Sign in to use this feature.

Years

Between: -

Subjects

remove_circle_outline
remove_circle_outline
remove_circle_outline
remove_circle_outline
remove_circle_outline
remove_circle_outline

Journals

Article Types

Countries / Regions

Search Results (6)

Search Parameters:
Keywords = thrombospondin related adhesive protein: TRAP

Order results
Result details
Results per page
Select all
Export citation of selected articles as:
18 pages, 1915 KB  
Article
Dynamics of IgM and IgG Antibody Response Profile against Linear B-Cell Epitopes from Exoerythrocytic (CelTOS and TRAP) and Erythrocytic (CyRPA) Phases of Plasmodium vivax: Follow-Up Study
by Cinthia Magalhães Rodolphi, Isabela Ferreira Soares, Ada da Silva Matos, Rodrigo Nunes Rodrigues-da-Silva, Marcelo Urbano Ferreira, Lilian Rose Pratt-Riccio, Paulo Renato Rivas Totino, Kézia Katiani Gorza Scopel and Josué da Costa Lima-Junior
Antibodies 2024, 13(3), 69; https://doi.org/10.3390/antib13030069 - 15 Aug 2024
Cited by 2 | Viewed by 2953
Abstract
Malaria is a serious health problem worldwide affecting mainly children and socially vulnerable people. The biological particularities of P. vivax, such as the ability to generate dormant liver stages, the rapid maturation of gametocytes, and the emergence of drug resistance, have contributed [...] Read more.
Malaria is a serious health problem worldwide affecting mainly children and socially vulnerable people. The biological particularities of P. vivax, such as the ability to generate dormant liver stages, the rapid maturation of gametocytes, and the emergence of drug resistance, have contributed to difficulties in disease control. In this context, developing an effective vaccine has been considered a fundamental tool for the efficient control and/or elimination of vivax malaria. Although recombinant proteins have been the main strategy used in designing vaccine prototypes, synthetic immunogenic peptides have emerged as a viable alternative for this purpose. Considering, therefore, that in the Brazilian endemic population, little is known about the profile of the humoral immune response directed to synthetic peptides that represent different P. vivax proteins, the present work aimed to map the epitope-specific antibodies’ profiles to synthetic peptides representing the linear portions of the ookinete and sporozoite cell passage protein (CelTOS), thrombospondin-related adhesive protein (TRAP), and cysteine-rich protective antigen (CyRPA) proteins in the acute (AC) and convalescent phases (Conv30 and Conv180 after infection) of vivax malaria. The results showed that the studied subjects responded to all proteins for at least six months following infection. For IgM, a few individuals (3–21%) were positive during the acute phase of the disease; the highest frequencies were observed for IgG (28–57%). Regarding the subclasses, IgG2 and IgG3 stood out as the most prevalent for all peptides. During the follow-up, the stability of IgG was observed for all peptides. Only one significant positive correlation was observed between IgM and exposure time. We conclude that for all the peptides, the immunodominant epitopes are recognized in the exposed population, with similar frequency and magnitude. However, if the antibodies detected in this study are potential protectors, this needs to be investigated. Full article
(This article belongs to the Section Humoral Immunity)
Show Figures

