Sign in to use this feature.

Years

Between: -

Subjects

remove_circle_outline
remove_circle_outline
remove_circle_outline
remove_circle_outline
remove_circle_outline
remove_circle_outline

Journals

Article Types

Countries / Regions

Search Results (8)

Search Parameters:
Keywords = symptomatic and asymptomatic needles

Order results
Result details
Results per page
Select all
Export citation of selected articles as:
13 pages, 1557 KB  
Article
Fungal Communities in Asymptomatic and Symptomatic Needles of Pinus spp. Affected by Pine Needle Diseases
by Nebai Mesanza, Jenny Aitken, Amelia Uria and Eugenia Iturritxa
Microorganisms 2026, 14(1), 88; https://doi.org/10.3390/microorganisms14010088 (registering DOI) - 31 Dec 2025
Abstract
The aim of this study was to determine fungal diversity and composition in an area of high host diversity and identify the organisms involved in the appearance of symptoms in Pinus needles. Asymptomatic and symptomatic live needle samples were obtained from different Pinus [...] Read more.
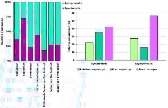
The aim of this study was to determine fungal diversity and composition in an area of high host diversity and identify the organisms involved in the appearance of symptoms in Pinus needles. Asymptomatic and symptomatic live needle samples were obtained from different Pinus spp. in an arboretum with confirmed presence of brown spot needle blight. The samples were analysed using high-throughput sequencing of fungal ITS2rDNA. Ascomycota dominated all samples, with Lophodermium as the most abundant genus, although it showed lower representation in symptomatic needles. Other genera with recognised pathogenic potential, including Lecanosticta, Pestalotiopsis, Cyclaneusma, Rhizosphaera, Neophysalospora, and Cenangium, were also detected, whereas the Dothistroma genus was absent despite its presence in the region. Alpha diversity was higher in asymptomatic needles, with a significant difference only for the Shannon index, while Bray–Curtis dissimilarity revealed significant shifts in community composition between needle types. Functional guilds were dominated by pathotroph–saprotroph trophic mode, and the functional guild ‘plant pathogen’ was the most abundant across samples. These findings identify fungal genera associated with symptomatic and asymptomatic needles and provide guidance for future targeted isolation and detailed morphological and molecular identification using more resolutive techniques, enabling a deeper understanding of pathogenic community presence and their potential synergistic interactions. Full article
(This article belongs to the Section Environmental Microbiology)
Show Figures

Figure 1

34 pages, 2713 KB  
Article
EpiInfer: A Non-Markovian Method and System to Forecast Infection Rates in Epidemics
by Jovan Kascelan, Ruoxi Yang and Dennis Shasha
Algorithms 2025, 18(7), 450; https://doi.org/10.3390/a18070450 - 21 Jul 2025
Viewed by 1094
Abstract
Consider an evolving epidemic in which each person is either (S) susceptible and healthy; (E) exposed, contagious but asymptomatic; (I) infected, symptomatic, and quarantined; or (R) recovered, healthy, and susceptible. The inference problem, given (i) who is showing symptoms (I) and who is [...] Read more.
Consider an evolving epidemic in which each person is either (S) susceptible and healthy; (E) exposed, contagious but asymptomatic; (I) infected, symptomatic, and quarantined; or (R) recovered, healthy, and susceptible. The inference problem, given (i) who is showing symptoms (I) and who is not (S, E, R) and (ii) the distribution of meetings among people each day, is to predict the number of infected people (state I) in future days (e.g., 1 through 20 days out into the future) for the purpose of planning resources (e.g., needles, medicine, staffing) and policy responses (e.g., masking). Each prediction horizon has different uses. For example, staffing may require forecasts of only a few days, while logistics (i.e., which supplies to order) may require a two- or three-week horizon. Our algorithm and system EpiInfer is a non-Markovian approach to forecasting infection rates. It is non-Markovian because it looks at infection rates over the past several days in order to make predictions about the future. In addition, it makes use of the following information: (i) the distribution of the number of meetings per person and (ii) the transition probabilities between states and uses those estimates to forecast future infection rates. In both simulated and real data, EpiInfer performs better than the standard (in epidemiology) differential equation approaches as well as general-purpose neural network approaches. Compared to ARIMA, EpiInfer is better starting with 6-day forecasts, while ARIMA is better for shorter forecast horizons. In fact, our operational recommendation would be to use ARIMA (1,1,1) for short predictions (5 days or less) and then EpiInfer thereafter. Doing so would reduce relative Root Mean Squared Error (RMSE) over any state of the art method by up to a factor of 4. Predictions of this accuracy could be useful for people, supply, and policy planning. Full article
Show Figures

