Sign in to use this feature.

Years

Between: -

Subjects

remove_circle_outline
remove_circle_outline
remove_circle_outline
remove_circle_outline
remove_circle_outline

Journals

Article Types

Countries / Regions

Search Results (11)

Search Parameters:
Keywords = tabata intervals

Order results
Result details
Results per page
Select all
Export citation of selected articles as:
11 pages, 397 KB  
Article
Implementing High-Intensity Interval Training in Physical Education: Effects on Adolescents’ Exercise Motivation
by Petar Mitić, Rade Jovanović, Nenad Stojiljković, Nebojša Trajković, Mihai Olanescu, Adrian Suciu, Danut Popa and Miruna Peris
Behav. Sci. 2025, 15(4), 501; https://doi.org/10.3390/bs15040501 - 9 Apr 2025
Cited by 2 | Viewed by 1920
Abstract
(1) Background: The aim of this study was to determine the effects of high-intensity interval training (HIIT) implemented in physical education classes on adolescents’ motivation for exercise. (2) Methods: This study involved 60 male adolescents (16.23 ± 0.6 years) recruited from a local [...] Read more.
(1) Background: The aim of this study was to determine the effects of high-intensity interval training (HIIT) implemented in physical education classes on adolescents’ motivation for exercise. (2) Methods: This study involved 60 male adolescents (16.23 ± 0.6 years) recruited from a local high school who were randomly assigned to either the HIIT group or the control group (CG). The Exercise Motivation Inventory-2 (EMI-2) questionnaire was used to assess how participation in a HIIT program influenced the motivation to exercise among adolescents. The experimental program consisted of a 12-week HIIT program, integrated into the preparatory part of physical education classes. Sessions were held twice weekly, with each session lasting ~10 min. The HIIT group performed the Tabata protocol, which consisted of two 4 min sequences of eight different high-intensity exercises (burpees, split jumps, jumping jacks, push-ups, wall ball, crunches, frog jumps, and Russian twists), each lasting 20 s with 10 s rest intervals, separated by a 1 min recovery period. The control group conducted the traditional moderate-intensity warm-up exercises for the same total duration. After the warm-up protocols, both groups continued with the same physical education classes, which included a variety of instructional and moderate-intensity activities. (3) Results: A significant time × group interaction was observed for social recognition (p = 0.04; partial eta squared η2p = 0.079, medium effect), indicating that HIIT had a superior effect compared to CG. Affiliation also showed a significant improvement in the HIIT group (p = 0.02), while no significant changes were noted in the CG (p = 0.35). Similarly, competition significantly increased in the HIIT group (p = 0.02), whereas no significant differences were found in the CG (p = 0.74). For all other motivational factors, no significant effects of time or group factors were found (p > 0.05). (4) Conclusions: This study highlights the positive effects of school-based HIIT on male adolescents’ motivation, particularly in the area of social recognition. Full article
Show Figures

Figure 1

13 pages, 682 KB  
Article
Enhancing Adolescent Physical Fitness and Well-Being: A School-Based High-Intensity Interval Training Program
by Petar Mitić, Rade Jovanović, Nikola Stojanović, Valentin Barišić and Nebojša Trajković
J. Funct. Morphol. Kinesiol. 2024, 9(4), 279; https://doi.org/10.3390/jfmk9040279 - 20 Dec 2024
Cited by 5 | Viewed by 2056
Abstract
Background: The aim of this study is to investigate the effects of a school-based high-intensity interval training (HIIT) program on quality of life and physical fitness in adolescents. Methods: The study included 60 male adolescents (16.2 ± 0.6 years), randomly assigned [...] Read more.
Background: The aim of this study is to investigate the effects of a school-based high-intensity interval training (HIIT) program on quality of life and physical fitness in adolescents. Methods: The study included 60 male adolescents (16.2 ± 0.6 years), randomly assigned to one of two groups: the HIIT group (n = 30) and the control group (CG, n = 30). Participants completed the KIDSCREEN-27 questionnaire to evaluate quality of life and physical fitness tests, including vertical jump, repetitive strength, agility, and flexibility. The experimental program consisted of a 12-week intervention integrated into the warm-up phase of regular physical education (PE) classes. Each PE class lasted 45 min, with the HIIT regimen occupying 10 min of the warm-up phase. The HIIT sessions followed a Tabata-style structure, performed twice weekly. A two-way ANOVA with repeated measures assessed group and time interaction effects. Results: The results revealed changes in physical well-being following the HIIT intervention (p = 0.01) compared to the control group (p = 0.42). The results of the two-way ANOVA with repeated measures revealed interaction effects between group and time for the various fitness tests, countermovement jump (p = 0.04), 4 × 10 m agility test (p = 0.02), medicine ball throw test (p = 0.04), and sit-ups (30 s) (p = 0.01). Conclusions: This study highlights the effectiveness of school-based HIIT in significantly enhancing physical well-being and physical fitness among adolescents. Full article
Show Figures

