Synthesis and Structure–Property Relationships of PLLA-Based ABA Triblock Copolymers with Bio-Based Soft Segments
Abstract
1. Introduction
2. Materials and Methods
2.1. Materials
2.2. Synthesis of Soft Segments for PLLA Triblock Copolymer Preparation
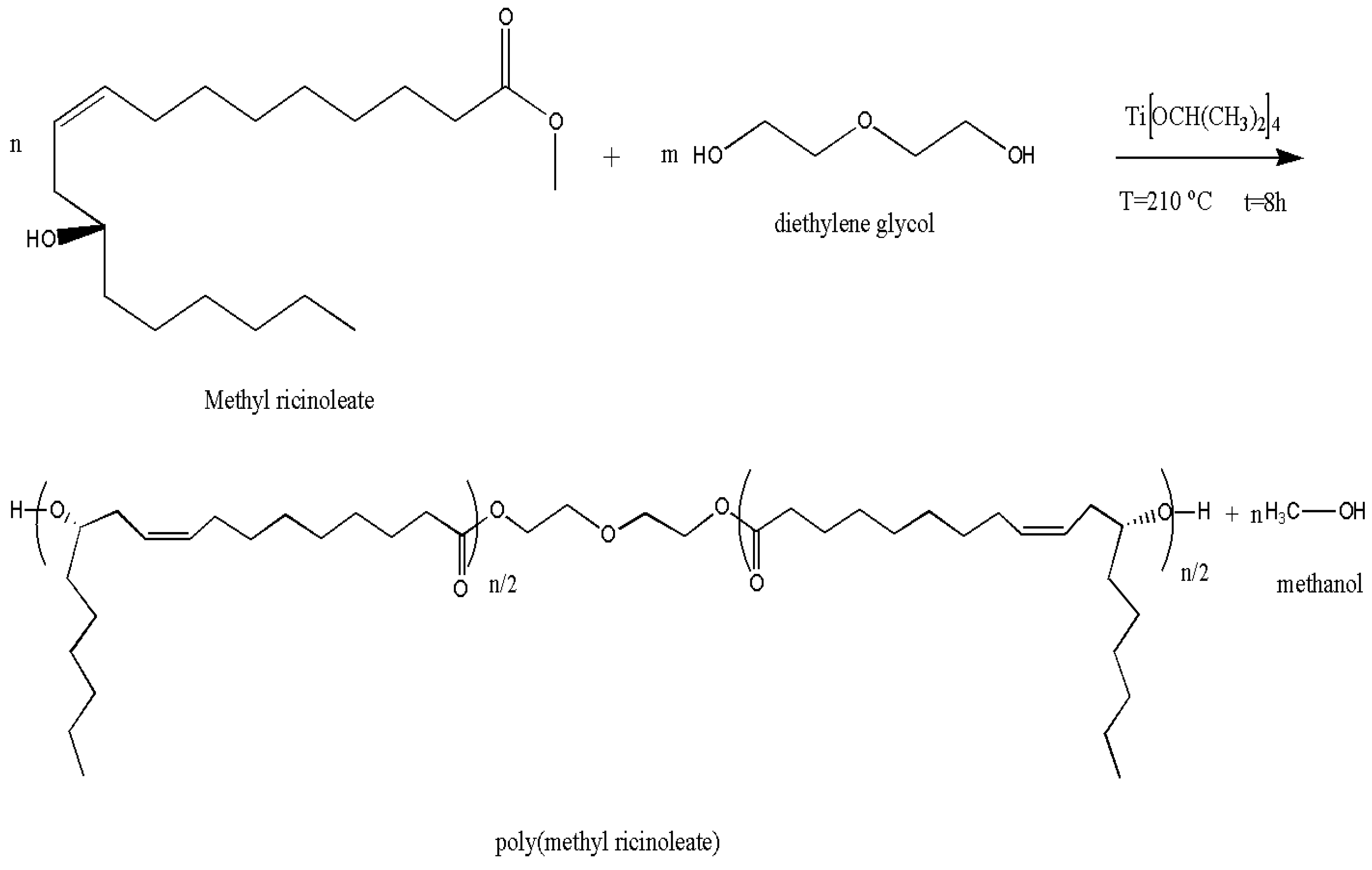
2.2.1. Synthesis of Poly(methyl ricinoleate) (PMR)
2.2.2. Synthesis of Poly(1,3-propanediol) (PPD)
2.3. Synthesis of ABA-Type Triblock Copolymers
2.4. Rheological Properties of Soft Segments
2.5. Gel Permeation Chromatography (GPC)
2.6. Fourier-Transform Infrared Spectroscopy (FTIR)
2.7. Nuclear Magnetic Resonance Spectroscopy (NMR)
2.8. Differential Scanning Calorimetry (DSC)
2.9. Thermogravimetric Analysis (TGA)
2.10. Mechanical Properties of Block Copolymers
3. Results
3.1. Analysis of Molar Masses and Rheological Properties
3.2. Analysis of the Molecular Structure Using 1H NMR Spectroscopy
3.3. Analysis of the Molecular Structure Using FTIR Spectroscopy
3.4. DSC Analysis
3.5. TG Analysis
3.6. Analysis of the Mechanical Properties of Synthesized Block Copolymers
4. Conclusions
Supplementary Materials
Author Contributions
Funding
Institutional Review Board Statement
Data Availability Statement
Conflicts of Interest
References
- Naser, A.Z.; Deiab, I.; Darras, B.M. Poly(lactic acid) (PLA) and polyhydroxyalkanoates (PHAs), green alternatives to petroleum-based plastics: A review. RSC Adv. 2021, 11, 17151. [Google Scholar] [CrossRef]
- Qiao, R.M.; Zhao, C.P.; Liu, J.L.; Zhang, M.L.; He, W.Q. Synthesis of novel ultraviolet absorbers and preparation and field application of anti-ultraviolet aging PBAT/UVA films. Polymers 2022, 14, 1434. [Google Scholar] [CrossRef]
- Moura, I.; Botelho, G.; Machado, A.V. Characterization of EVA/PLA blends when exposed to different environments. J. Polym. Environ. 2014, 22, 148–157. [Google Scholar] [CrossRef]
- Masutani, K.; Kimura, Y. Present situation and future perspectives of poly(lactic acid). Adv. Polym. Sci. 2018, 279, 1–25. [Google Scholar]
- Gupta, B.; Revagade, N.; Hilborn, J. Poly(lactic acid) fiber: An overview. Prog. Polym. Sci. 2007, 32, 455–482. [Google Scholar] [CrossRef]
- Anderson, K.S.; Schreck, K.M.; Hillmyer, M.A. Toughening polylactide. Polym. Rev. 2008, 48, 85–108. [Google Scholar] [CrossRef]
