Sign in to use this feature.

Years

Between: -

Subjects

remove_circle_outline
remove_circle_outline
remove_circle_outline
remove_circle_outline
remove_circle_outline
remove_circle_outline
remove_circle_outline
remove_circle_outline
remove_circle_outline

Journals

Article Types

Countries / Regions

Search Results (15)

Search Parameters:
Keywords = sporadic flowering

Order results
Result details
Results per page
Select all
Export citation of selected articles as:
15 pages, 3400 KB  
Article
Genetic Diversity and Conservation of Bomarea ovallei (Phil.) Ravenna: Microsatellite Markers Reveal Population Vulnerability in the Atacama Desert
by Valeska Rozas-Lazcano, Mariel Mamani-Gómez, Irina Rojas-Jopia, Mariana Arias-Aburto and Roberto Contreras-Díaz
Plants 2025, 14(10), 1468; https://doi.org/10.3390/plants14101468 - 14 May 2025
Viewed by 1035
Abstract
The Atacama Desert, the driest and oldest desert on Earth, hosts a unique floral phenomenon known as the Desierto Florido (Flowering Desert), which occurs sporadically in response to rare rainfall events. Bomarea ovallei (Phil.) Ravenna is an endemic and endangered species of the [...] Read more.
The Atacama Desert, the driest and oldest desert on Earth, hosts a unique floral phenomenon known as the Desierto Florido (Flowering Desert), which occurs sporadically in response to rare rainfall events. Bomarea ovallei (Phil.) Ravenna is an endemic and endangered species of the Atacama Desert. However, its populations are geographically restricted and potentially vulnerable to genetic erosion due to isolation and extreme environmental conditions. This study aims to assess the genetic diversity of B. ovallei populations and develop microsatellite markers using next-generation sequencing (NGS) technology. A total of 268 microsatellite loci were identified, and 34 co-dominant markers were successfully developed for the first time in B. ovallei. Genetic diversity analysis using eight fluorescently labeled SSR markers revealed low genetic diversity across four populations, with the highest diversity observed in the QCA population, located within Llanos de Challe National Park, and the lowest in the TOTO population, which is highly exposed to anthropogenic activities. UPGMA and STRUCTURE analyses revealed three genetic clusters and high admixture among populations, suggesting historical or ongoing gene flow despite geographical separation. The presence of non-polymorphic loci and low PIC values in some markers further supports limited genetic variation. The newly developed microsatellite markers offer a valuable tool for future genetic studies, enabling the monitoring of genetic diversity and informing strategies for the preservation of this rare and ecologically significant species. Full article
(This article belongs to the Special Issue Genetic Diversity and Population Structure of Plants)
Show Figures