Figure 1

13 pages, 2825 KB  
Article
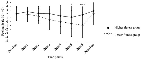
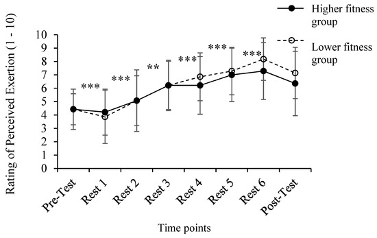
The Effect of Aerobic Fitness on Psychological, Attentional and Physiological Responses during a Tabata High-Intensity Interval Training Session in Healthy Young Women
by Cleopatra M. Reppa, Gregory C. Bogdanis, Nektarios A. M. Stavrou and Maria Psychountaki
Int. J. Environ. Res. Public Health 2023, 20(2), 1005; https://doi.org/10.3390/ijerph20021005 - 5 Jan 2023
Cited by 8 | Viewed by 5028
Abstract
The current study examines the effects of a Tabata high-intensity interval training (HIIT) session on affective, cognitive and physiological indicators in women of different fitness levels. A total of 28 adult women (aged 24.2 ± 1.5 years) completed a 20 m shuttle run [...] Read more.
The current study examines the effects of a Tabata high-intensity interval training (HIIT) session on affective, cognitive and physiological indicators in women of different fitness levels. A total of 28 adult women (aged 24.2 ± 1.5 years) completed a 20 m shuttle run test and were then assigned to higher fitness and lower fitness groups (HF and LF, n = 14 each) according to their predicted aerobic power. On a separate occasion, participants completed a 30 min Tabata workout (six 4 min rounds separated by 1 min passive rest). Each round included eight exercises (20 s exercise and 10 s rest). Affective, physiological and cognitive responses were assessed prior to, during and after the protocol. Heart rate and blood lactate concentration increased similarly in both groups over time throughout the workout (p < 0.001). Total Mood Disturbance was higher for LF (111.4 ± 15.7) vs. HF (102.9 ± 11.7) (p = 0.48), vigor showed a level by time interaction of p = 0.006 and Activation–Deactivation Adjective Check List factors deteriorated over time (p < 0.001). The Concentration Grid Test was better overall for HF (10.5 ± 3.6) vs. LF (8.6 ± 3.6) (p = 0.05). The Feeling Scale and Rating of Perceived Exertion worsened similarly in both groups over time (p = 0.002 and p < 0.001, respectively). Positive and negative affect and arousal did not differ between groups or change over time (p > 0.05). These results show that, despite the different levels of aerobic fitness, physiological, metabolic, perceptual and affective responses were similar in the two groups of women during a 30 min Tabata session. This may imply that affective responses during this type of HIIT are independent of aerobic fitness. Full article
Show Figures