- Wang, W.; Lu, W.; Goodwin, A.; Wang, H.; Yin, P.; Kang, N.G.; Hong, K.; Mays, J.W. Recent advances in thermoplastic elastomers from living polymerizations: Macromolecular architectures and supramolecular chemistry. Prog. Polym. Sci. 2019, 95, 1–31. [Google Scholar] [CrossRef]
- Huang, Y.; Chang, R.; Han, L.; Shan, G.; Bao, Y.; Pan, P. ABA-Type thermoplastic elastomers composed of poly(ε-caprolactone-co-δ-valerolactone) soft midblock and polymorphic poly(lactic acid) hard end blocks. ACS Sustain. Chem. Eng. 2016, 4, 121–128. [Google Scholar] [CrossRef]
- Konwar, D.B.; Sethy, S.; Satapathy, B.K.; Jacob, J. Effect of poly(l-lactide) chain length on microstructural and thermo-mechanical properties of poly(l-lactide)-b-poly(butylene carbonate)-b-poly(l-lactide) triblock copolymers. Polymer 2017, 123, 87–99. [Google Scholar] [CrossRef]
- Rashkov, I.; Manolova, N.; Li, S.M.; Espartero, J.L.; Vert, M. Synthesis, characterization, and hydrolytic degradation of PLA/PEO/PLA triblock copolymers with short poly(l-lactic acid) chains. Macromolecules 1996, 29, 50–56. [Google Scholar] [CrossRef]
- Li, S.M.; Rashkov, I.; Espartero, J.L.; Manolova, N.; Vert, M. Synthesis, characterization, and hydrolytic degradation of PLA/PEO/PLA triblock copolymers with long poly(l-lactic acid) blocks. Macromolecules 1996, 29, 57–62. [Google Scholar] [CrossRef]
- Huang, M.H.; Li, S.; Vert, M. Synthesis and degradation of PLA–PCL–PLA triblock copolymer prepared by successive polymerization of ε-caprolactone and dl-lactide. Polymer 2004, 45, 8675–8681. [Google Scholar] [CrossRef]
- Liu, J.; Jia, M.; Gnanou, Y.; Feng, X. One-pot synthesis of CO2-based polylactide-b-poly(ether carbonate)-b-polylactide triblock copolymers and their mechanical properties. Macromolecules 2023, 56, 1615−1624. [Google Scholar] [CrossRef]
- Sipos, L.; Zsuga, M.; Deák, G. Synthesis of poly(L-lactide)-block-polyisobutylene-block-poly(L-lactide), a new biodegradable thermoplastic elastomer. Macromol. Rapid Commun. 1995, 16, 935–940. [Google Scholar] [CrossRef]
- Martello, M.T.; Hillmyer, M.A. Polylactide-poly(6-methyl-ε-caprolactone)-polylactide thermoplastic elastomers. Macromolecules 2011, 44, 8537–8545. [Google Scholar] [CrossRef]