Figure 1

15 pages, 2745 KB  
Article
Assessment of the Effects of Autonomous Mowers on Plant Biodiversity in Urban Lawns
by Lorenzo Gagliardi, Marco Fontanelli, Sofia Matilde Luglio, Christian Frasconi, Michele Raffaelli, Andrea Peruzzi, Lisa Caturegli, Giuliano Sciusco, Tommaso Federighi, Simone Magni and Marco Volterrani
Horticulturae 2024, 10(4), 355; https://doi.org/10.3390/horticulturae10040355 - 3 Apr 2024
Cited by 4 | Viewed by 3476
Abstract
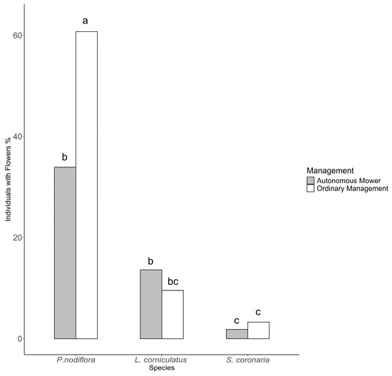
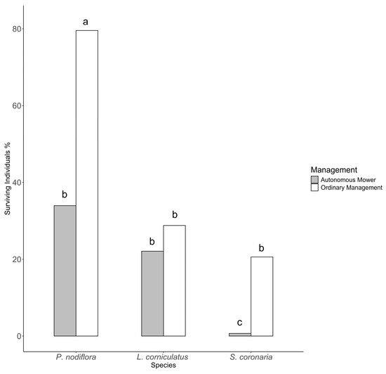
Gaining information on the impact of lawn management with autonomous mowers on the floristic composition is crucial to improve their plant biodiversity. In this study, an autonomous mower with a reduced mowing frequency and a more sporadic mowing management system with a ride-on [...] Read more.
Gaining information on the impact of lawn management with autonomous mowers on the floristic composition is crucial to improve their plant biodiversity. In this study, an autonomous mower with a reduced mowing frequency and a more sporadic mowing management system with a ride-on rotary mower were compared in terms of the effect on three dicotyledonous species (Phyla nodiflora, Lotus corniculatus and Sulla coronaria) transplanted onto stands of Bermuda and Manila grass. Regardless of the management system, P. nodiflora achieved the best results in terms of survival for both lawns (74.92 and 58.57% in Manila and Bermuda grass, respectively). In Bermuda grass, a higher percentage of surviving individuals was observed for the ordinary mower management system (42.59%), rather than with the autonomous mower (9.10%), while no differences emerged on Manila grass. On both Manila and Bermuda grass, a higher average percentage of coverage for single individual was observed for the ordinary mower management system (1.60 and 0.37%, respectively) compared to the autonomous mower system (0.55 and 0.08%, respectively). P. nodiflora had a higher percentage of individuals with flowers with the ordinary management system rather than with autonomous mower system both on Manila (60.73% and 33.90%, respectively) and Bermuda grass (48.66 and 3.32%, respectively). Despite a lower impact on the planted species being observed for the ordinary mower management system, encouraging results were obtained with the autonomous mower, for instance regarding the percentage of surviving individuals for P. nodiflora (33.95%) and L. corniculatus (22.08%) on Bermuda grass and the percentage of individuals with flowers for the same two species (33.90 and 13.59%, respectively) on Manila grass. Furthermore, the autonomous mower management system’s primary energy consumption over the year was lower compared to that of the ordinary system both on Manila (200.4 and 614.97 kWh ha−1 year−1, respectively) and Bermuda grass (177.82 and 510.99 kWh ha−1 year−1, respectively). Full article
(This article belongs to the Section Floriculture, Nursery and Landscape, and Turf)
Show Figures

Figure 1

11 pages, 1534 KB  
Article
Genome Doubling of Northern Spicebush, Lindera benzoin L.
by Ramsey F. Arram, Thomas B. Morgan, John T. Nix, Yu-Lin Kao and Hsuan Chen
J 2024, 7(2), 116-126; https://doi.org/10.3390/j7020007 - 22 Mar 2024
Viewed by 2860
Abstract
Lindera benzoin is a dioecious understory shrub native to eastern North America. Northern spicebush is a beautiful shrub with a natural round shrub shape, golden-yellow fall foliage, attractive bright red drupes, and precocious yellow flowers in early spring; however, its market value as [...] Read more.
Lindera benzoin is a dioecious understory shrub native to eastern North America. Northern spicebush is a beautiful shrub with a natural round shrub shape, golden-yellow fall foliage, attractive bright red drupes, and precocious yellow flowers in early spring; however, its market value as an ornamental value has been overlooked. To improve the ornamental values of this under-cultivated nursery crop, breeding for a better compact form, larger leaves, enlarged flower clusters and fruit, and increased stress tolerances could all be beneficial. Polyploidy manipulation is a valuable method to improve such traits for many ornamental plants. This study established the genome doubling method by oryzalin-infused solid agar treatment on young northern spicebush seedlings. The seedlings of two wild populations in North Carolina were collected and used. A total of 288 seedlings were treated with solid agar containing 150 µM oryzalin for 24, 72, and 120 h. The results were sporadic in their survival ratios and tetraploid conversion ratios between different treatments; however, a total of 16 tetraploid L. benzoin plants were produced in this study. The 24-h treatment showed the optimal result, with 7.1% of total treated seedlings or 15.2% of surviving seedlings converted into tetraploids. Tetraploid plants had visible differences in leaf morphology, a statistically significant enlarged stomata size, and reduced stomatal density compared to diploid plants. This research provides ploidy manipulation information for all future breeding processes of L. benzoin and related species. Full article
(This article belongs to the Special Issue Feature Papers of J—Multidisciplinary Scientific Journal in 2024)
Show Figures

