Sign in to use this feature.

Years

Between: -

Subjects

remove_circle_outline
remove_circle_outline
remove_circle_outline

Journals

Article Types

Countries / Regions

Search Results (15)

Search Parameters:
Keywords = subclinical congestion

Order results
Result details
Results per page
Select all
Export citation of selected articles as:
14 pages, 660 KB  
Article
Prognostic Utility of HEFESTOS Score and Complementary Lung Ultrasound for Heart Failure Decompensation in Primary Care Outpatients: A Prospective Cohort Study
by Marcos Haro-Montoya, Rosa Caballol-Angelats, José Fernández-Sáez, Maylin Montelongo-Sol, Laura Conangla-Ferrin, Victoria Cendrós-Cámara, Jose María Verdú-Rotellar and Josep Lluís Clua-Espuny
J. Cardiovasc. Dev. Dis. 2025, 12(9), 347; https://doi.org/10.3390/jcdd12090347 - 11 Sep 2025
Viewed by 606
Abstract
Heart failure (HF) is a major contributor to morbidity, mortality, and healthcare costs, particularly among older adults. Effective outpatient risk stratification remains a clinical challenge, especially following hospital discharge or episodes of acute decompensation. Although both lung ultrasound (LUS) and the HEFESTOS score [...] Read more.
Heart failure (HF) is a major contributor to morbidity, mortality, and healthcare costs, particularly among older adults. Effective outpatient risk stratification remains a clinical challenge, especially following hospital discharge or episodes of acute decompensation. Although both lung ultrasound (LUS) and the HEFESTOS score have shown individual prognostic value, their combined use in primary care settings has not been extensively explored. This prospective cohort study included 107 patients with confirmed HF followed at a primary care center in southern Catalonia. At baseline, all patients underwent LUS and HEFESTOS assessment. The primary outcome was HF decompensation, defined as worsening symptoms requiring medical attention, emergency care, hospitalization, or death. Over a mean follow-up of 72 days, 25 patients (23.3%) experienced decompensation. In multivariate analysis, only the HEFESTOS score was independently associated with decompensation. LUS and HEFESTOS showed moderate agreement (Kappa = 0.456), and LUS demonstrated moderate discriminative capacity (AUC = 0.677) with high sensitivity (81.7%) and positive predictive value (81.7%). These findings support the routine use of the HEFESTOS score in primary care and suggest that LUS may serve as a complementary tool, particularly for identifying subclinical pulmonary congestion. Their combined use could enhance outpatient risk stratification and guide individualized follow-up strategies in HF management. Full article
(This article belongs to the Section Imaging)
Show Figures

Figure 1

26 pages, 2265 KB  
Review
Contemporary Perspectives on Congestion in Heart Failure: Bridging Classic Signs with Evolving Diagnostic and Therapeutic Strategies
by Mihai Grigore, Camelia Nicolae, Andreea-Maria Grigore, Ana-Maria Balahura, Nicolae Păun, Gabriela Uscoiu, Ioana Verde and Adriana-Mihaela Ilieșiu
Diagnostics 2025, 15(9), 1083; https://doi.org/10.3390/diagnostics15091083 - 24 Apr 2025
Cited by 1 | Viewed by 5178
Abstract
Congestion represents a defining hallmark of heart failure (HF) leading to increased morbidity and mortality in HF patients. While it was traditionally viewed as a simple and uniform state of volume overload, contemporary understanding has emphasized its complexity, distinguishing between intravascular, interstitial, and [...] Read more.
Congestion represents a defining hallmark of heart failure (HF) leading to increased morbidity and mortality in HF patients. While it was traditionally viewed as a simple and uniform state of volume overload, contemporary understanding has emphasized its complexity, distinguishing between intravascular, interstitial, and tissue congestion. Congestion contributes to overt clinical manifestation of HF. However, subclinical congestion often goes undetected, increasing the risk of adverse outcomes. Residual congestion, in particular, remains a frequent and challenging issue, with its persistence at discharge being strongly linked to rehospitalization and poor prognosis. Clinical evaluation often fails to reliably identify the resolution of congestion, highlighting the need for supplementary diagnostic methods. Improvement in imaging modalities, including lung ultrasound, venous Doppler, and echocardiography, have significantly enhanced the detection of congestion. Moreover, biomarkers such as natriuretic peptides, bioactive adrenomedullin, soluble CD146, and carbohydrate antigen 125 offer valuable, complementary insights into fluid distribution and the severity of HF congestion. Therefore, a comprehensive, multimodal strategy that integrates clinical evaluation with imaging and biomarker data is crucial for optimizing the management of congestion in HF. Future approaches should prioritize personalized decongestive therapy, addressing both intravascular and tissue congestion, while aiming to preserve renal function and limit neurohormonal activation. Refinement of these strategies holds promise for improving long-term outcomes, reducing rehospitalizations, and enhancing overall patient prognosis. Full article
(This article belongs to the Special Issue Advances in the Diagnosis and Management of Cardiovascular Diseases)
Show Figures