Graphical abstract

14 pages, 2344 KB  
Article
Thrombospondin-Related Anonymous Protein (TRAP) Family Expression by Babesia bovis Life Stages within the Mammalian Host and Tick Vector
by Hayley E. Masterson, Naomi S. Taus, Wendell C. Johnson, Lowell Kappmeyer, Janaina Capelli-Peixoto, Hala E. Hussein, Michelle R. Mousel, Diego J. Hernandez-Silva, Jacob M. Laughery, Juan Mosqueda and Massaro W. Ueti
Microorganisms 2022, 10(11), 2173; https://doi.org/10.3390/microorganisms10112173 - 2 Nov 2022
Cited by 2 | Viewed by 2839
Abstract
The tick-transmitted disease bovine babesiosis causes significant economic losses in many countries around the world. Current control methods include modified live-attenuated vaccines that have limited efficacy. Recombinant proteins could provide effective, safe, and low-cost alternative vaccines. We compared the expression of the Babesia [...] Read more.
The tick-transmitted disease bovine babesiosis causes significant economic losses in many countries around the world. Current control methods include modified live-attenuated vaccines that have limited efficacy. Recombinant proteins could provide effective, safe, and low-cost alternative vaccines. We compared the expression of the Babesia bovis thrombospondin-related anonymous protein (TRAP) family from parasites in bovine blood, in vitro induced sexual stages, and kinetes from tick hemolymph. Quantitative PCR showed that in blood and sexual stages, TRAP3 was highly transcribed as compared to the other TRAPs. In contrast, the TRAP1 gene was highly transcribed in kinetes as compared to the other TRAPs. Fixed immunofluorescence assays showed that TRAP2, 3, and 4 proteins were expressed by both blood and sexual stages. Conversely, TRAP1 protein, undetected on blood and induced sexual stages, was the only family member expressed by kinetes. Live IFA revealed that TRAP2, 3, and 4 proteins were expressed on the surface of both B. bovis blood and sexual stages. Modeling of B. bovis TRAP1 and TRAP4 tertiary structure demonstrated both proteins folded the metal-ion-dependent adhesion site (MIDAS) domain structure of Plasmodium TRAP. In conclusion, TRAP proteins may serve as potential vaccine targets to prevent infection of bovine and ticks with B. bovis essential for controlling the spread of bovine babesiosis. Full article
(This article belongs to the Special Issue Advanced Research on Ticks and Tick-Borne Diseases)
Show Figures

Figure 1

18 pages, 2936 KB  
Article
Effect of Topical PTH 1-34 Functionalized to Biogran® in the Process of Alveolar Repair in Rats Submitted to Orchiectomy
by Paula Buzo Frigério, Pedro Henrique Silva Gomes-Ferreira, Fábio Roberto de Souza Batista, Juliana Moura, Idelmo Rangel Garcia Júnior, Daniele Botticelli, Paulo Noronha Lisboa-Filho and Roberta Okamoto
Materials 2022, 15(1), 207; https://doi.org/10.3390/ma15010207 - 28 Dec 2021
Cited by 11 | Viewed by 2860
Abstract
(1) Background: There are many therapies for osteoporosis control and bone maintenance; anabolic drugs such as teriparatide and bone grafts help in the repair process and stimulate bone formation. Thus, the aim of the present study was to evaluate the behavior of repaired [...] Read more.
(1) Background: There are many therapies for osteoporosis control and bone maintenance; anabolic drugs such as teriparatide and bone grafts help in the repair process and stimulate bone formation. Thus, the aim of the present study was to evaluate the behavior of repaired bone in the presence of PTH (teriparatide) associated with Biogran® (biomaterial) through a sonochemical procedure after extraction in rats. (2) Methods: The insertion of Biogran® with PTH in the alveolus was performed 30 days after incisor extraction. Euthanasia occurred after 60 days. (3) Results: The use of local treatment of PTH loaded with Biogran® in healthy rats promoted good results for micro-CT, with an increase in percentage and bone volume, number and trabecular separation and less total porosity. Greater immunostaining for Wnt, β-Catenin and osteocalcin proteins and lower expression for Thrombospondin-Related Adhesive Protein (TRAP), which shows an increase in the number of osteoblasts and inhibition of osteoclast action. However, the treated orchiectomized groups did not obtain such expressive results. (4) Conclusion: The use of Biogran® with PTH improved alveolar repair in rats. However, new researches with more efficient doses must be studied to collaborate effectively with the formation of a quality bone after the orchiectomy. Full article
Show Figures

