Sign in to use this feature.

Years

Between: -

Subjects

remove_circle_outline
remove_circle_outline
remove_circle_outline

Journals

Article Types

Countries / Regions

Search Results (7)

Search Parameters:
Keywords = thermo-separating copolymer

Order results
Result details
Results per page
Select all
Export citation of selected articles as:
21 pages, 3150 KB  
Article
Synthesis and Structure–Property Relationships of PLLA-Based ABA Triblock Copolymers with Bio-Based Soft Segments
by Ivan Ristić, Marija Krstić, Suzana Cakić, Ljubiša Nikolić, Vesna Teofilović, Tamara Erceg and Vladan Mićić
Polymers 2026, 18(4), 428; https://doi.org/10.3390/polym18040428 - 8 Feb 2026
Viewed by 643
Abstract
The development of biodegradable ABA-type triblock copolymers with tailored thermo-mechanical performance requires precise control over polymer architecture and phase behavior. In this study, PLLA-based ABA triblock copolymers were synthesized using two structurally distinct, fully bio-based soft segments: poly(methyl ricinoleate) (PMR) and poly(1,3-propanediol) (PPD). [...] Read more.
The development of biodegradable ABA-type triblock copolymers with tailored thermo-mechanical performance requires precise control over polymer architecture and phase behavior. In this study, PLLA-based ABA triblock copolymers were synthesized using two structurally distinct, fully bio-based soft segments: poly(methyl ricinoleate) (PMR) and poly(1,3-propanediol) (PPD). To the best of our knowledge, this is the first report on PLLA triblock copolymers incorporating PMR as a renewable soft middle block. Hydroxyl-terminated PMR and PPD were employed as macroinitiators for the controlled ring-opening polymerization of L-lactide, enabling systematic variation in block composition and molecular weight. Structural characterization confirmed successful block formation, while thermal and mechanical analyses revealed pronounced differences in phase separation and structure–property relationships. Copolymers containing PMR exhibited enhanced phase separation, increased crystallinity of PLLA domains, and significantly improved elongation at break, attributed to the presence of pendant chains in the soft segment. In contrast, PPD-based copolymers showed reduced phase separation and more PLA-like mechanical behavior. These results demonstrate that the chemical architecture of bio-based soft segments plays a decisive role in governing the thermo-mechanical performance of PLLA-based triblock copolymers. Full article
(This article belongs to the Section Biobased and Biodegradable Polymers)
Show Figures

Figure 1

23 pages, 2936 KB  
Article
Performance of a High-Molecular-Weight AM/AA Copolymer in a CO2–Water Polymer Hybrid Fracturing Fluid Under High-Temperature and High-Pressure Conditions
by Tengfei Chen, Shutao Zhou, Tingwei Yao, Meilong Fu, Zhigang Wen and Quanhuai Shen
Polymers 2026, 18(3), 418; https://doi.org/10.3390/polym18030418 - 5 Feb 2026
Viewed by 534
Abstract
To reduce water consumption and potential formation damage associated with conventional water-based fracturing fluids while improving the proppant-carrying and flow adaptability of CO2-based systems without relying on specialized CO2 thickeners, a CO2–water polymer hybrid fracturing fluid was developed [...] Read more.
To reduce water consumption and potential formation damage associated with conventional water-based fracturing fluids while improving the proppant-carrying and flow adaptability of CO2-based systems without relying on specialized CO2 thickeners, a CO2–water polymer hybrid fracturing fluid was developed using an AM/AA copolymer (poly(acrylamide-co-acrylic acid), P(AM-co-AA)) as the thickening agent for the aqueous phase. Systematic experimental investigations were conducted under high-temperature and high-pressure conditions. Fluid-loss tests at different CO2 volume fractions show that the CO2–water polymer hybrid fracturing fluid system achieves a favorable balance between low fluid loss and structural continuity within the range of 30–50% CO2, with the most stable fluid-loss behavior observed at 40% CO2. Based on this ratio window, static proppant-carrying experiments indicate controllable settling behavior over a temperature range of 20–80 °C, leading to the selection of 60% polymer-based aqueous phase + 40% CO2 as the optimal mixing ratio. Rheological results demonstrate pronounced shear-thinning behavior across a wide thermo-pressure range, with viscosity decreasing systematically with increasing shear rate and temperature while maintaining continuous and reproducible flow responses. Pipe-flow tests further reveal that flow resistance decreases monotonically with increasing flow velocity and temperature, indicating stable transport characteristics. Phase visualization observations show that the CO2–water polymer hybrid fracturing fluid system exhibits a uniform milky dispersed appearance under moderate temperature or elevated pressure, whereas bubble-dominated structures and spatial phase separation gradually emerge under high-temperature and relatively low-pressure static conditions, highlighting the sensitivity of phase stability to thermo-pressure conditions. True triaxial hydraulic fracturing experiments confirm that the CO2–water polymer hybrid fracturing fluid enables stable fracture initiation and sustained propagation under complex stress conditions. Overall, the results demonstrate that the AM/AA copolymer-based aqueous phase can provide effective viscosity support, proppant-carrying capacity, and flow adaptability for CO2–water polymer hybrid fracturing fluid over a wide thermo-pressure range, confirming the feasibility of this approach without the use of specialized CO2 thickeners. Full article
(This article belongs to the Section Polymer Analysis and Characterization)
Show Figures