Figure 1

11 pages, 2272 KB  
Article
Initial Experience of Noninvasive Quantification of Pulmonary Congestion Utilizing the Remote Dielectric Sensing System in Pediatric Patients with Heart Failure
by Mako Okabe, Teruhiko Imamura, Mami Nishiyama, Hideyuki Nakaoka, Keijiro Ibuki, Sayaka Ozawa and Keiichi Hirono
J. Clin. Med. 2025, 14(4), 1292; https://doi.org/10.3390/jcm14041292 - 15 Feb 2025
Viewed by 1199
Abstract
Background/Objectives: Remote dielectric sensing (ReDS) is a recently developed, noninvasive, electromagnetic energy-based technology designed to quantify pulmonary congestion without requiring expert techniques in adult patients with heart failure. However, its applicability in pediatric patients remains unknown. Methods: ReDS values and chest [...] Read more.
Background/Objectives: Remote dielectric sensing (ReDS) is a recently developed, noninvasive, electromagnetic energy-based technology designed to quantify pulmonary congestion without requiring expert techniques in adult patients with heart failure. However, its applicability in pediatric patients remains unknown. Methods: ReDS values and chest X-rays were simultaneously obtained from pediatric patients with a history of Fontan surgery at an outpatient clinic. The Congestion Severity Index (CSI) was calculated from chest X-rays to analyze its correlation with ReDS values. Results: A total of 21 pediatric patients (median age: 17 years; median height: 152.7 cm; median weight: 48.6 kg; 12 male patients) were included. ReDS values were successfully measured in all participants without any measurement failure. A mild correlation was observed between ReDS values and CSIs (r = 0.47, p = 0.030). In patients with ReDS values exceeding 35% (N = 11), a stronger correlation was noted between ReDS values and CSIs (r = 0.61, p = 0.046). In patients with ReDS values ≤ 35% (N = 10), ReDS values exhibited a wide distribution (25% to 35%) despite low CSI values. Conclusions: The ReDS system demonstrates potential as a feasible technology for the noninvasive quantification of pulmonary congestion in pediatric patients, irrespective of the severity of congestion. Notably, the ReDS system may have the potential to identify subclinical pulmonary congestion in pediatric patients with heart failure. Full article
(This article belongs to the Section Cardiology)
Show Figures