Figure 1

14 pages, 3243 KB  
Article
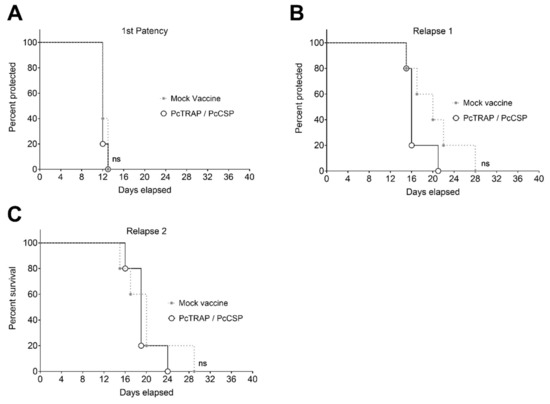
Evaluation of Chimpanzee Adenovirus and MVA Expressing TRAP and CSP from Plasmodium cynomolgi to Prevent Malaria Relapse in Nonhuman Primates
by Young Chan Kim, Barbara Dema, Roberto Rodriguez-Garcia, César López-Camacho, Fabiana M. S. Leoratti, Amar Lall, Edmond J. Remarque, Clemens H. M. Kocken and Arturo Reyes-Sandoval
Vaccines 2020, 8(3), 363; https://doi.org/10.3390/vaccines8030363 - 6 Jul 2020
Cited by 8 | Viewed by 3892
Abstract
Plasmodium vivax is the world’s most widely distributed human malaria parasite, with over 2.8 billion people at risk in Asia, the Americas, and Africa. The 80–90% new P. vivax malaria infections are due to relapses which suggest that a vaccine with high efficacy [...] Read more.
Plasmodium vivax is the world’s most widely distributed human malaria parasite, with over 2.8 billion people at risk in Asia, the Americas, and Africa. The 80–90% new P. vivax malaria infections are due to relapses which suggest that a vaccine with high efficacy against relapses by prevention of hypnozoite formation could lead to a significant reduction in the prevalence of P. vivax infections. Here, we describe the development of new recombinant ChAdOx1 and MVA vectors expressing P. cynomolgi Thrombospondin Related Adhesive Protein (PcTRAP) and the circumsporozoite protein (PcCSP). Both were shown to be immunogenic in mice prior to their assessment in rhesus macaques. We confirmed good vaccine-induced humoral and cellular responses after prime-boost vaccination in rhesus macaques prior to sporozoite challenge. Results indicate that there were no significant differences between mock-control and vaccinated animals after challenge, in terms of protective efficacy measured as the time taken to 1st patency, or as number of relapses. This suggests that under the conditions tested, the vaccination with PcTRAP and PcCSP using ChAdOx1 or MVA vaccine platforms do not protect against pre-erythrocytic malaria or relapses despite good immunogenicity induced by the viral-vectored vaccines. Full article
(This article belongs to the Section Vaccines Against Tropical and Other Infectious Diseases)
Show Figures

