in the HfO2/Al2O3 interface where tri-valent Al incorporates with HfO2 and produces HfAlO. The uniformity in bipolar resistive switching with Ion/Ioff ratio (>10) and excellent endurance up to >103 cycles was achieved. Multilevel conductance levels in potentiation/depression were realized with constant amplitude pulse train and increasing pulse amplitude. Thus, tri-layer structure-based RRAM can be a potential candidate for the synaptic device in neuromorphic computing. Full article
Show Figures

Figure 1

9 pages, 2622 KB  
Article
Flexible Polymer Device Based on Parylene-C with Memory and Temperature Sensing Functionalities
by Min Lin, Qingyu Chen, Zongwei Wang, Yichen Fang, Jianfeng Liu, Yuchao Yang, Wei Wang, Yimao Cai and Ru Huang
Polymers 2017, 9(8), 310; https://doi.org/10.3390/polym9080310 - 26 Jul 2017
Cited by 18 | Viewed by 8131
Abstract
Polychloro-para-xylylene (parylene-C) is a flexible and transparent polymer material which has excellent chemical stability and high biocompatibility. Here we demonstrate a polymer device based on single-component parylene-C with memory and temperature sensing functionalities. The device shows stable bipolar resistive switching behavior, remarkable storage [...] Read more.
Polychloro-para-xylylene (parylene-C) is a flexible and transparent polymer material which has excellent chemical stability and high biocompatibility. Here we demonstrate a polymer device based on single-component parylene-C with memory and temperature sensing functionalities. The device shows stable bipolar resistive switching behavior, remarkable storage window (>104), and low operation voltages, exhibiting great potential for flexible resistive random-access memory (RRAM) applications. The I-V curves and conductive atomic force microscopy (CAFM) results verify the metallic filamentary-type switching mechanism based on the formation and dissolution of a metal bridge related to the redox reaction of the active metal electrode. In addition, due to the metallic properties of the low-resistance state (LRS) in the polymer device, the resistance in the LRS exhibits a nearly linear relationship at the temperature regime between 25 °C and 100 °C. With a temperature coefficient of resistance (TCR) of 2.136 × 10−3/°C, the device is also promising for the flexible temperature sensor applications. Full article
(This article belongs to the Special Issue Wearable Sensor)
Show Figures

Graphical abstract

Back to TopTop