Figure 1

12 pages, 8691 KB  
Article
Wild Grapevine (Vitis vinifera L. subsp. sylvestris (C.C. Gmelin) Hegi)—Novel Species to the Israeli Flora
by Oshrit Rahimi, Jotham Ziffer Berger, Ilana Shtein, Mafatlal M. Kher, Suembikya Frumin, Sariel Hübner, Ehud Weiss and Elyashiv Drori
Horticulturae 2023, 9(9), 998; https://doi.org/10.3390/horticulturae9090998 - 4 Sep 2023
Cited by 3 | Viewed by 4666
Abstract
The wild grapevine, Vitis vinifera subsp. sylvestris, grows naturally throughout the northern hemisphere, including the Mediterranean region. Wild grapevines have also been observed sporadically across the southern Levant and are considered a non-native feral plant. Nevertheless, no formal characterization has been conducted [...] Read more.
The wild grapevine, Vitis vinifera subsp. sylvestris, grows naturally throughout the northern hemisphere, including the Mediterranean region. Wild grapevines have also been observed sporadically across the southern Levant and are considered a non-native feral plant. Nevertheless, no formal characterization has been conducted for wild grapevines in this region; thus, its taxonomical assignment remains elusive. Previously, we have shown that the wild grapevine populations growing in northern Israel are genetically separated from the feral domesticated forms. This work aimed to comprehensively describe the morphological, anatomical, and ecological traits of wild grapevines naturally thriving in two distinct habitats in Israel. The dioicous nature of the wild grapevine, the flower and pollen morphology, and the characteristic Sylvestris fruit and seed morphology, in addition to the occurrence of the natural germination of seeds in close vicinity of the mother plant, have all led to the conclusion that these plants belong to Vitis vinifera subsp. sylvestris and should be included in the Flora Palaestina. These findings, combined with the recently published genetic evidence for these populations, significantly advance our understanding of the species’ ecology and the importance of its preservation. Full article
(This article belongs to the Special Issue Genetic Resources for Viticulture)
Show Figures

Figure 1

12 pages, 2786 KB  
Article
Cytogenetic Study and Pollen Viability of Phalaenopsis Queen Beer ‘Mantefon’
by Samantha Serafin Sevilleno, Hye Ryun An, Raisa Aone M. Cabahug-Braza, Yun-Jae Ahn and Yoon-Jung Hwang
Plants 2023, 12(15), 2828; https://doi.org/10.3390/plants12152828 - 31 Jul 2023
Cited by 4 | Viewed by 2550
Abstract
Intergeneric and interspecific hybridization has been employed for the breeding of Phalaenopsis to transfer desirable traits between species, producing novel phenotypes with improved size, color, form, and flower-bearing ability. These characteristics are often enhanced; however, many of these hybrids are triploids and have [...] Read more.
Intergeneric and interspecific hybridization has been employed for the breeding of Phalaenopsis to transfer desirable traits between species, producing novel phenotypes with improved size, color, form, and flower-bearing ability. These characteristics are often enhanced; however, many of these hybrids are triploids and have reduced or complete sterility, for example, Phalaenopsis Queen Beer ‘Mantefon’, an important novelty-type cultivar in Asia, particularly in China, Japan, and Republic of Korea. Despite the increasing demand for the crop for ornamental purposes, little is known about its cytogenetics, which is essential for breeding and, consequently, crop improvement. In this study, karyotyping using fluorescence in situ hybridization, meiotic chromosome behavior analysis, pollen staining, and in vitro viability germination tests were performed to understand the cause of hybrid sterility and pollen abnormality in Phalaenopsis Queen Beer ‘Mantefon’ from a cytogenetic perspective. Viability tests revealed pollen infertility at all flower developmental stages, confirmed by the absence of pollen tube growth. Aberrant chromosomal behavior was observed in pollen mother cells (PMCs), frequently forming univalents, chromosomal bridges, and laggards during the entire meiotic process. PMCs were also divided irregularly into sporads with varying numbers of micronuclei, which may be responsible for pollen sterility in this cultivar. Altogether, the cytogenetic analyses provided insights into the pollen development of Phalaenopsis Queen Beer ‘Mantefon’ and the conceivable causes of its infertility. Full article
(This article belongs to the Special Issue Floral Biology 2.0)
Show Figures