Figure 1

10 pages, 2853 KB  
Case Report
Neck Schwannoma Masking as Thyroid Tumour: Into the Deep of Diagnostics and Anatomy
by Serghei Covantsev, Anna Bumbu, Anna Sukhotko, Evghenii Zakurdaev, Ivan Kuts and Andrey Evsikov
Diagnostics 2024, 14(20), 2332; https://doi.org/10.3390/diagnostics14202332 - 19 Oct 2024
Cited by 2 | Viewed by 2423
Abstract
Schwannomas are benign nerve sheath tumours that exhibit a slow rate of growth. In the vast majority of cases, schwannomas manifest as asymptomatic masses. The presence of symptomatic lesions may necessitate surgical removal. The incidence of schwannomas ranges from 4.4 to 5.23 cases [...] Read more.
Schwannomas are benign nerve sheath tumours that exhibit a slow rate of growth. In the vast majority of cases, schwannomas manifest as asymptomatic masses. The presence of symptomatic lesions may necessitate surgical removal. The incidence of schwannomas ranges from 4.4 to 5.23 cases per 100,000 population, accounting for approximately 7% of all primary tumours in the central nervous system. There is a limited number of case reports describing schwannomas outside the central nervous system. In rare instances, schwannomas may originate at the level of the thyroid gland. In such cases, incidental neck schwannomas may be mistaken for thyroid or parathyroid tumours. The increasing incidence of thyroid cancer draws more attention to all thyroid nodules, both benign and malignant. Thyroid nodules are detected in up to 65% of autopsies, with only 4–6.5% being malignant. Thyroid tumours are typically diagnosed by USG; however, they are often revealed incidentally during neck CT or MRI for other conditions. To rule out malignancy, tumour verification is required. The modern diagnosis of thyroid cancer is based on fine-needle aspiration (FNA) biopsy and cytology, which is classified according to the Bethesda classification system. However, not all FNAs are informative, and the differential diagnosis and treatment strategies in cases of unsatisfactory results are not standardized, leading to potential intraoperative challenges. We present a case study of a patient with a thyroid nodule that was ultimately diagnosed with a schwannoma of the neck according to core-needle biopsy. Full article
Show Figures

Figure 1

15 pages, 2773 KB  
Article
Monitoring Eastern White Pine Health by Using Field-Measured Foliar Traits and Hyperspectral Data
by Sudan Timalsina, Parinaz Rahimzadeh-Bajgiran, Pulakesh Das, José Eduardo Meireles and Rajeev Bhattarai
Sensors 2024, 24(18), 6129; https://doi.org/10.3390/s24186129 - 23 Sep 2024
Cited by 2 | Viewed by 1692
Abstract
Canopy foliar traits serve as crucial indicators of plant health and productivity, forming a vital link between plant conditions and ecosystem dynamics. In this study, the use of hyperspectral data and foliar traits for white pine needle damage (WPND) detection was investigated for [...] Read more.
Canopy foliar traits serve as crucial indicators of plant health and productivity, forming a vital link between plant conditions and ecosystem dynamics. In this study, the use of hyperspectral data and foliar traits for white pine needle damage (WPND) detection was investigated for the first time. Eastern White Pine (Pinus strobus L., EWP), a species of ecological and economic significance in the Northeastern USA, faces a growing threat from WPND. We used field-measured leaf traits and hyperspectral remote sensing data using parametric and non-parametric methods for WPND detection in the green stage. Results indicated that the random forest (RF) model based solely on remotely sensed spectral vegetation indices (SVIs) demonstrated the highest accuracy of nearly 87% and Kappa coefficient (K) of 0.68 for disease classification into asymptomatic and symptomatic classes. The combination of field-measured traits and remote sensing data indicated an overall accuracy of 77% with a Kappa coefficient (K) of 0.46. These findings contribute valuable insights and highlight the potential of both field-derived foliar and remote sensing data for WPND detection in EWP. With an exponential rise in forest pests and pathogens in recent years, remote sensing techniques can prove beneficial for the timely and accurate detection of disease and improved forest management practices. Full article
(This article belongs to the Section Sensing and Imaging)
Show Figures