Figure 1

12 pages, 1405 KB  
Article
Portal Vein Pulsatility: A Valuable Approach for Monitoring Venous Congestion and Prognostic Evaluation in Acute Decompensated Heart Failure
by Mihai Grigore, Andreea-Maria Grigore and Adriana-Mihaela Ilieșiu
Diagnostics 2024, 14(18), 2029; https://doi.org/10.3390/diagnostics14182029 - 13 Sep 2024
Cited by 4 | Viewed by 2109
Abstract
Background: The severity of systemic congestion is associated with increased portal vein flow pulsatility (PVP). Aim: To determine the usefulness of PVP as a marker of decongestion and prognosis in acute decompensated heart failure (ADHF) patients. Methods: 105 patients, 60% of whom were [...] Read more.
Background: The severity of systemic congestion is associated with increased portal vein flow pulsatility (PVP). Aim: To determine the usefulness of PVP as a marker of decongestion and prognosis in acute decompensated heart failure (ADHF) patients. Methods: 105 patients, 60% of whom were men, were hospitalized with ADHF, and their PVP index (PVPI) was calculated (maximum velocity–minimum velocity/maximum velocity) × 100 on admission and before discharge, along with their EVEREST score, inferior vena cava diameter (IVC), NT-proBNP, serum sodium, and glomerular filtration rate. A PVPI ≥ 50% was defined as a marker of systemic congestion. After treatment with loop diuretics, a decrease in PVPI of >50% before discharge was considered a marker of decongestion The patients were classified into two groups (G): G1-PVPI decrease ≥ 50% (54 patients) and G2-PVPI decrease < 50% (51 patients). Results: At discharge, compared to G2, G1 patients had lower mean PVPI (14.2 vs. 38.9; p < 0.001), higher serum Na (138 vs. 132 mmol/L, p = 0.03), and a higher number of patients with a significant (>30%) NT-proBNP decrease (42 vs. 27, p = 0.007). PVPI correlated with IVC (r = 0.55, p < 0.001), NT-proBNP (r = 0.21, p = 0.04), and serum Na (r = −0.202, p = 0.04). A total of 55% of patients had worsening renal failure (G1 63% vs. G2 48%, p = 0.17). After 90 days, G2 patients had higher mortality (27.45% vs. 3.7 p = 0.001) and rehospitalization (49.01% vs. 33.33%, p < 0.001). In multivariate regression analysis, PVPI was an independent predictor of rehospitalization (OR 1.05, 95% CI 1.00–1.10, p = 0.048). Conclusions: Portal vein flow pulsatility, a meaningful marker of persistent subclinical congestion, is related to short-term prognosis in ADHF patients. Full article
(This article belongs to the Special Issue Recent Advances in Echocardiography)
Show Figures

Figure 1

17 pages, 9270 KB  
Review
Point of Care Ultrasound (POCUS) in the Management of Heart Failure: A Narrative Review
by Nicki Naddaf, Neda Dianati Maleki, Marc E. Goldschmidt and Andreas P. Kalogeropoulos
J. Pers. Med. 2024, 14(7), 766; https://doi.org/10.3390/jpm14070766 - 18 Jul 2024
Cited by 10 | Viewed by 10763
Abstract
Assessing for volume overload is a key component of both short and long-term management of heart failure patients. Physical examination findings are neither sensitive nor specific for detecting congestion, and subclinical congestion may not be evident at the time of examination. Point of [...] Read more.
Assessing for volume overload is a key component of both short and long-term management of heart failure patients. Physical examination findings are neither sensitive nor specific for detecting congestion, and subclinical congestion may not be evident at the time of examination. Point of care ultrasound (POCUS) is an efficient and non-invasive way to assess heart failure patients for volume overload. The aim of our narrative review is to summarize how each of the following ultrasound modalities can be used to assess for congestion in the heart failure population: 2D and Doppler echocardiography, lung ultrasound, inferior vena cava ultrasound, internal jugular vein ultrasound, and venous excess grading. While each of these modalities has their limitations, their use in the acute and outpatient space offers the potential to reduce heart failure readmissions and mortality. Full article
(This article belongs to the Section Evidence Based Medicine)
Show Figures

Figure 1

16 pages, 595 KB  
Systematic Review
Prognostic Significance of Lung Ultrasound for Heart Failure Patient Management in Primary Care: A Systematic Review
by Anna Panisello-Tafalla, Marcos Haro-Montoya, Rosa Caballol-Angelats, Maylin Montelongo-Sol, Yoenia Rodriguez-Carralero, Jorgina Lucas-Noll and Josep Lluis Clua-Espuny
J. Clin. Med. 2024, 13(9), 2460; https://doi.org/10.3390/jcm13092460 - 23 Apr 2024
Cited by 5 | Viewed by 4782
Abstract
Background: Heart failure (HF) affects around 60 million individuals worldwide. The primary aim of this study was to evaluate the efficacy of lung ultrasound (LUS) in managing HF with the goal of reducing hospital readmission rates. Methods: A systematic search was conducted on [...] Read more.
Background: Heart failure (HF) affects around 60 million individuals worldwide. The primary aim of this study was to evaluate the efficacy of lung ultrasound (LUS) in managing HF with the goal of reducing hospital readmission rates. Methods: A systematic search was conducted on PubMed, Embase, Google Scholar, Web of Science, and Scopus, covering clinical trials, meta-analyses, systematic reviews, and original articles published between 1 January 2019 and 31 December 2023, focusing on LUS for HF assessment in out-patient settings. There is a potential for bias as the effectiveness of interventions may vary depending on the individuals administering them. Results: The PRISMA method synthesized the findings. Out of 873 articles identified, 33 were selected: 19 articles focused on prognostic assessment of HF, 11 centred on multimodal diagnostic assessments, and two addressed therapeutic guidance for HF diagnosis. LUS demonstrates advantages in detecting subclinical congestion, which holds prognostic significance for readmission and mortality during out-patient follow-up post-hospital-discharge, especially in complex scenarios, but there is a lack of standardization. Conclusions: there are considerable uncertainties in their interpretation and monitoring changes. The need for an updated international consensus on the use of LUS seems obvious. Full article
Show Figures