Figure 1

22 pages, 1797 KB  
Article
Wax Composition of Serbian Dianthus spp. (Caryophyllaceae): Identification of New Metabolites and Chemotaxonomic Implications
by Marko Z. Mladenović, Milenko N. Ristić, Andrija I. Bogdanović, Novica R. Ristić, Fabio Boylan and Niko S. Radulović
Plants 2023, 12(11), 2094; https://doi.org/10.3390/plants12112094 - 24 May 2023
Cited by 4 | Viewed by 2349
Abstract
Although ethnopharmacologically renowned, wax constituents of Dianthus species were sporadically studied. A combination of GC-MS analysis, synthesis, and chemical transformations enabled the identification of 275 constituents of diethyl-ether washings of aerial parts and/or flowers of six Dianthus taxa (Dianthus carthusianorum, D. [...] Read more.
Although ethnopharmacologically renowned, wax constituents of Dianthus species were sporadically studied. A combination of GC-MS analysis, synthesis, and chemical transformations enabled the identification of 275 constituents of diethyl-ether washings of aerial parts and/or flowers of six Dianthus taxa (Dianthus carthusianorum, D. deltoides, D. giganteus subsp. banaticus, D. integer subsp. minutiflorus, D. petraeus, and D. superbus) and one Petrorhagia taxon (P. prolifera) from Serbia. Seventeen of these constituents (nonacosyl benzoate, additional 12 benzoates with anteiso-branched 1-alkanols, eicosyl tiglate, triacontane-14,16-dione, dotriacontane-14,16-dione, and tetratriacontane-16,18-dione) and two additional synthesized eicosyl esters (angelate and senecioate) represent completely new compounds. The structures of the tentatively identified β-ketones were confirmed by analysis of the mass fragmentation of the corresponding pyrazoles and silyl enol ethers obtained by transformations of crude extracts and extract fractions. Silylation allowed the identification of 114 additional constituents, including a completely new natural product (30-methylhentriacontan-1-ol). The results obtained by multivariate statistical analyses showed that the chemical profile of Dianthus taxa’s surface waxes is subject to both genetic and ecological factors, whereas the latter seemingly takes a more important role for the studied Dianthus samples. Full article
(This article belongs to the Special Issue Phytochemical Composition and Biological Activity)
Show Figures