Figure 1

22 pages, 7627 KB  
Article
Diversity, Community Structure, and Antagonism of Endophytic Fungi from Asymptomatic and Symptomatic Mongolian Pine Trees
by Ninghong Ren, Lei Wang and Chongjuan You
J. Fungi 2024, 10(3), 212; https://doi.org/10.3390/jof10030212 - 13 Mar 2024
Cited by 4 | Viewed by 2591
Abstract
Diplodia tip blight, caused by Diplodia sapinea (=Sphaeropsis sapinea), are widely distributed in Honghuaerji, Inner Mongolia, China, causing severe damage on natural Mongolian pine (Pinus sylvestris var. mongolica). D. sapinea is an endophyte that becomes pathogenic under conditions of [...] Read more.
Diplodia tip blight, caused by Diplodia sapinea (=Sphaeropsis sapinea), are widely distributed in Honghuaerji, Inner Mongolia, China, causing severe damage on natural Mongolian pine (Pinus sylvestris var. mongolica). D. sapinea is an endophyte that becomes pathogenic under conditions of drought, hail damage, or temperature-associated stress. The role of the endophytic community inhabiting different pine tissues in the expression of disease is still unknown. In this study, the diversity and community structure of endophytic fungi among asymptomatic and symptomatic Mongolian pine were detected using culture-based isolation and high-throughput sequencing (HTS), and the potential antagonistic endophytes against D. sapinea were also screened. The results indicated that 198 and 235 strains of endophytic fungi were isolated from different tissues of symptomatic and asymptomatic Mongolian pine, respectively. D. sapinea was the most common endophyte isolated from the current-year needles and shoots of symptomatic trees, and Diplodia was also the most common in the HTS data. There were no significant differences in the endophytic fungal species richness among asymptomatic and symptomatic trees, but there were differences observed within specific sampled tissues. The ANOSIM analysis confirmed that the endophytic fungi community structure significantly differed between sampling tissues among symptomatic and asymptomatic Mongolian pine. Furthermore, the antagonism study revealed Penicillium fructuariae-cellae with the ability to inhibit the growth of D. sapinea in vitro, and the potential performance of this fungus, acting as biological control agent, was evaluated under greenhouse. Our findings can pave the way to a better understanding of the interactions between D. sapinea, other endophytic fungi and their hosts, and provide helpful information for more efficient disease management strategies. Full article
(This article belongs to the Section Fungal Pathogenesis and Disease Control)
Show Figures

Figure 1

13 pages, 1747 KB  
Article
Clinical Characteristics, Diagnostic Approach and Outcome of Thyroid Incidental Findings vs. Clinically Overt Thyroid Nodules: An Observational Single-Centre Study
by Tom Jansen, Nike Stikkelbroeck, Annenienke van de Ven, Ilse van Engen-van Grunsven, Marcel Janssen, Han Bonenkamp, Martin Gotthardt and Romana T. Netea-Maier
Cancers 2023, 15(8), 2350; https://doi.org/10.3390/cancers15082350 - 18 Apr 2023
Cited by 4 | Viewed by 2824
Abstract
Context: Thyroid nodules are common and can present as clinically overt nodules (visible, palpable or symptomatic nodules) and so-called incidentalomas (coincidental findings on imaging techniques). The majority are benign but recognizing clinically relevant nodules remains a challenge. Current Dutch guidelines recommend to [...] Read more.
Context: Thyroid nodules are common and can present as clinically overt nodules (visible, palpable or symptomatic nodules) and so-called incidentalomas (coincidental findings on imaging techniques). The majority are benign but recognizing clinically relevant nodules remains a challenge. Current Dutch guidelines recommend to refrain from additional diagnostic testing in incidentalomas other than FDG-PET-incidentalomas, unless there are suspicious clinical and/or sonographic features. However, there is no consensus on the further approach and no “real-life” data on the outcome of such an approach. Objective: To compare clinical characteristics, diagnostic approaches and clinical outcome between patients referred with thyroid incidentalomas and non-incidentalomas at one academic referral thyroid clinic. Methods: Clinical and demographical characteristics, diagnostic and therapeutic approaches and outcome were retrospectively obtained from the files of all patients newly referred because of thyroid incidentalomas or non-incidentalomas to our institution (between March 2011 and January 2017). Subsequently, the data were compared between both groups. Results: In total, 351 patients (64.3%) were referred because of non-incidentalomas and 195 (35.7%) because of incidentalomas. Incidentalomas were smaller (48.7% <2 cm) than non-incidentalomas (23.4% <2 cm). Furthermore, incidentalomas were less often symptomatic (15.9 vs. 42.7% p < 0.001). Fine-needle aspiration was performed in a similar percentage of the patients in the two groups (62.6% of incidentalomas vs. 69.8% in non-incidentaloma, p = 0.08). Significantly less malignancies were found among incidentalomas compared to non-incidentalomas (5.1% vs. 11.1%, p = 0.019). Moreover, significantly more malignancies occurred in PET-incidentalomas than non-PET-incidentalomas (11.8% vs. 2.8%, p = 0.023). In fact, the proportion of malignancies in PET-incidentalomas and non-incidentalomas was similar (11.8% vs. 11.1%, p = 0.895). Stability or decrease in size was observed in 96.5% of nodules receiving ultrasound follow-up. Conclusions: Patients with small asymptomatic thyroid incidentalomas represent an important proportion of the patients referred for additional diagnostic evaluation. The risk of malignancy in these patients is lower than in those with symptomatic palpable lesions, particularly in the patients with incidentalomas discovered on CT, MRI or US. Our findings support the current recommendations from the Dutch guidelines to not indiscriminately perform additional analysis and treatment on all incidentalomas, but prioritize this to FDG-PET-incidentalomas and clinically relevant non-PET-incidentalomas. Moreover, US features can further refine the selection of the patients who require immediate FNAC and/or surgery. Full article
Show Figures