Figure 1

27 pages, 2407 KB  
Review
The Importance of Optimal Hydration in Patients with Heart Failure—Not Always Too Much Fluid
by Andrzej Wittczak, Maciej Ślot and Agata Bielecka-Dabrowa
Biomedicines 2023, 11(10), 2684; https://doi.org/10.3390/biomedicines11102684 - 30 Sep 2023
Cited by 14 | Viewed by 20955
Abstract
Heart failure (HF) is a leading cause of morbidity and mortality and a major public health problem. Both overhydration and dehydration are non-physiological states of the body that can adversely affect human health. Congestion and residual congestion are common in patients hospitalized for [...] Read more.
Heart failure (HF) is a leading cause of morbidity and mortality and a major public health problem. Both overhydration and dehydration are non-physiological states of the body that can adversely affect human health. Congestion and residual congestion are common in patients hospitalized for HF and are associated with poor prognosis and high rates of rehospitalization. However, the clinical problem of dehydration is also prevalent in healthcare and community settings and is associated with increased morbidity and mortality. This article provides a comprehensive review of the issue of congestion and dehydration in HF, including HF guidelines, possible causes of dehydration in HF, confirmed and potential new diagnostic methods. In particular, a full database search on the relationship between dehydration and HF was performed and all available evidence in the literature was reviewed. The novel hypothesis of chronic subclinical hypohydration as a modifiable risk factor for HF is also discussed. It is concluded that maintaining euvolemia is the cornerstone of HF management. Physicians have to find a balance between decongestion therapy and the risk of dehydration. Full article
(This article belongs to the Special Issue Feature Reviews in Heart Failure (HF))
Show Figures

Graphical abstract

11 pages, 1668 KB  
Review
Heart Failure with Reduced Ejection Fraction: The Role of Cardiovascular and Lung Ultrasound beyond Ejection Fraction
by Syuzanna Shahnazaryan, Sergey Pepoyan and Hamayak Sisakian
Diagnostics 2023, 13(15), 2553; https://doi.org/10.3390/diagnostics13152553 - 31 Jul 2023
Cited by 2 | Viewed by 2632
Abstract
Heart failure with reduced ejection fraction (HFrEF) is considered a major health care problem with frequent decompensations, high hospitalization and mortality rates. In severe heart failure (HF), the symptoms are refractory to medical treatment and require advanced therapeutic strategies. Early recognition of HF [...] Read more.
Heart failure with reduced ejection fraction (HFrEF) is considered a major health care problem with frequent decompensations, high hospitalization and mortality rates. In severe heart failure (HF), the symptoms are refractory to medical treatment and require advanced therapeutic strategies. Early recognition of HF sub- and decompensation is the cornerstone of the timely treatment intensification and, therefore, improvement in the prognosis. Echocardiography is the gold standard for the assessment of systolic and diastolic functions. It allows one to obtain accurate and non-invasive measurements of the ventricular function in HF. In severely compromised HF patients, advanced cardiovascular ultrasound modalities may provide a better assessment of intracardiac hemodynamic changes and subclinical congestion. Particularly, cardiovascular and lung ultrasound allow us to make a more accurate diagnosis of subclinical congestion in HFrEF. The aim of this review was to summarize the advantages and limitations of the currently available ultrasound modalities in the ambulatory monitoring of patients with HFrEF. Full article
Show Figures