Figure 1

16 pages, 2090 KB  
Review
Molecular Research Progress on Xishuangbanna Cucumber (Cucumis sativus L. var. Xishuangbannesis Qi et Yuan): Current Status and Future Prospects
by Hesbon Ochieng Obel, Chunyan Cheng, Zhen Tian, Ji Li, Qunfeng Lou, Xiaqing Yu, Yuhui Wang, Joshua Otieno Ogweno and Jinfeng Chen
Agronomy 2022, 12(2), 300; https://doi.org/10.3390/agronomy12020300 - 25 Jan 2022
Cited by 7 | Viewed by 5523
Abstract
The Xishuangbanna (XIS) cucumber is an important botanical variety, accumulating high levels of β-carotene (700 μg/100 g) in the endocarp of mature fruit compared with normal green/white flesh types (25–50 μg/100 g, fresh weight). β-carotene is an essential precursor of provitamin A synthesis [...] Read more.
The Xishuangbanna (XIS) cucumber is an important botanical variety, accumulating high levels of β-carotene (700 μg/100 g) in the endocarp of mature fruit compared with normal green/white flesh types (25–50 μg/100 g, fresh weight). β-carotene is an essential precursor of provitamin A synthesis required for human health, thus XIS cucumber is an appealing germplasm for vitamin A breeding programs. In this review, we highlighted the molecular research progress of XIS cucumber as well as the bottlenecks undermining its utilization in genetic breeding. The XIS cucumber was first reported in 1983; thereafter, the literature on XIS cucumber was sporadic until 2012 and 2013 following QTL mapping of the Ore gene and subsequent cloning of the CsaBCH1 gene, respectively. Whereas QTL mapping studies underlying its flowering time and fruit quality related traits have been reported, fine mapping of their candidate genes remains unknown. Cucumber fruits are mainly consumed at fresh immature stage; however, XIS cucumber accumulates β-carotene at mature fruit state, thus limiting the utilization of β-carotene derived from it. In our opinion, we believe that the production and commercialization of immature orange-fleshed cucumber would gain wider acceptance among consumers. Additionally, we highlighted a comprehensive breeding strategy, precisely for enhanced β-carotene accumulation based on prior studies of XIS cucumber coupled with those from other crops. In MAS, we proposed schematic molecular backcross breeding strategy using lines possessing both ore and fft1.1 loci. This review, therefore, provides insights of XIS cucumber research and opportunities for further genetic breeding. Full article
Show Figures

Figure 1

20 pages, 9911 KB  
Article
Studies on Reproductive Development and Breeding Habit of the Commercially Important Bamboo Bambusa tulda Roxb
by Sukanya Chakraborty, Prasun Biswas, Smritikana Dutta, Mridushree Basak, Suman Guha, Uday Chatterjee and Malay Das
Plants 2021, 10(11), 2375; https://doi.org/10.3390/plants10112375 - 4 Nov 2021
Cited by 8 | Viewed by 3930
Abstract
Compared to other grasses, flowering in bamboo is quite divergent, yet complex with respect to time to flower, number of individual culms in a population that have been induced at a time (sporadic vs. gregarious), nature of monocarpy, morphology of inflorescences (solitary spikelet [...] Read more.
Compared to other grasses, flowering in bamboo is quite divergent, yet complex with respect to time to flower, number of individual culms in a population that have been induced at a time (sporadic vs. gregarious), nature of monocarpy, morphology of inflorescences (solitary spikelet vs. pseudospikelet), biology of pollen and nature of genetic compatibility. Wide diversity exists even across species and genotypes. However, due to the rarity of flowering and inaccessibility, few studies have been done to systematically analyse diverse aspects of the reproductive behaviour of bamboo. In this study, four recurrently occurring, sporadic flowering populations of Bambusa tulda have been closely observed over the last seven years. Detailed inflorescence and floral morphology and development of reproductive organs have been studied. Pollen viability was assessed by staining and in vitro germination. Self and cross pollination experiments were performed in a plantation site to assess the genetic nature of pollen-pistil interaction. The study identifies interesting reproductive features, that are not common in other grasses. A few important observations include the early appearance of a solitary spikelet vs. late appearance of a pseudospikelet in the flowering cycle, low rate of pollen germination, protandry, self-incompatibility and higher rate of seed setting by the pseudospikelet as compared to the solitary spikelet. The findings will not only be useful to understand the reproductive behaviour of this non-woody timber plant, but will also be useful for forest management and sustainable use of bamboo bioresources. Full article
(This article belongs to the Special Issue Floral Biology)
Show Figures