Figure 1

10 pages, 11478 KB  
Article
Breast Cancer Screening during COVID-19 Emergency: Patients and Department Management in a Local Experience
by Francesca Maio, Daniele Ugo Tari, Vincenza Granata, Roberta Fusco, Roberta Grassi, Antonella Petrillo and Fabio Pinto
J. Pers. Med. 2021, 11(5), 380; https://doi.org/10.3390/jpm11050380 - 6 May 2021
Cited by 19 | Viewed by 3528
Abstract
Background: During the COVID-19 public health emergency, our breast cancer screening activities have been interrupted. In June 2020, they resumed, calling for mandatory safe procedures to properly manage patients and staff. Methods: A protocol supporting medical activities in breast cancer screening was created, [...] Read more.
Background: During the COVID-19 public health emergency, our breast cancer screening activities have been interrupted. In June 2020, they resumed, calling for mandatory safe procedures to properly manage patients and staff. Methods: A protocol supporting medical activities in breast cancer screening was created, based on six relevant articles published in the literature and in the following National and International guidelines for COVID-19 prevention. The patient population, consisting of both screening and breast ambulatory patients, was classified into one of four categories: 1. Non-COVID-19 patient; 2. Confirmed COVID-19 in an asymptomatic screening patient; 3. suspected COVID-19 in symptomatic or confirmed breast cancer; 4. Confirmed COVID-19 in symptomatic or confirmed breast cancer. The day before the radiological exam, patients are screened for COVID-19 infection through a telephone questionnaire. At a subsequent in person appointment, the body temperature is checked and depending on the clinical scenario at stake, the scenario-specific procedures for medical and paramedical staff are adopted. Results: In total, 203 mammograms, 76 breast ultrasound exams, 4 core needle biopsies, and 6 vacuum-assisted breast biopsies were performed in one month. Neither medical nor paramedical staff were infected on any of these occasions. Conclusion: Our department organization model can represent a case of implementation of National and International guidelines applied in a breast cancer screening program, assisting hospital personnel into COVID-19 infection prevention. Full article
(This article belongs to the Special Issue Cancer Challenges during COVID-19 Pandemic)
Show Figures

Figure 1

13 pages, 6067 KB  
Review
Pediatric Sarcoidosis: A Review with Emphasis on Early Onset and High-Risk Sarcoidosis and Diagnostic Challenges
by Brian Chiu, Jackie Chan, Sumit Das, Zainab Alshamma and Consolato Sergi
Diagnostics 2019, 9(4), 160; https://doi.org/10.3390/diagnostics9040160 - 25 Oct 2019
Cited by 34 | Viewed by 8436
Abstract
Sarcoidosis is a non-necrotizing granulomatous inflammatory syndrome with multisystemic manifestations. We performed a systematic review of sarcoidosis in the pediatric population with particular emphases on early onset sarcoidosis, high-risk sarcoidosis, and newly reported or unusual sarcoid-related diseases. Blau Syndrome and early onset sarcoidosis/ [...] Read more.
Sarcoidosis is a non-necrotizing granulomatous inflammatory syndrome with multisystemic manifestations. We performed a systematic review of sarcoidosis in the pediatric population with particular emphases on early onset sarcoidosis, high-risk sarcoidosis, and newly reported or unusual sarcoid-related diseases. Blau Syndrome and early onset sarcoidosis/ BS-EOS are seen in children younger than five years old presenting with extra-thoracic manifestations but usually without lymphadenopathy and/or pulmonary involvement. The prevalence of high-risk sarcoidosis is very low in children and is further limited by the difficulty of diagnosis in symptomatic children and underdiagnosis in subclinical or asymptomatic patients. Reports of sarcoidal syndromes in users of E-cigarette/marijuana/other flavorings and their induction in cancer immunotherapies are of interests and may be challenging to differentiate from metastatic malignancy. The diagnostic considerations in pediatric sarcoidosis are to support a compatible clinicoradiographic presentation and the pathologic findings of non-necrotizing granulomas by ruling out granulomas of infective etiology. There is no absolutely reliable diagnostic test for sarcoidosis at present. The use of endoscopic bronchial ultrasound (EBUS) and transbronchial fine needle aspiration (TBNA) sampling of intrathoracic lymph nodes and lung, and for superficially accessible lesions, with cytopathological assessment and pathological confirmations provide fair diagnostic yield and excellent patient safety profile in children. Full article
(This article belongs to the Special Issue Diagnosis and Management of Pediatric Diseases)
Show Figures

Figure 1

Back to TopTop