Figure 1

14 pages, 1052 KB  
Article
Prognostic Role of Sonographic Decongestion in Patients with Acute Heart Failure with Reduced and Preserved Ejection Fraction: A Multicentre Study
by Nicola R. Pugliese, Matteo Mazzola, Giulia Bandini, Greta Barbieri, Stefano Spinelli, Nicolò De Biase, Stefano Masi, Alberto Moggi-Pignone, Lorenzo Ghiadoni, Stefano Taddei, Rosa Sicari, Peter S. Pang, Marco De Carlo and Luna Gargani
J. Clin. Med. 2023, 12(3), 773; https://doi.org/10.3390/jcm12030773 - 18 Jan 2023
Cited by 12 | Viewed by 2356
Abstract
Background: We investigated the role of the dynamic changes of pulmonary congestion, as assessed by sonographic B-lines, as a tool to stratify prognosis in patients admitted for acute heart failure with reduced and preserved ejection fraction (HFrEF, HFpEF). Methods: In this multicenter, prospective [...] Read more.
Background: We investigated the role of the dynamic changes of pulmonary congestion, as assessed by sonographic B-lines, as a tool to stratify prognosis in patients admitted for acute heart failure with reduced and preserved ejection fraction (HFrEF, HFpEF). Methods: In this multicenter, prospective study, lung ultrasound was performed at admission and before discharge by trained investigators, blinded to clinical findings. Results: We enrolled 208 consecutive patients (mean age 76 [95% confidence interval, 70–84] years), 125 with HFrEF, 83 with HFpEF (mean ejection fraction 32% and 57%, respectively). The primary composite endpoint of cardiovascular death or HF re-hospitalization occurred in 18% of patients within 6 months. In the overall population, independent predictors of the occurrence of the primary endpoint were the number of B-lines at discharge, NT-proBNP levels, moderate-to-severe mitral regurgitation, and inferior vena cava diameter on admission. B-lines at discharge were the only independent predictor in both HFrEF and HFpEF subgroups. A cut-off of B-lines > 15 at discharge displayed the highest accuracy in predicting the primary endpoint (AUC = 0.80, p < 0.0001). Halving B-lines during hospitalization further improved event classification (continuous net reclassification improvement = 22.8%, p = 0.04). Conclusions: The presence of residual subclinical sonographic pulmonary congestion at discharge predicts 6-month clinical outcomes across the whole spectrum of acute HF patients, independent of conventional biohumoral and echocardiographic parameters. Achieving effective pulmonary decongestion during hospitalization is associated with better outcomes. Full article
Show Figures

Figure 1

11 pages, 1136 KB  
Article
Plasma Levels of Intact Parathyroid Hormone and Congestion Burden in Heart Failure: Clinical Correlations and Prognostic Role
by Pietro Scicchitano, Massimo Iacoviello, Andrea Passantino, Michele Gesualdo, Francesco Trotta, Marco Basile, Micaela De Palo, Piero Guida, Claudio Paolillo, Graziano Riccioni, Marco Matteo Ciccone, Pasquale Caldarola and Francesco Massari
J. Cardiovasc. Dev. Dis. 2022, 9(10), 334; https://doi.org/10.3390/jcdd9100334 - 2 Oct 2022
Cited by 8 | Viewed by 3180
Abstract
Circulating parathyroid hormone (PTH) concentrations increase in heart failure (HF) and are related to disease severity. The relationship between PTH and congestion is still a matter of debate. The objective of this analysis was to evaluate the role of PTH as a marker [...] Read more.
Circulating parathyroid hormone (PTH) concentrations increase in heart failure (HF) and are related to disease severity. The relationship between PTH and congestion is still a matter of debate. The objective of this analysis was to evaluate the role of PTH as a marker of congestion and prognosis in HF. We enrolled 228 patients with HF. Intact PTH concentrations and HYDRA score (constituted by: B-type natriuretic peptide, blood urea nitrogen–creatinine ratio, estimated plasma volume status, and hydration status) were evaluated. The study endpoint was all-cause mortality. PTH levels were higher in acute compared with chronic HF and in patients with clinical signs of congestion (i.e., peripheral oedema and orthopnea). PTH concentrations significantly correlated with NYHA class and HYDRA score. At multivariate analysis of HYDRA score, estimated glomerular filtration rate (eGFR), and corrected serum calcium were independently determinants of PTH variability. Fifty patients (22%) died after a median follow-up of 408 days (interquartile range: 283–573). Using univariate Cox regression analysis, PTH concentrations were associated with mortality (hazard ratio [HR]: 1.003, optimal cut-off: >249 pg/mL—area under-the-curve = 0.64). Using multivariate Cox regression analysis, PTH was no longer associated with death, whereas HYDRA score, left ventricular ejection fraction, and eGFR acted as independent predictors for mortality (HR: 1.96, 0.97, and 0.98, respectively). Our study demonstrated that intact PTH was related to clinical and subclinical markers of congestion. However, intact PTH did not act as an independent determinant of all-cause death in HF patients. Full article
(This article belongs to the Section Electrophysiology and Cardiovascular Physiology)
Show Figures