Figure 1

14 pages, 9026 KB  
Article
Synthesis and Thermo-Responsive Behavior of Poly(N-isopropylacrylamide)-b-Poly(N-vinylisobutyramide) Diblock Copolymer
by Jun Hyok Yoon, Taehyoung Kim, Myungeun Seo and Sang Youl Kim
Polymers 2024, 16(6), 830; https://doi.org/10.3390/polym16060830 - 18 Mar 2024
Cited by 11 | Viewed by 3718
Abstract
Thermo-responsive diblock copolymer, poly(N-isopropylacrylamide)-block-poly(N-vinylisobutyramide) was synthesized via switchable reversible addition–fragmentation chain transfer (RAFT) polymerization and its thermal transition behavior was studied. Poly(N-vinylisobutyramide) (PNVIBA), a structural isomer of poly(N-isopropylacrylamide) (PNIPAM) shows a thermo-response character [...] Read more.
Thermo-responsive diblock copolymer, poly(N-isopropylacrylamide)-block-poly(N-vinylisobutyramide) was synthesized via switchable reversible addition–fragmentation chain transfer (RAFT) polymerization and its thermal transition behavior was studied. Poly(N-vinylisobutyramide) (PNVIBA), a structural isomer of poly(N-isopropylacrylamide) (PNIPAM) shows a thermo-response character but with a higher lower critical solution temperature (LCST) than PNIPAM. The chain extension of the PNVIBA block from the PNIPAM block proceeded in a controlled manner with a switchable chain transfer reagent, methyl 2-[methyl(4-pyridinyl)carbamothioylthio]propionate. In an aqueous solution, the diblock copolymer shows a thermo-responsive behavior but with a single LCST close to the LCST of PNVIBA, indicating that the interaction between the PNIPAM segment and the PNVIBA segment leads to cooperative aggregation during the self-assembly induced phase separation of the diblock copolymer in solution. Above the LCST of the PNIPAM block, the polymer chains begin to collapse, forming small aggregates, but further aggregation stumbled due to the PNVIBA segment of the diblock copolymer. However, as the temperature approached the LCST of the PNVIBA block, larger aggregates composed of clusters of small aggregates formed, resulting in an opaque solution. Full article
(This article belongs to the Special Issue Novel Copolymers: Preparation, Characterization, and Applications)
Show Figures

Figure 1

24 pages, 30600 KB  
Article
Development of Breathable Pebax®/PEG Films for Optimization of the Shelf-Life of Fresh Agri-Food Products
by Thibaut Préfol, Olivier Gain, Guillaume Sudre, Fabrice Gouanvé and Eliane Espuche
Membranes 2021, 11(9), 692; https://doi.org/10.3390/membranes11090692 - 7 Sep 2021
Cited by 9 | Viewed by 4026
Abstract
In this work, thin transparent breathable films were prepared for food packaging applications. The films were obtained by the solvent casting method from both the binary blends Pebax® MH1657 copolymer/ hydroxyl-terminated polyethylene glycol (PEGOH) and Pebax® MH1657/polyethylene glycol dimethyl [...] Read more.
In this work, thin transparent breathable films were prepared for food packaging applications. The films were obtained by the solvent casting method from both the binary blends Pebax® MH1657 copolymer/ hydroxyl-terminated polyethylene glycol (PEGOH) and Pebax® MH1657/polyethylene glycol dimethyl ether (PEGDME) as well as the ternary blend Pebax® MH1657/PEGOH/PEGDME with a 50/50 and 37.5/62.5 PEGOH/PEGDME weight ratio for additive amounts comprised between 0 and 50 wt.%. The microstructure of these materials was investigated by differential scanning calorimetry (DSC) and wide-angle X-ray scattering (WAXS) analyses. Regardless of the PEG’s nature, for a PEG amount inferior to 30 wt.%, the Pebax® and PEG phases were totally miscible. For higher amounts, a phase separation was obtained. In the presence of PEG, a decrease in crystallinity was obtained. The effects of the nature and amount of PEG on the thermo-mechanical, hydration, and gas (CO2, O2) transport properties were investigated. A study of the film’s stability in terms of composition over time was also performed. From this work, a wide range of films could be proposed with a stable composition over time and adjustable mechanical and gas transport properties for the prolongation of the shelf-life of highly breathable fresh products. Full article
(This article belongs to the Special Issue Advances on Bio-Based Materials for Food Packaging Applications)
Show Figures