Figure 1

15 pages, 1154 KB  
Article
Effects of Low-Volume High-Intensity Interval Exercise on 24 h Movement Behaviors in Inactive Female University Students
by Yining Lu, Huw D. Wiltshire, Julien S. Baker and Qiaojun Wang
Int. J. Environ. Res. Public Health 2022, 19(12), 7177; https://doi.org/10.3390/ijerph19127177 - 11 Jun 2022
Cited by 6 | Viewed by 2571
Abstract
The purpose of this study was to examine if low-volume, high-intensity interval exercise (HIIE) was associated with changes in 24-h movement behaviors. A quasi-experimental study design was used. We collected accelerometry data from 21 eligible participants who consistently wore an ActiGraph for a [...] Read more.
The purpose of this study was to examine if low-volume, high-intensity interval exercise (HIIE) was associated with changes in 24-h movement behaviors. A quasi-experimental study design was used. We collected accelerometry data from 21 eligible participants who consistently wore an ActiGraph for a period of two-weeks. Differences in behaviors were analyzed using a paired t-test and repeated measures analysis of variance. Regression analysis was used to explore relationships with factors that impacted changes. The results indicated a compensatory increase in sedentary time (ST) (4.4 ± 6.0%, p < 0.01) and a decrease in light-intensity physical activity (LPA) (−7.3 ± 16.7%, p < 0.05). Meanwhile, moderate-intensity physical activity (MPA), vigorous-intensity physical activity (VPA), and total physical activity (TPA) increased following exercise (p < 0.001). Sleep duration and prolonged sedentary time were reduced (p < 0.05). Exercise intensity and aerobic capacity were associated with changes in ST. The results from the study indicate that participating in a low-volume HIIE encouraged participants who were previously inactive to become more active. The observations of increases in ST may have displaced a prolonged sitting time. The decrease in sleeping time observed may be reflecting an increased sleep quality in connection with increased higher-intensity PA. Full article
Show Figures

Figure 1

10 pages, 1279 KB  
Article
Impact of High-Intensity Interval Training on Body Composition and Depressive Symptoms in Adults under Home Confinement
by Diego Alonso-Fernández, Rosana Fernández-Rodríguez, Yaiza Taboada-Iglesias and Águeda Gutiérrez-Sánchez
Int. J. Environ. Res. Public Health 2022, 19(10), 6145; https://doi.org/10.3390/ijerph19106145 - 18 May 2022
Cited by 11 | Viewed by 3833
Abstract
The home confinement derived from the COVID-19 pandemic has led to drastic changes in people’s habits. This situation has influenced their eating, rest, physical activity and socialization patterns, triggering changes in their mental stability. It was demonstrated that physical activity is beneficial for [...] Read more.
The home confinement derived from the COVID-19 pandemic has led to drastic changes in people’s habits. This situation has influenced their eating, rest, physical activity and socialization patterns, triggering changes in their mental stability. It was demonstrated that physical activity is beneficial for people’s physical and mental health. By its moderate volume and requiring little space or material, high-intensity interval training (HIIT) could prove to be a valid alternative in a situation of confinement. The aim of the present study was to observe the impact of an 8-week HIIT protocol on the body composition and the depressive symptoms of adults in strict home confinement. A total of 21 healthy adults, both male and female, (35.4 ± 5.6 years old; 70.50 ± 12.1 kg; 171 ± 10 cm) were divided into an experimental group (EG, n = 11) who carried out an 8-week Tabata protocol, based upon calisthenic exercises with their own weight in their homes, and a control group (CG, n = 10) who did not carry out any systematic physical activity over the same period. Following the intervention, the EG experienced a significant reduction in percentage (t = 3.86, d = 0.57, p < 0.05) and in kg (t = 4.62, d = 0.29, p < 0.05) of body fat mass (BFM) and body fat mass index (BFMI) (t = 4.61, d = 0.31, p < 0.05), as well as a reduction in depressive symptoms (t = 6.48, d = 1.3, p < 0.05). These results indicate that HIIT is a potential public health tool that could possibly be prescribed to the population in case of future situations of home confinement. Full article
(This article belongs to the Special Issue Community Mental Health)
Show Figures