Figure 1

13 pages, 621 KB  
Article
Pomological Characteristics and Ploidy Levels of Japanese Plum (Prunus salicina Lindl.) Cultivars Preserved in Poland
by Agnieszka Głowacka, Mirosław Sitarek, Elżbieta Rozpara and Małgorzata Podwyszyńska
Plants 2021, 10(5), 884; https://doi.org/10.3390/plants10050884 - 27 Apr 2021
Cited by 18 | Viewed by 3894
Abstract
Research on the resistance to frost, susceptibility to sharka, flowering biology, fruit setting, yield, and ploidy levels of 36 Japanese plum cultivars (mostly hybrids of Prunus salicina with Prunus cerasifera) were carried out in 2015–2020 at the Experimental Orchard located in Dąbrowice [...] Read more.
Research on the resistance to frost, susceptibility to sharka, flowering biology, fruit setting, yield, and ploidy levels of 36 Japanese plum cultivars (mostly hybrids of Prunus salicina with Prunus cerasifera) were carried out in 2015–2020 at the Experimental Orchard located in Dąbrowice near Skierniewice. Relatively mild winters with sporadic temperature drops to nearly −21 °C in January of 2017 and 2018 caused slight damage to several cultivars of Japanese plum insufficiently resistant to frost. The trees of most cultivars remained healthy, with no signs of damage. ‘Barkhatnaya’ and ‘Tatyana’ cultivars turned out to be very susceptible to sharka. ‘Herkules’ trees were the most vigorous. ‘Barkhatnaja’, ‘Blue Gigant’, ‘Shater’, and ‘Tatyana’ trees were characterized by weak growth. The trees of Japanese plum started flowering early, usually in the first or second decade of April. Most of the cultivars belonged to early season cultivars, the fruits of which ripened in July. Based on the assessment of tree productivity, ‘Barkhatnaya’, ‘Inese’, ‘Shater’, ‘Tatyana’, and ‘Vanier’ are the best for growing in the climate of Central Europe. ‘Tsernushka’, ‘Chuk’, ‘Dofi Sandra’, ‘Early Golden’, ‘Ewierch Rannyj’, ‘Yevraziya’, ‘Gek’, ‘General’, ‘Kometa’, ‘Kometa Late’, ‘Maschenka’, and ‘Naidyona’ trees also yielded well. ‘Blue Gigant’, ‘Black Amber’, and ‘Herkules’ had the largest fruits, and ‘Chuk’ and ‘Inese’ cultivars produced the smallest fruits. Among the assessed Japanese plum cultivars, those with round fruit, dark skin with various shades of purple, yellow flesh, and A cytometric analysis showed that almost all cultivars are diploid, except for ‘Herkules’ (possibly pentaploid) and ‘Yevraziya’ (possibly hexaploid or aneuploid). Full article
(This article belongs to the Special Issue Plant Genetic Resources and Breeding of Clonally Propagated Crops)
Show Figures