Figure 1

12 pages, 1767 KB  
Article
Influence of the Polymer Microstructure over the Phase Separation of Thermo-Responsive Nanoparticles
by Nicolò Manfredini, Marco Tomasoni, Mattia Sponchioni and Davide Moscatelli
Polymers 2021, 13(7), 1032; https://doi.org/10.3390/polym13071032 - 26 Mar 2021
Cited by 12 | Viewed by 3141
Abstract
Thermo-responsive nanoparticles (NPs), i.e., colloids with a sharp and often reversible phase separation in response to thermal stimuli, are coming to the forefront due to their dynamic behavior, useful in applications ranging from biomedicine to advanced separations and smart optics. What is guiding [...] Read more.
Thermo-responsive nanoparticles (NPs), i.e., colloids with a sharp and often reversible phase separation in response to thermal stimuli, are coming to the forefront due to their dynamic behavior, useful in applications ranging from biomedicine to advanced separations and smart optics. What is guiding the macroscopic behavior of these systems above their critical temperature is mainly the microstructure of the polymer chains of which these NPs are comprised. Therefore, a comprehensive understanding of the influence of the polymer properties over the thermal response is highly required to reproducibly target a specific behavior. In this study, we synthesized thermo-responsive NPs with different size, polymeric microstructure and hydrophilic-lipophilic balance (HLB) and investigated the role of these properties over their phase separation. We first synthesized four different thermo-responsive oligomers via Reversible Addition-Fragmentation Chain Transfer (RAFT) Polymerization of poly(ethylene glycol)methyl ether methacrylate. Then, exploiting the RAFT living character, we chain-extended these oligomers with butyl methacrylate obtaining a library of NPs. Finally, we investigated the NP thermo-responsive behavior, their physical state above the cloud point (Tcp) as well as their reversibility once the stimulus is removed. We concluded that the solid content plays a minor role compared to the relative length of the two blocks forming the polymer chains. In particular, the longer the stabilizer, the more favored the formation of a gel. At the same time, the reversibility is mainly achieved at high HLB, independently from the absolute lengths of the block copolymers. Full article
(This article belongs to the Special Issue Advances in Thermoresponsive Polymers)
Show Figures