Figure 1

15 pages, 1220 KB  
Article
Prevalence of Positive Effects on Body Fat Percentage, Cardiovascular Parameters, and Cardiorespiratory Fitness after 10-Week High-Intensity Interval Training in Adolescents
by Jarosław Domaradzki, Dawid Koźlenia and Marek Popowczak
Biology 2022, 11(3), 424; https://doi.org/10.3390/biology11030424 - 10 Mar 2022
Cited by 19 | Viewed by 3738
Abstract
Analysis of the interventions on cardiovascular disease risk factors focuses on quantitative changes, omitting assessment of positive effect frequency in individuals. The aim of this study was to assess the prevalence of positive effects of high-intensity interval training (HIIT) on body composition, cardiovascular [...] Read more.
Analysis of the interventions on cardiovascular disease risk factors focuses on quantitative changes, omitting assessment of positive effect frequency in individuals. The aim of this study was to assess the prevalence of positive effects of high-intensity interval training (HIIT) on body composition, cardiovascular parameters, and cardiorespiratory fitness among adolescents. A total of 52 boys and 89 girls from a secondary school were separated into an experimental group (EG) with HIIT and a control group (CG). Body fat % (BFP), resting systolic blood pressure (SBP), diastolic blood pressure (DBP), and fitness index (FI) changes were calculated. We assessed the influence and interaction of three factors: intervention (INT), sex (SEX), and body mass index (BMIstatus) on the ratio of individuals with and without positive changes. We used log-linear models for interactions and multivariate correspondence analysis (MCA). The results indicate that HIIT affects the prevalence of positive changes in SBP, DBP, and FI. Interactions between factors suggest boys with low BMI get more benefit from the intervention than girls. The MCA indicates a relationship between FI and BFP and between BP parameters. The effectiveness of HIIT was confirmed concerning the prevalence of the positive changes in measured parameters. We suggest that HIIT should be implemented in PE lessons, although there is a need to look for a more efficient method for girls. Full article
Show Figures

Figure 1

14 pages, 785 KB  
Article
The Mediation Role of Fatness in Associations between Cardiorespiratory Fitness and Blood Pressure after High-Intensity Interval Training in Adolescents
by Jarosław Domaradzki, Dawid Koźlenia and Marek Popowczak
Int. J. Environ. Res. Public Health 2022, 19(3), 1698; https://doi.org/10.3390/ijerph19031698 - 1 Feb 2022
Cited by 10 | Viewed by 2610
Abstract
Background: Low cardiorespiratory fitness (CRF), elevated blood pressure (BP), and high fatness are cardiovascular disease risk factors. It remains unknown how fatness affects the influence of CRF on BP. Therefore, the aim was to examine whether the associations between baseline CRF and HIIT-postintervention [...] Read more.
Background: Low cardiorespiratory fitness (CRF), elevated blood pressure (BP), and high fatness are cardiovascular disease risk factors. It remains unknown how fatness affects the influence of CRF on BP. Therefore, the aim was to examine whether the associations between baseline CRF and HIIT-postintervention resting BP were mediated through fatness in adolescents. Material and methods: The sample (n = 64) comprised 28 boys 36 girls aged 16 years. The analysed factors were fitness index- reflecting CRF, body fat mass (BFM), fat mass index (FMI), and body mass index (BMI). Bootstrapped mediation procedures were performed. The mediation analysis was conducted concerning the sex moderation effect. Results: The mediation effect of sex was confirmed; therefore, mediations models were designed separately for boys and girls. The results showed a statistically significant inverse relationship between baseline CRF and post-intervention systolic blood pressure (SBP) in both sexes (boys: B = −0.603, p = 0.010; girls: B = −0.394, p = 0.037). The relations between CRF and SBP revealed the mediation effect of the BFM and the FMI only in boys. Conclusions: Fatness mediated associations between CRF and SBP in boys. Therefore, both CRF and fatness are necessary to maintain positive results of the BP revealed in normal SBP ranges after HIIT. Full article
(This article belongs to the Section Adolescents)
Show Figures