- Jing, Z.; Shi, X.; Zhang, G. Synthesis and properties of biodegradable supramolecular polymers based on polylactide-block-poly(δ-valerolactone)-block-polylactide triblock copolymers. Polym. Int. 2017, 66, 1487–1497. [Google Scholar] [CrossRef]
- Ba, C.; Yang, J.; Hao, Q.; Liu, X.; Cao, A. Synthesis and physical characterization of new aliphatic triblock poly(L-lactide-b-butylene succinate-b-L-lactide)s bearing soft and hard biodegradable building blocks. Biomacromolecules 2003, 4, 1827–1834. [Google Scholar] [CrossRef] [PubMed]
- Fabbri, M.; Soccio, M.; Costa, M.; Lotti, N.; Gazzano, M.; Siracusa, V.; Gamberini, R.; Rimini, B.; Munari, A.; Garcia-Fernandez, L.; et al. New fully bio-based PLLA triblock copoly(ester urethane)s as potential candidates for soft tissue engineering. Polym. Degrad. Stab. 2016, 132, 169–180. [Google Scholar] [CrossRef]
- Wei, Z.; Che, R.; Shao, S.; Wang, Y.; Leng, X.; Li, Y. ABA triblock copolyesters composed of poly(L-lactide) A hard blocks: A comparative study of amorphous and crystalline aliphatic polyesters as B soft blocks. Polym. Test. 2020, 83, 106348. [Google Scholar] [CrossRef]
- Kiesewetter, M.K.; Edward, J.A.; Kim, H.; Waymouth, R.M. Polycondensation of butenediol: Synthesis of telechelic 2-butene-1,4-diol oligomers. J. Am. Chem. Soc. 2011, 133, 16390–16393. [Google Scholar] [CrossRef]
- Shi, R.; Chen, D.; Liu, Q.; Wu, Y.; Xu, X.; Zhang, L.; Tian, W. Recent advances in synthetic bioelastomers. Int. J. Mol. Sci. 2009, 10, 4223. [Google Scholar] [CrossRef] [PubMed]
- Xu, Y.; Petrovic, Z.; Das, S.; Wilkes, G.L. Morphology and properties of thermoplastic polyurethanes with dangling chains in ricinoleate-based soft segments. Polymer 2008, 49, 4248–4258. [Google Scholar] [CrossRef]
- Ionescu, M. Polyols for Polyurethanes—Chemistry and Technology, 3rd ed.; Walter de Gruyter GmbH: Berlin, Germany; Boston, MA, USA, 2019; Volume 2, p. 206. [Google Scholar]
- Ristić, I.S.; Tanasić, L.; Nikolić, L.B.; Cakić, S.M.; Ilić, O.Z.; Radičević, R.Ž.; Budinski-Simendić, J.K. The Properties of Poly(l-Lactide) Prepared by Different Synthesis Procedure. J. Polym. Environ. 2011, 19, 419–430. [Google Scholar] [CrossRef]
- ASTM D882; Standard Test Method for Tensile Properties of Thin Plastic Sheeting. ASTM International: West Conshohocken, PA, USA, 2018.
