Graphical abstract

12 pages, 1912 KB  
Article
Sex Differences in the Evaluation of Congestion Markers in Patients with Acute Heart Failure
by Pietro Scicchitano, Claudio Paolillo, Micaela De Palo, Angela Potenza, Silvia Abruzzese, Marco Basile, Antonia Cannito, Maria Tangorra, Piero Guida, Pasquale Caldarola, Marco Matteo Ciccone and Francesco Massari
J. Cardiovasc. Dev. Dis. 2022, 9(3), 67; https://doi.org/10.3390/jcdd9030067 - 24 Feb 2022
Cited by 5 | Viewed by 3804
Abstract
The impact of sex on the assessment of congestion in acute heart failure (AHF) is still a matter of debate. The objective of this analysis was to evaluate sex differences in the evaluation of congestion at admission in patients hospitalized for AHF. We [...] Read more.
The impact of sex on the assessment of congestion in acute heart failure (AHF) is still a matter of debate. The objective of this analysis was to evaluate sex differences in the evaluation of congestion at admission in patients hospitalized for AHF. We consecutively enrolled 494 AHF patients (252 female). Clinical congestion assessment, B-type natriuretic peptide levels analysis, blood urea nitrogen to creatinine ratio (BUN/Cr), plasma volume status estimate (by means of Duarte or Kaplam-Hakim PVS), and hydration status evaluation through bioimpedance analysis were performed. There was no difference in medications between men and women. Women were older (79 ± 9 yrs vs. 77 ± 10 yrs, p = 0.005), and had higher left ventricular ejection fraction (45 ± 11% vs. 38 ± 11%, p < 0.001), and lower creatinine clearance (42 ± 25 mL/min vs. 47 ± 26 mL/min, p = 0.04). The prevalence of peripheral oedema, orthopnoea, and jugular venous distention were not significantly different between women and men. BUN/Cr (27 ± 9 vs. 23 ± 13, p = 0.04) and plasma volume were higher in women than men (Duarte PVS: 6.0 ± 1.5 dL/g vs. 5.1 ± 1.5 dL/g, p < 0.001; Kaplam–Hakim PVS: 7.9 ± 13% vs. −7.3 ± 12%, p < 0.001). At multivariate logistic regression analysis, female sex was independently associated with BUN/Cr and PVS. Female sex was independently associated with subclinical biomarkers of congestion such as BUN/Cr and PVS in patients with AHF. A sex-guided approach to the correct evaluation of patients with AHF might become the cornerstone for the correct management of these patients. Full article
(This article belongs to the Section Epidemiology, Lifestyle, and Cardiovascular Health)
Show Figures