Figure 1

11 pages, 307 KB  
Opinion
H″IT″ting the Barriers for Exercising during Social Isolation
by Daniel Souza, Victor Coswig, Claudio Andre Barbosa de Lira and Paulo Gentil
Biology 2020, 9(9), 245; https://doi.org/10.3390/biology9090245 - 24 Aug 2020
Cited by 20 | Viewed by 5004
Abstract
Aerobic exercise is traditionally recommended to improve general health and prevent many non-communicable diseases. However, the measures adopted to control the novel Coronavirus (COVID-19) outbreak culminated with closing of exercise facilities and fitness centers and, as a primary consequence, impaired aerobic exercise practice. [...] Read more.
Aerobic exercise is traditionally recommended to improve general health and prevent many non-communicable diseases. However, the measures adopted to control the novel Coronavirus (COVID-19) outbreak culminated with closing of exercise facilities and fitness centers and, as a primary consequence, impaired aerobic exercise practice. This contributed to an increase in risk factors associated with physical inactivity such as insulin resistance, high blood pressure, low-grade inflammation, weight gain, and mental health problems. The scenario is worrisome, and it is important to propose alternatives for exercise practice during the COVID-19 pandemic. Interval training (IT) emerges as an exercise mode that might be feasible, low-cost, and potentially safe to be performed in many different places. IT consists of interspersing relative brief bouts of high-intensity exercise with recovery periods and promotes similar or greater health benefits when compared to moderate-intensity continuous exercise. Among the different types of IT, sprint interval training and “Tabata protocols” might be particularly useful during social isolation. These protocols can be controlled and performed without the need of complex equipment and can be adapted to different places, including domestic environments. In this article, we present variations of IT as possible alternatives to cope physical inactivity during COVID-19 pandemics with a focus on its practical applications. The protocols suggested can be performed without the need of specialized equipment or facilities, in a time-efficient manner, and aiming to prevent detraining or even improve physical fitness and general health. Full article
(This article belongs to the Section Physiology)
15 pages, 1106 KB  
Article
Effect of HIIT with Tabata Protocol on Serum Irisin, Physical Performance, and Body Composition in Men
by Eugenia Murawska-Cialowicz, Pawel Wolanski, Jolanta Zuwala-Jagiello, Yuri Feito, Miroslav Petr, Jakub Kokstejn, Petr Stastny and Dawid Goliński
Int. J. Environ. Res. Public Health 2020, 17(10), 3589; https://doi.org/10.3390/ijerph17103589 - 20 May 2020
Cited by 53 | Viewed by 9645
Abstract
High-intensity interval training (HIIT) is frequently utilized as a method to reduce body mass. Its intensity of work results in a number of beneficial adaptive changes in a relatively short period of time. Irisin is a myokine and adipokine secreted to the blood [...] Read more.
High-intensity interval training (HIIT) is frequently utilized as a method to reduce body mass. Its intensity of work results in a number of beneficial adaptive changes in a relatively short period of time. Irisin is a myokine and adipokine secreted to the blood during exercise and it takes part in the regulation of energy metabolism. It is a vital issue from the prophylaxis point of view as well as treatment through exercise of different diseases (e.g., obesity, type-2 diabetes). The aim of this study was to evaluate changes in irisin concentration, body composition, and aerobic and anaerobic performance in men after HIIT. Eight weeks of HIIT following the Tabata protocol was applied in the training group (HT) (n = 15), while a sedentary group (SED) (n = 10) did not participate in fitness activities within the same time period. Changes of irisin, body composition, and aerobic and anaerobic performance were evaluated after graded exercise test (GXT) and Wingate anaerobic test (WAnT) before and after eight weeks of training. Training resulted in an increased of blood irisin concentration (by 29.7%) p < 0.05), VO2max increase (PRE: 44.86 ± 5.74 mL·kg−1·min−1; POST: 50.16 ± 5.80 mL kg−1·min−1; p < 0.05), reduction in percent body fat (PRE: 14.44 ± 3.33%; POST: 13.61 ± 3.16%; p < 0.05), and increase of WAnT parameters (p < 0.05) in the HT group. No changes were observed in the SED group. HIIT resulted in beneficial effects in the increase in blood irisin concentration, physical performance, and reduced fat content. The HIIT may indicate an acceleration of base metabolism. This effect can be utilized in the prevention or treatment of obesity. Full article
Show Figures