| Sample | L-LA/PMR(PPD) in Feed (mol/mol) | PLLA in Copolymer (wt%) |
|---|---|---|
| PLLA3,5-b-PMR-b-PLLA3,5 * | 1/1 | 51 |
| PLLA7-b-PMR-b-PLLA7 | 2/1 | 65 |
| PLLA10-b-PMR-b-PLLA10 | 3/1 | 72 |
| PLLA4-b-PPD-b-PLLA4 | 2/1 | 68 |
| PLLA6-b-PPD-b-PLLA6 | 3/1 | 76 |
| PLLA10-b-PPD-b-PLLA10 | 5/1 | 83 |
| Sample | Mn (g/mol) | Mw (g/mol) | PDI | Viscosity, Pa∙s |
|---|---|---|---|---|
| PMR | 7200 | 10,000 | 1.39 | 1.39 |
| PPD | 3800 | 7100 | 1.87 | 1.118 |
| PLLA | 12,000 | 12,800 | 1.06 | / |
| ABA copolymer/PLLA block | ||||
| PLLA3,5-b-PMR-b-PLLA3,5 | 14,720/7520 | / | / | / |
| PLLA7-b-PMR-b-PLLA7 | 20,800/13,600 | / | / | / |
| PLLA10-b-PMR-b-PLLA10 | 26,010/18,110 | / | / | / |
| PLLA4-b-PPD-b-PLLA4 | 12,000/8200 | / | / | / |
| PLLA6-b-PPD-b-PLLA6 | 15,700/11,900 | / | / | / |
| PLLA10-b-PPD-b-PLLA10 | 22,980/19,180 | / | / | / |
| Sample | Tg (°C) | Tc (°C) | ΔHc (J/g) | Tm (°C) | ΔHm (J/g) |
|---|---|---|---|---|---|
| PMR | −77.9 | / | / | / | / |
| PPD | −76.51 | −37.37 | 66.87 | 13.24 | 89.18 |
| PLLA | 50.53 | 113.01 | 19.94 | 135.71 | 21.39 |
| Sample | Tg (ss), (°C) | Tg (hs), (°C) | Tc (hs), (°C) | ΔHc (hs), (°C) | Tm (hs), (°C) | ΔHm (hs), (°C) |
|---|---|---|---|---|---|---|
| PLLA3,5-b-PMR-b-PLLA3,5 | −73.58 | 44.93 | / | / | 142.29 | 9.947 |
| PLLA7-b-PMR-b-PLLA7 | −73.69 | 38.04 | 77.23 | 1.001 | 142.96 | 11.02 |
| PLLA10-b-PMR-b-PLLA10 | −73.53 | 31.24 | 73.87 | 11.44 | 142.72 | 11.44 |
| PLLA4-b-PPD-b-PLLA4 | −65.47 | / | / | / | / | / |
| PLLA6-b-PPD-b-PLLA6 | −63.21 | 44.76 | / | / | / | / |
| PLLA10-b-PPD-b-PLLA10 | −53.74 | 45.52 | / | / | / | / |
| Sample | Tensile Strength (MPa) | Elongation at Break (%) | Young’s Modulus (GPa) |
|---|---|---|---|
| PLLA | 64.25 ± 2.8 | 5.51 ± 0.4 | 3.20 ± 0.15 |
| PLLA7-PMR | 40.39 ± 1.9 | 18.86 ± 1.5 | 1.45 ± 0.08 |
| PLLA10-PMR | 36.12 ± 1.6 | 21.87 ± 1.8 | 1.10 ± 0.06 |
| PLLA4-PPD | 39.61 ± 1.7 | 7.47 ± 0.6 | 2.35 ± 0.11 |
| PLLA6-PPD | 51.18 ± 2.2 | 8.69 ± 0.7 | 2.55 ± 0.12 |
| PLLA10-PPD | 58.52 ± 2.5 | 16.82 ± 1.3 | 2.80 ± 0.14 |
Disclaimer/Publisher’s Note: The statements, opinions and data contained in all publications are solely those of the individual author(s) and contributor(s) and not of MDPI and/or the editor(s). MDPI and/or the editor(s) disclaim responsibility for any injury to people or property resulting from any ideas, methods, instructions or products referred to in the content. |
© 2026 by the authors. Licensee MDPI, Basel, Switzerland. This article is an open access article distributed under the terms and conditions of the Creative Commons Attribution (CC BY) license.
Share and Cite
Ristić, I.; Krstić, M.; Cakić, S.; Nikolić, L.; Teofilović, V.; Erceg, T.; Mićić, V. Synthesis and Structure–Property Relationships of PLLA-Based ABA Triblock Copolymers with Bio-Based Soft Segments. Polymers 2026, 18, 428. https://doi.org/10.3390/polym18040428
Ristić I, Krstić M, Cakić S, Nikolić L, Teofilović V, Erceg T, Mićić V. Synthesis and Structure–Property Relationships of PLLA-Based ABA Triblock Copolymers with Bio-Based Soft Segments. Polymers. 2026; 18(4):428. https://doi.org/10.3390/polym18040428
Chicago/Turabian StyleRistić, Ivan, Marija Krstić, Suzana Cakić, Ljubiša Nikolić, Vesna Teofilović, Tamara Erceg, and Vladan Mićić. 2026. "Synthesis and Structure–Property Relationships of PLLA-Based ABA Triblock Copolymers with Bio-Based Soft Segments" Polymers 18, no. 4: 428. https://doi.org/10.3390/polym18040428
APA StyleRistić, I., Krstić, M., Cakić, S., Nikolić, L., Teofilović, V., Erceg, T., & Mićić, V. (2026). Synthesis and Structure–Property Relationships of PLLA-Based ABA Triblock Copolymers with Bio-Based Soft Segments. Polymers, 18(4), 428. https://doi.org/10.3390/polym18040428

