Sign in to use this feature.

Years

Between: -

Subjects

remove_circle_outline
remove_circle_outline
remove_circle_outline
remove_circle_outline
remove_circle_outline
remove_circle_outline

Journals

Article Types

Countries / Regions

Search Results (7)

Search Parameters:
Keywords = tetramethyl ammonium hydroxide (TMAH)

Order results
Result details
Results per page
Select all
Export citation of selected articles as:
11 pages, 2496 KB  
Article
Vertical Etching of Scandium Aluminum Nitride Thin Films Using TMAH Solution
by A. S. M. Zadid Shifat, Isaac Stricklin, Ravi Kiran Chityala, Arjun Aryal, Giovanni Esteves, Aleem Siddiqui and Tito Busani
Nanomaterials 2023, 13(2), 274; https://doi.org/10.3390/nano13020274 - 9 Jan 2023
Cited by 16 | Viewed by 5376
Abstract
A wide bandgap, an enhanced piezoelectric coefficient, and low dielectric permittivity are some of the outstanding properties that have made ScxAl1xN a promising material in numerous MEMS and optoelectronics applications. One of the substantial challenges of fabricating [...] Read more.
A wide bandgap, an enhanced piezoelectric coefficient, and low dielectric permittivity are some of the outstanding properties that have made ScxAl1xN a promising material in numerous MEMS and optoelectronics applications. One of the substantial challenges of fabricating ScxAl1xN devices is its difficulty in etching, specifically with higher scandium concentration. In this work, we have developed an experimental approach with high temperature annealing followed by a wet etching process using tetramethyl ammonium hydroxide (TMAH), which maintains etching uniformity across various Sc compositions. The experimental results of etching approximately 730 nm of ScxAl1xN (x = 0.125, 0.20, 0.40) thin films show that the etch rate decreases with increasing scandium content. Nevertheless, sidewall verticality of 85°~90° (±0.2°) was maintained for all Sc compositions. Based on these experimental outcomes, it is anticipated that this etching procedure will be advantageous in the fabrication of acoustic, photonic, and piezoelectric devices. Full article
Show Figures

Figure 1

14 pages, 4224 KB  
Article
Selective Etching of Si versus Si1−xGex in Tetramethyl Ammonium Hydroxide Solutions with Surfactant
by Yongjoon Choi, Choonghee Cho, Dongmin Yoon, Joosung Kang, Jihye Kim, So Young Kim, Dong Chan Suh and Dae-Hong Ko
Materials 2022, 15(19), 6918; https://doi.org/10.3390/ma15196918 - 5 Oct 2022
Viewed by 4230
Abstract
We investigated the selective etching of Si versus Si1−xGex with various Ge concentrations (x = 0.13, 0.21, 0.30, 0.44) in tetramethyl ammonium hydroxide (TMAH) solution. Our results show that the Si1−xGex with a higher Ge concentration was [...] Read more.
We investigated the selective etching of Si versus Si1−xGex with various Ge concentrations (x = 0.13, 0.21, 0.30, 0.44) in tetramethyl ammonium hydroxide (TMAH) solution. Our results show that the Si1−xGex with a higher Ge concentration was etched slower due to the reduction in the Si(Ge)–OH bond. Owing to the difference in the etching rate, Si was selectively etched in the Si0.7Ge0.3/Si/Si0.7Ge0.3 multi-layer. The etching rate of Si depends on the Si surface orientation, as TMAH is an anisotropic etchant. The (111) and (010) facets were formed in TMAH, when Si was laterally etched in the <110> and <100> directions in the multi-layer, respectively. We also investigated the effect of the addition of Triton X-100 in TMAH on the wet etching process. Our results confirmed that the presence of 0.1 vol% Triton reduced the roughness of the etched Si and Si1−xGex surfaces. Moreover, the addition of Triton to TMAH could change the facet formation from (010) to (011) during Si etching in the <100>-direction. The facet change could reduce the lateral etching rate of Si and consequently reduce selectivity. The decrease in the layer thickness also reduced the lateral Si etching rate in the multi-layer. Full article
Show Figures