Graphical abstract

13 pages, 1209 KB  
Article
Prognostic Role of Subclinical Congestion in Heart Failure Outpatients: Focus on Right Ventricular Dysfunction
by Andrea Lorenzo Vecchi, Silvia Muccioli, Jacopo Marazzato, Antonella Mancinelli, Attilio Iacovoni and Roberto De Ponti
J. Clin. Med. 2021, 10(22), 5423; https://doi.org/10.3390/jcm10225423 - 20 Nov 2021
Cited by 7 | Viewed by 2105
Abstract
Background: subclinical pulmonary and peripheral congestion is an emerging concept in heart failure, correlated with a worse prognosis. Very few studies have evaluated its prognostic impact in an outpatient setting and its relationship with right-ventricular dysfunction. The study aims to investigate subclinical congestion [...] Read more.
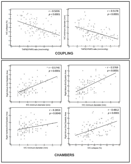
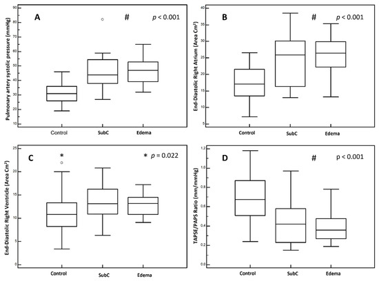
Background: subclinical pulmonary and peripheral congestion is an emerging concept in heart failure, correlated with a worse prognosis. Very few studies have evaluated its prognostic impact in an outpatient setting and its relationship with right-ventricular dysfunction. The study aims to investigate subclinical congestion in chronic heart failure outpatients, exploring the close relationship between the right heart-pulmonary unit and peripheral congestion. Materials and methods: in this observational study, 104 chronic HF outpatients were enrolled. The degree of congestion and signs of elevated filling pressures of the right ventricle were evaluated by physical examination and a transthoracic ultrasound to define multiparametric right ventricular dysfunction, estimate the right atrial pressure and the pulmonary artery systolic pressure. Outcome data were obtained by scheduled visits and phone calls. Results: ultrasound signs of congestion were found in 26% of patients and, among this cohort, half of them presented as subclinical, affecting their prognosis, revealing a linear correlation between right ventricular/arterial coupling, the right-chambers size and ultrasound congestion. Right ventricular dysfunction, TAPSE/PAPS ratio, clinical and ultrasound signs of congestion have been confirmed to be useful predictors of outcome. Conclusions: subclinical congestion is widespread in the heart failure outpatient population, significantly affecting prognosis, especially when right ventricular dysfunction also occurs, suggesting a strict correlation between the heart-pulmonary unit and volume overload. Full article
(This article belongs to the Section Cardiology)
Show Figures

Figure 1

10 pages, 1020 KB  
Article
Calculated Plasma Volume Status Is Associated with Adverse Outcomes in Patients Undergoing Transcatheter Aortic Valve Implantation
by Hatim Seoudy, Mohammed Saad, Mostafa Salem, Kassem Allouch, Johanne Frank, Thomas Puehler, Mohamed Salem, Georg Lutter, Christian Kuhn and Derk Frank
J. Clin. Med. 2021, 10(15), 3333; https://doi.org/10.3390/jcm10153333 - 28 Jul 2021
Cited by 6 | Viewed by 2584
Abstract
Background: Calculated plasma volume status (PVS) reflects volume overload based on the deviation of the estimated plasma volume (ePV) from the ideal plasma volume (iPV). Calculated PVS is associated with prognosis in the context of heart failure. This single-center study investigated the prognostic [...] Read more.
Background: Calculated plasma volume status (PVS) reflects volume overload based on the deviation of the estimated plasma volume (ePV) from the ideal plasma volume (iPV). Calculated PVS is associated with prognosis in the context of heart failure. This single-center study investigated the prognostic impact of PVS in patients undergoing transcatheter aortic valve implantation (TAVI). Methods: A total of 859 TAVI patients had been prospectively enrolled in an observational study and were included in the analysis. An optimal cutoff for PVS of −5.4% was determined by receiver operating characteristic curve analysis. The primary endpoint was a composite of all-cause mortality or heart failure hospitalization within 1 year after TAVI. Results: A total of 324 patients had a PVS < −5.4% (no congestion), while 535 patients showed a PVS ≥ −5.4% (congestion). The primary endpoint occurred more frequently in patients with a PVS ≥ −5.4% compared to patients with PVS < −5.4% (22.6% vs. 13.0%, p < 0.001). After multivariable adjustment, PVS was confirmed as a significant predictor of the primary endpoint (HR 1.53, 95% CI 1.05–2.22, p = 0.026). Conclusions: Elevated PVS, as a marker of subclinical congestion, is significantly associated with all-cause mortality and heart failure hospitalization within 1 year after TAVI. Full article
(This article belongs to the Special Issue Transcatheter Structural Heart Disease Interventions: Clinical Update)
Show Figures