Graphical abstract

17 pages, 5785 KB  
Article
Poly(N-isopropylacrylamide-co-2-((diethylamino)methyl)-4-formyl-6-methoxyphenyl acrylate) Environmental Functional Copolymers: Synthesis, Characterizations, and Grafting with Amino Acids
by Momen S. A. Abdelaty
Biomolecules 2018, 8(4), 138; https://doi.org/10.3390/biom8040138 - 6 Nov 2018
Cited by 15 | Viewed by 4947
Abstract
Vanillin was used to synthesize a new derivative with an active aldehyde group and response to pH. It is named 2-((diethylamino) methyl)-4-formyl-6-methoxyphenyl acrylate, abbreviated to DEAMVA. The chemical structures were evaluated by 1H, 13C nuclear magnetic resonance (NMR), infrared (IR), and [...] Read more.
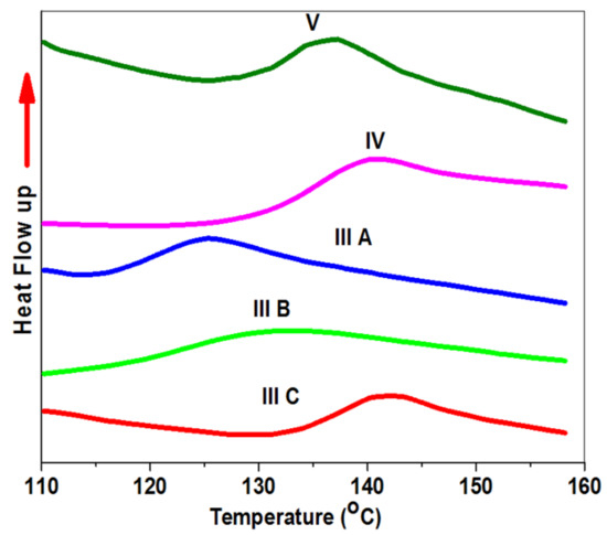
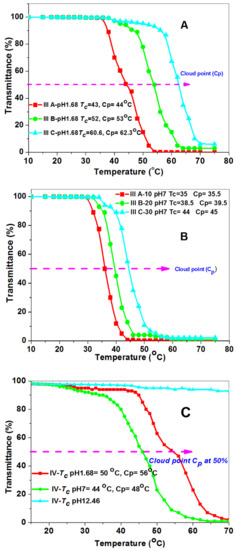
Vanillin was used to synthesize a new derivative with an active aldehyde group and response to pH. It is named 2-((diethylamino) methyl)-4-formyl-6-methoxyphenyl acrylate, abbreviated to DEAMVA. The chemical structures were evaluated by 1H, 13C nuclear magnetic resonance (NMR), infrared (IR), and UV-Vis-spectroscopy, and all results demonstrated good statement. In order to achieve the dual responsive behavior thermo-pH with functionality, free radical polymerization of N-isopropylacrylamide with DEAMVA in different molar ratios (5, 10, 15 mol%) has been used, with azobisisobutyronitrile (AIBN) as the initiator. The chemical structure of the polymers was investigated by 1H NMR and IR. The dual responsive functional copolymer was exposed to a grafted process with tryptophan and tyrosine, both of which were also evaluated by 1HNMR and IR. Copolymers before and after grafting were physically investigated by size exclusion chromatography (SEC) for estimation of the molecular weight, the glass transition temperature by differential scanning calorimeter (DSC) and scanning electron microscope (SEM) for the surface morphology. The phase separation or lower critical solution temperature (LCST) (Tc) of the polymer solution was determined not only by a turbidity method using the change in the transmittance with temperature, but also by micro-DSC. The conversion to an amino acid-grafted polymer was detected through Beer’s law for the absorption of the –CH=N- imine group by UV-Vis-Spectroscopy. Full article
Show Figures

Graphical abstract

16 pages, 555 KB  
Article
A Novel Aqueous Two Phase System Composed of a Thermo-Separating Polymer and an Organic Solvent for Purification of Thermo-Acidic Amylase Enzyme from Red Pitaya (Hylocereus polyrhizus) Peel
by Mehrnoush Amid, Yazid Manap and Nor Khanani Zohdi
Molecules 2014, 19(5), 6635-6650; https://doi.org/10.3390/molecules19056635 - 22 May 2014
Cited by 22 | Viewed by 7538
Abstract
The purification of thermo-acidic amylase enzyme from red pitaya (Hylocereus polyrhizus) peel for the first time was investigated using a novel aqueous two-phase system (ATPS) consisting of a thermo-separating copolymer and an organic solvent. The effectiveness of different parameters such as [...] Read more.
The purification of thermo-acidic amylase enzyme from red pitaya (Hylocereus polyrhizus) peel for the first time was investigated using a novel aqueous two-phase system (ATPS) consisting of a thermo-separating copolymer and an organic solvent. The effectiveness of different parameters such as molecular weight of the thermo-separating ethylene oxide-propylene oxide (EOPO) copolymer and type and concentration of organic solvent on the partitioning behavior of amylase was investigated. In addition, the effects of phase components, volume ratio (VR), pH and crude load of purification factor and yield of amylase were evaluated to achieve the optimum partition conditions of the enzyme. In the novel ATPS method, the enzyme was satisfactorily partitioned into the polymer-rich top phase in the system composed of 30% (w/w) EOPO 2500 and 15% (w/w) 2-propanol, at a volume ratio of 1.94 and with a crude load scale of 25% (w/w) at pH 5.0. Recovery and recycling of components was also measured in each successive step of the ATPS process. The enzyme was successfully recovered by the method with a high purification factor of 14.3 and yield of 96.6% and copolymer was also recovered and recycled at a rate above 97%, making the method was more economical than the traditional ATPS method. Full article
Show Figures

Figure 1

Back to TopTop