Figure 1

13 pages, 4293 KB  
Article
Experimental Method for Evaluating the Reactivity of Alkali-Carbonate Reaction Activity
by Xiang Liu, Zhongyang Mao, Lei Yi, Zhiyuan Fan, Tao Zhang, Xiaojun Huang, Min Deng and Mingshu Tang
Materials 2022, 15(8), 2853; https://doi.org/10.3390/ma15082853 - 13 Apr 2022
Cited by 2 | Viewed by 2361
Abstract
The main aim of this study was focused on the Method of testing alkali-carbonate reaction activity to avoid alkali-carbonate reaction damage. In this paper, the alkali-carbonate reaction activity and alkali-silica reaction activity of ten kinds of aggregates were determined and analysed by existing [...] Read more.
The main aim of this study was focused on the Method of testing alkali-carbonate reaction activity to avoid alkali-carbonate reaction damage. In this paper, the alkali-carbonate reaction activity and alkali-silica reaction activity of ten kinds of aggregates were determined and analysed by existing standards and methods, by making specimens with aggregates of 2.5–5 mm and 5–10 mm particle size, cured in 1 mol/L tetramethyl ammonium hydroxide solution at 60 °C and 80 °C. Tetramethyl ammonium hydroxide solution was used to exclude the expansion caused by alkali-silica reaction. Effects of aggregate particle size and curing temperature on the expansion of samples were systematically investigated to determine alkali-carbonate reactivity of aggregates. In order to explore the relationship between stress and strain of aggregates, these aggregates were prepared into compacted bodies to test their stress and try to discover the pattern. The results showed that the expansion of the mould specimen prepared by the aggregate of 5–10 mm particle size, cured in 1 mol/L tetramethyl ammonium hydroxide solution at 80 °C was greater than 0.1% after 42 days, which could be used as a reference criterion to determine the alkali-carbonate reaction activity of the aggregate. In addition, the expansion stress test suggest that the alkali-carbonate reaction can generate expansion stress. The expansion stress of aggregates with alkali-carbonate reaction activity were much larger than that of aggregates without alkali-carbonate reaction activity. Through SEM and EDX analysis of the products of the alkali-carbonate reaction, it was shown that the dolomite crystals in the dolomitic aggregates reacted with the TMAH solution and resulted in alkali-carbonate reaction, forming calcite and brucite. Full article
(This article belongs to the Special Issue Investigation of Advanced Concretes and Their Properties)
Show Figures

Figure 1

14 pages, 1871 KB  
Article
Assessment of the Efficiency of Chemical and Thermochemical Depolymerization Methods for Lignin Valorization: Principal Component Analysis (PCA) Approach
by Khaled Younes, Ahmad Moghrabi, Sara Moghnie, Omar Mouhtady, Nimer Murshid and Laurent Grasset
Polymers 2022, 14(1), 194; https://doi.org/10.3390/polym14010194 - 4 Jan 2022
Cited by 21 | Viewed by 3337
Abstract
Energy demand and the use of commodity consumer products, such as chemicals, plastics, and transportation fuels, are growing nowadays. These products, which are mainly derived from fossil resources and contribute to environmental pollution and CO2 emissions, will be used up eventually. Therefore, a [...] Read more.
Energy demand and the use of commodity consumer products, such as chemicals, plastics, and transportation fuels, are growing nowadays. These products, which are mainly derived from fossil resources and contribute to environmental pollution and CO2 emissions, will be used up eventually. Therefore, a renewable inexhaustible energy source is required. Plant biomass resources can be used as a suitable alternative source due to their green, clean attributes and low carbon emissions. Lignin is a class of complex aromatic polymers. It is highly abundant and a major constituent in the structural cell walls of all higher vascular land plants. Lignin can be used as an alternative source for fine chemicals and raw material for biofuel production. There are many chemical processes that can be potentially utilized to increase the degradation rate of lignin into biofuels or value-added chemicals. In this study, two lignin degradation methods, CuO–NaOH oxidation and tetramethyl ammonium hydroxide (TMAH) thermochemolysis, will be addressed. Both methods showed a high capacity to produce a large molecular dataset, resulting in tedious and time-consuming data analysis. To overcome this issue, an unsupervised machine learning technique called principal component analysis (PCA) is implemented. Full article
(This article belongs to the Special Issue Lignin Based Materials: Structure, Properties and Applications)
Show Figures

Graphical abstract

7 pages, 2030 KB  
Article
Investigation of 1/f and Lorentzian Noise in TMAH-treated Normally-Off GaN MISFETs
by Ki-Sik Im, Mallem Siva Pratap Reddy, Yeo Jin Choi, Youngmin Hwang, Sung Jin An and Jea-Seung Roh
Crystals 2020, 10(8), 717; https://doi.org/10.3390/cryst10080717 - 18 Aug 2020
Cited by 3 | Viewed by 3283
Abstract
A tetramethyl ammonium hydroxide (TMAH)-treated normally-off Gallum nitride (GaN) metal-insulator-semiconductor field-effect transistor (MISFET) was fabricated and characterized using low-frequency noise (LFN) measurements in order to find the conduction mechanism and analyze the trapping behavior into the gate insulator as well as the GaN [...] Read more.
A tetramethyl ammonium hydroxide (TMAH)-treated normally-off Gallum nitride (GaN) metal-insulator-semiconductor field-effect transistor (MISFET) was fabricated and characterized using low-frequency noise (LFN) measurements in order to find the conduction mechanism and analyze the trapping behavior into the gate insulator as well as the GaN buffer layer. At the on-state, the noise spectra in the fabricated GaN device were 1/fγ properties with γ ≈ 1, which is explained by correlated mobility fluctuations (CMF). On the other hand, the device exhibited Lorentzian or generation-recombination (g-r) noises at the off-state due to deep-level trapping/de-trapping into the GaN buffer layer. The trap time constants (τi) calculated from the g-r noises became longer when the drain voltage increased up to 5 V, which was attributed to deep-level traps rather than shallow traps. The severe drain lag was also investigated from pulsed I-V measurement, which is supported by the noise behavior observed at the off-state. Full article
Show Figures