Graphical abstract

13 pages, 465 KB  
Article
Impact of Subclinical Congestion on Outcome of Patients Undergoing Mitral Valve Surgery
by Anne-Kristin Schaefer, Thomas Poschner, Martin Andreas, Alfred Kocher, Günther Laufer, Dominik Wiedemann and Markus Mach
Biomedicines 2020, 8(9), 363; https://doi.org/10.3390/biomedicines8090363 - 19 Sep 2020
Cited by 2 | Viewed by 2385
Abstract
Since risk assessment prior to cardiac surgery is based on proven but partly unsatisfactory scores, the need for novel tools in preoperative risk assessment taking into account cardiac decompensation is obvious. Even subclinical chronic heart failure is accompanied by an increase in plasma [...] Read more.
Since risk assessment prior to cardiac surgery is based on proven but partly unsatisfactory scores, the need for novel tools in preoperative risk assessment taking into account cardiac decompensation is obvious. Even subclinical chronic heart failure is accompanied by an increase in plasma volume. This increase is illustrated by means of a plasma volume score (PVS), calculated using weight, gender and hematocrit. A retrospective analysis of 187 consecutive patients with impaired left ventricular function undergoing mitral valve surgery at a single centre between 2013 and 2016 was conducted. Relative preoperative PVS was generated by subtracting the ideal from actual calculated plasma volume. The study population was divided into two cohorts using a relative PVS score > 3.1 as cut-off. Patients with PVS > 3.1 had a significantly higher need for reoperation for bleeding/tamponade (5.5% vs. 16.7%; p = 0.016) and other non-cardiac causes (9.4% vs. 21.7%; p = 0.022). In-hospital as well as 6-month, 1-year and 5-year mortality was significantly increased in PVS > 3.1 (6.3% vs. 18.3%; p = 0.013; 9.4% vs. 23.3%; p = 0.011; 11.5% vs. 23.3%; p = 0.026; 18.1% vs. 33.3%; p = 0.018). Elevated PVS above the defined cut-off used to quantify subclinical congestion was linked to significantly worse outcome after mitral valve surgery and therefore could be a useful addition to current preoperative risk stratification. Full article
(This article belongs to the Section Molecular and Translational Medicine)
Show Figures

Figure 1

24 pages, 2060 KB  
Review
MicroRNAs in Cancer Treatment-Induced Cardiotoxicity
by Laura Pellegrini, Sara Sileno, Marco D’Agostino, Eleonora Foglio, Maria Cristina Florio, Vincenzo Guzzanti, Matteo Antonio Russo, Federica Limana and Alessandra Magenta
Cancers 2020, 12(3), 704; https://doi.org/10.3390/cancers12030704 - 17 Mar 2020
Cited by 30 | Viewed by 5530
Abstract
Cancer treatment has made significant progress in the cure of different types of tumors. Nevertheless, its clinical use is limited by unwanted cardiotoxicity. Aside from the conventional chemotherapy approaches, even the most newly developed, i.e., molecularly targeted therapy and immunotherapy, exhibit a similar [...] Read more.
Cancer treatment has made significant progress in the cure of different types of tumors. Nevertheless, its clinical use is limited by unwanted cardiotoxicity. Aside from the conventional chemotherapy approaches, even the most newly developed, i.e., molecularly targeted therapy and immunotherapy, exhibit a similar frequency and severity of toxicities that range from subclinical ventricular dysfunction to severe cardiomyopathy and, ultimately, congestive heart failure. Specific mechanisms leading to cardiotoxicity still remain to be elucidated. For instance, oxidative stress and DNA damage are considered key players in mediating cardiotoxicity in different treatments. microRNAs (miRNAs) act as key regulators in cell proliferation, cell death, apoptosis, and cell differentiation. Their dysregulation has been associated with adverse cardiac remodeling and toxicity. This review provides an overview of the cardiotoxicity induced by different oncologic treatments and potential miRNAs involved in this effect that could be used as possible therapeutic targets. Full article
(This article belongs to the Collection Targeting Solid Tumors)
Show Figures

Figure 1

Back to TopTop