Figure 1

11 pages, 346 KB  
Article
Effects of Tabata Training During Physical Education Classes on Body Composition, Aerobic Capacity, and Anaerobic Performance of Under-, Normal- and Overweight Adolescents
by Jarosław Domaradzki, Ireneusz Cichy, Andrzej Rokita and Marek Popowczak
Int. J. Environ. Res. Public Health 2020, 17(3), 876; https://doi.org/10.3390/ijerph17030876 - 30 Jan 2020
Cited by 42 | Viewed by 10896
Abstract
Physical education classes often fail to include sufficient exercise intensity to induce changes in body tissue composition and physical fitness. Short-term high-intensity interval training protocols incorporated into physical education lessons are one possible solution to this problem. Existing studies have not examined how [...] Read more.
Physical education classes often fail to include sufficient exercise intensity to induce changes in body tissue composition and physical fitness. Short-term high-intensity interval training protocols incorporated into physical education lessons are one possible solution to this problem. Existing studies have not examined how individuals differing in body mass index (e.g., normal-weight, underweight) respond to high-intensity interval training exercises. Therefore, this study aimed to evaluate the effects of a Tabata protocol on body composition measurements, aerobic capacity, and motor performance in underweight and overweight adolescents (the experimental groups) vs normal-weight adolescents (here regarded as the control group). The sample included 58 adolescents (28 boys, mean age = 16.2 years; 30 girls, mean age = 16.2 years) who completed the high-intensity interval training and the following set of measurements pre- and post- intervention: height, weight, body fat percentage and waist-to-hip ratio, physical efficiency index (based on the Harvard Step Test), agility (in 4 × 10 shuttle run test), and lower-limb muscle power in vertical jump. The results showed that high-intensity interval training was effective in reducing body weight, waist-to-hip ratio, and body fat percentage only in overweight individuals. Improvement in aerobic capacity was found only in underweight and overweight boys. Further research should focus on the development of customized exercise protocols and their adaptation to girls and assess the sustainability of the changes induced. Full article
(This article belongs to the Section Children's Health)
12 pages, 822 KB  
Article
Four Weeks of Off-Season Training Improves Peak Oxygen Consumption in Female Field Hockey Players
by Lindsey T. Funch, Erik Lind, Larissa True, Deborah Van Langen, John T. Foley and James F. Hokanson
Sports 2017, 5(4), 89; https://doi.org/10.3390/sports5040089 - 28 Nov 2017
Cited by 9 | Viewed by 7185
Abstract
The purpose of the study was to examine the changes in peak oxygen consumption ( V ˙O2peak) and running economy (RE) following four-weeks of high intensity training and concurrent strength and conditioning during the off-season in collegiate female field hockey [...] Read more.
The purpose of the study was to examine the changes in peak oxygen consumption ( V ˙O2peak) and running economy (RE) following four-weeks of high intensity training and concurrent strength and conditioning during the off-season in collegiate female field hockey players. Fourteen female student-athletes (age 19.29 ± 0.91 years) were divided into two training groups, matched from baseline V ˙O2peak: High Intensity Training (HITrun; n = 8) and High Intensity Interval Training (HIIT; n = 6). Participants completed 12 training sessions. HITrun consisted of 30 min of high-intensity running, while HIIT consisted of a series of whole-body high intensity Tabata-style intervals (75–85% of age predicted maximum heart rate) for a total of four minutes. In addition to the interval training, the off-season training included six resistance training sessions, three team practices, and concluded with a team scrimmage. V ˙O2peak was measured pre- and post-training to determine the effectiveness of the training program. A two-way mixed (group × time) ANOVA showed a main effect of time with a statistically significant difference in V ˙O2peak from pre- to post-testing, F(1, 12) = 12.657, p = 0.004, partial η2 = 0.041. Average (±SD) V ˙O2peak increased from 44.64 ± 3.74 to 47.35 ± 3.16 mL·kg−1·min−1 for HIIT group and increased from 45.39 ± 2.80 to 48.22 ± 2.42 mL·kg−1·min−1 for HITrun group. Given the similar improvement in aerobic power, coaches and training staff may find the time saving element of HIIT-type conditioning programs attractive. Full article
Show Figures

Figure 1

Back to TopTop