Graphical abstract

8 pages, 2898 KB  
Article
Multilevel Switching Characteristics of Si3N4-Based Nano-Wedge Resistive Switching Memory and Array Simulation for In-Memory Computing Application
by Dong Keun Lee, Min-Hwi Kim, Suhyun Bang, Tae-Hyeon Kim, Sungjun Kim, Seongjae Cho and Byung-Gook Park
Electronics 2020, 9(8), 1228; https://doi.org/10.3390/electronics9081228 - 30 Jul 2020
Cited by 5 | Viewed by 3419
Abstract
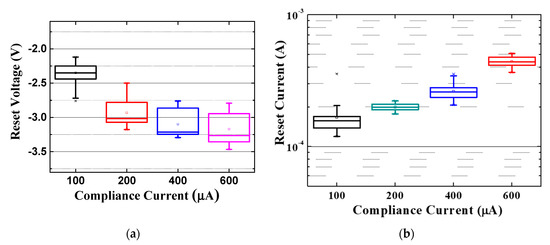
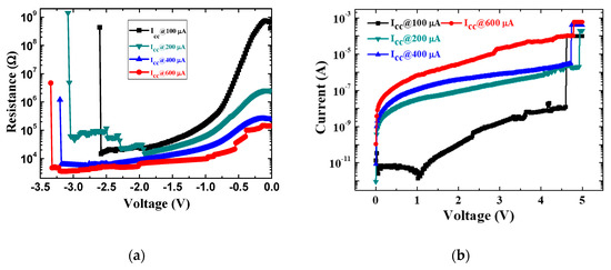
In this research, nano-wedge resistive switching random-access memory (ReRAM) based on a Si3N4 switching layer and silicon bottom electrode was fabricated, and its multilevel switching characteristics were investigated. The wedge bottom electrode was formed by a tetramethyl ammonium hydroxide (TMAH) [...] Read more.
In this research, nano-wedge resistive switching random-access memory (ReRAM) based on a Si3N4 switching layer and silicon bottom electrode was fabricated, and its multilevel switching characteristics were investigated. The wedge bottom electrode was formed by a tetramethyl ammonium hydroxide (TMAH) wet-etching process. The nano-wedge ReRAM was demonstrated to have different reset current levels by varying the compliance currents. To explain the effect of modulating the compliance currents, the switching characteristics of both the SET and RESET behaviors were shown. After measuring the device under four different compliance currents, it was proved to have different current levels due to an inhibited resistive state after a SET switching process. Furthermore, SPICE circuit simulation was carried out to show the effect of line resistance on current summation for the array sizes of 8 × 8 and 16 × 16. These results indicate the importance of minimizing the line resistance for successful implementation as a hardware-based neural network. Full article
(This article belongs to the Section Semiconductor Devices)
Show Figures

Figure 1

15 pages, 3842 KB  
Article
Development of Novel Method for Immobilizing TMAH-Degrading Microbe into Pellet and Characterization Tool, for Verifying Its Robustness in Electronics Wastewater Treatment
by Seungjoon Chung, Jeongyun Choi and Jinwook Chung
Int. J. Environ. Res. Public Health 2020, 17(12), 4411; https://doi.org/10.3390/ijerph17124411 - 19 Jun 2020
Cited by 3 | Viewed by 3158
Abstract
This study describes an immobilization method of enriched microorganism, for robustly degrading organic compounds, including tetramethyl ammonium hydroxide (TMAH) in electronics wastewater without an increase of total organic carbon (TOC) in effluent. The enriched TMAH degrading bacteria was entrapped inside the pellets through [...] Read more.
This study describes an immobilization method of enriched microorganism, for robustly degrading organic compounds, including tetramethyl ammonium hydroxide (TMAH) in electronics wastewater without an increase of total organic carbon (TOC) in effluent. The enriched TMAH degrading bacteria was entrapped inside the pellets through polymerization. Polymerization conditions were optimized in terms of long-term TOC leak tests of pellet. Among several methods, a differential scanning calorimetry (DSC) analysis was found to be effective for the hands-on evaluation of stability in pellet. Stable pellets showed less than 10 J/g of curing heat by DSC analysis. This method is suitable for the optimization of polymerization conditions and controlling the quality of pellets. The removal efficiency of TMAH was over 95% and effluent concentration of TOC was below 100 ppb. The viability test results revealed that entrapped microorganisms were actively survived after five months of operations. This immobilization method is strongly suggested as a new strategy for the wastewater reuse process in low-strength electronics wastewater. Full article
(This article belongs to the Section Environmental Science and Engineering)
Show Figures

Figure 1

Back to TopTop