Figure 1

15 pages, 4362 KB  
Article
DOPS Adjuvant Confers Enhanced Protection against Malaria for VLP-TRAP Based Vaccines
by Gustavo Cabral-Miranda, Ahmed M. Salman, Mona O. Mohsen, Federico L. Storni, Elisa S. Roesti, Murray A. Skinner, Matthew D. Heath, Matthias F. Kramer, Shahid M. Khan, Chris J. Janse, Adrian V. S. Hill and Martin F. Bachmann
Diseases 2018, 6(4), 107; https://doi.org/10.3390/diseases6040107 - 21 Nov 2018
Cited by 7 | Viewed by 5228
Abstract
Vaccination remains the most effective and essential prophylactic tool against infectious diseases. Enormous efforts have been made to develop effective vaccines against malaria but successes remain so far limited. Novel adjuvants may offer a significant advantage in the development of malaria vaccines, in [...] Read more.
Vaccination remains the most effective and essential prophylactic tool against infectious diseases. Enormous efforts have been made to develop effective vaccines against malaria but successes remain so far limited. Novel adjuvants may offer a significant advantage in the development of malaria vaccines, in particular if combined with inherently immunogenic platforms, such as virus-like particles (VLP). Dioleoyl phosphatidylserine (DOPS), which is expressed on the outer surface of apoptotic cells, represents a novel adjuvant candidate that may confer significant advantage over existing adjuvants, such as alum. In the current study we assessed the potential of DOPS to serve as an adjuvant in the development of a vaccine against malaria either alone or combined with VLP using Plasmodium falciparum thrombospondin-related adhesive protein (TRAP) as a target antigen. TRAP was chemically coupled to VLPs derived from the cucumber mosaic virus fused to a universal T cell epitope of tetanus toxin (CuMVtt). Mice were immunized with TRAP alone or formulated in alum or DOPS and compared to TRAP coupled to CuMVtt formulated in PBS or DOPS. Induced immune responses, in particular T cell responses, were assessed as the major protective effector cell population induced by TRAP. The protective capacity of the various formulations was assessed using a transgenic Plasmodium berghei expressing PfTRAP. All vaccine formulations using adjuvants and/or VLP increased humoral and T cell immunogenicity for PfTRAP compared to the antigen alone. Display on VLPs, in particular if formulated with DOPS, induced the strongest and most protective immune response. Thus, the combination of VLP with DOPS may harness properties of both immunogenic components and optimally enhance induction of protective immune responses. Full article
(This article belongs to the Special Issue Vaccines as Allies in the Malaria Eradication Effort)
Show Figures

Figure 1

15 pages, 3510 KB  
Article
Virus-Like Particle (VLP) Plus Microcrystalline Tyrosine (MCT) Adjuvants Enhance Vaccine Efficacy Improving T and B Cell Immunogenicity and Protection against Plasmodium berghei/vivax
by Gustavo Cabral-Miranda, Matthew D. Heath, Mona O. Mohsen, Ariane C. Gomes, Paul Engeroff, Amy Flaxman, Fabiana M. S. Leoratti, Aadil El-Turabi, Arturo Reyes-Sandoval, Murray A. Skinner, Matthias F. Kramer and Martin F. Bachmann
Vaccines 2017, 5(2), 10; https://doi.org/10.3390/vaccines5020010 - 2 May 2017
Cited by 31 | Viewed by 8658
Abstract
Vaccination is the most effective prophylactic tool against infectious diseases. Despite continued efforts to control malaria, the disease still generally represents a significant unmet medical need. Microcrystalline tyrosine (MCT) is a well described depot used in licensed allergy immunotherapy products and in clinical [...] Read more.
Vaccination is the most effective prophylactic tool against infectious diseases. Despite continued efforts to control malaria, the disease still generally represents a significant unmet medical need. Microcrystalline tyrosine (MCT) is a well described depot used in licensed allergy immunotherapy products and in clinical development. However, its proof of concept in prophylactic vaccines has only recently been explored. MCT has never been used in combination with virus-like particles (VLPs), which are considered to be one of the most potent inducers of cellular and humoral immune responses in mice and humans. In the current study we assessed the potential of MCT to serve as an adjuvant in the development of a vaccine against malaria either alone or combined with VLP using Plasmodium vivax thrombospondin-related adhesive protein (TRAP) as a target antigen. We chemically coupled PvTRAP to VLPs derived from the cucumber mosaic virus fused to a universal T-cell epitope of the tetanus toxin (CMVtt), formulated with MCT and compared the induced immune responses to PvTRAP formulated in PBS or Alum. The protective capacity of the various formulations was assessed using Plasmodium berghei expressing PvTRAP. All vaccine formulations using adjuvants and/or VLP increased humoral immunogenicity for PvTRAP compared to the antigen alone. The most proficient responder was the group of mice immunized with the vaccine formulated with PvTRAP-VLP + MCT. The VLP-based vaccine formulated in MCT also induced the strongest T cell response and conferred best protection against challenge with recombinant Plasmodium berghei. Thus, the combination of VLP with MCT may take advantage of the properties of each component and appears to be an alternative biodegradable depot adjuvant for development of novel prophylactic vaccines. Full article
Show Figures

Figure 1

Back to TopTop