Figure 1

17 pages, 1230 KB  
Article
Evaluation of Maize Growth Following Early Season Foliar P Supply of Various Fertilizer Formulations and in Relation to Nutritional Status
by Bruno Maximilian Görlach, Jon Niklas Henningsen, Jens Torsten Mackens and Karl Hermann Mühling
Agronomy 2021, 11(4), 727; https://doi.org/10.3390/agronomy11040727 - 9 Apr 2021
Cited by 15 | Viewed by 3122
Abstract
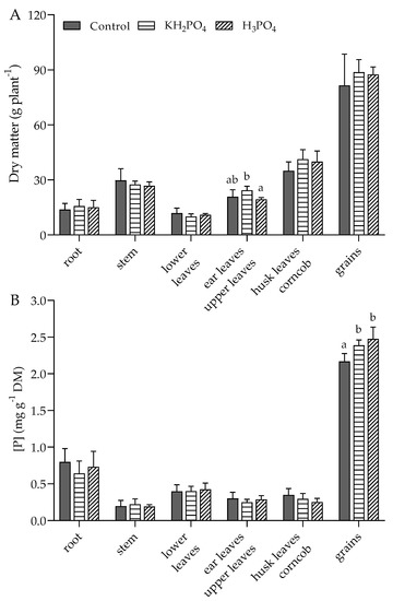
The efficiency of phosphorus (P) use in agriculture needs to be improved, with farmers being increasingly forced by law to reduce P soil fertilization. Thus, P foliar application might become more important in agriculture. The effect of foliar P fertilization has not been [...] Read more.
The efficiency of phosphorus (P) use in agriculture needs to be improved, with farmers being increasingly forced by law to reduce P soil fertilization. Thus, P foliar application might become more important in agriculture. The effect of foliar P fertilization has not been widely studied in maize, despite it being a crop with high P demand during juvenile development. Our aim was to investigate the effect of P foliar application during juvenile development on maize crop growth and yield. We conducted outdoor pot experiments to investigate the effect on P uptake, translocation, and dry matter following three applications of foliar fertilizer of various P formulations and with additional P soil fertilization between the 4th and 6th leaf stage during two growing seasons. To determine direct and possible long-term effects, plants were harvested at various developmental stages. P foliar application resulted in a significant increase in P concentration in all plant parts ten days after the last application, regardless of P form, nutritional status, or year. P concentration remained high only in those parts of the plant that were present during foliar application. Biomass effects were sporadically visible until flowering, but not at maturity. We conclude that foliar P fertilization during juvenile development does not increase yield but might nevertheless be a useful remedy for short-term P deficits. Full article
Show Figures

Figure 1

17 pages, 2817 KB  
Article
All Populations Matter: Conservation Genomics of Australia’s Iconic Purple Wattle, Acacia purpureopetala
by Marlien M. van der Merwe, Jia-Yee S. Yap, Peter D. Wilson, Helen T. Murphy and Andrew Ford
Diversity 2021, 13(4), 139; https://doi.org/10.3390/d13040139 - 25 Mar 2021
Cited by 9 | Viewed by 3439
Abstract
Maximising genetic diversity in conservation efforts can help to increase the chances of survival of a species amidst the turbulence of the anthropogenic age. Here, we define the distribution and extent of genomic diversity across the range of the iconic but threatened Acacia [...] Read more.
Maximising genetic diversity in conservation efforts can help to increase the chances of survival of a species amidst the turbulence of the anthropogenic age. Here, we define the distribution and extent of genomic diversity across the range of the iconic but threatened Acacia purpureopetala, a beautiful sprawling shrub with mauve flowers, restricted to a few disjunct populations in far north Queensland, Australia. Seed production is poor and germination sporadic, but the species occurs in abundance at some field sites. While several thousands of SNP markers were recovered, comparable to other Acacia species, very low levels of heterozygosity and allelic variation suggested inbreeding. Limited dispersal most likely contributed towards the high levels of divergence amongst field sites and, using a generalised dissimilarity modelling framework amongst environmental, spatial and floristic data, spatial distance was found to be the strongest factor explaining the current distribution of genetic diversity. We illustrate how population genomic data can be utilised to design a collecting strategy for a germplasm conservation collection that optimises genetic diversity. For this species, inclusion of all field sites will capture maximum genetic diversity for both in situ and ex situ conservation. Assisted cross pollination, within and between field sites and genetically structured groups, is recommended to enhance heterozygosity particularly at the most disjunct sites and further fragmentation should be discouraged to avoid loss of genetic connectivity. Full article
(This article belongs to the Special Issue Evolutionary Ecology and Conservation of Native Plants)
Show Figures

Figure 1

20 pages, 4184 KB  
Article
The Floral Repressor GmFLC-like Is Involved in Regulating Flowering Time Mediated by Low Temperature in Soybean
by Jing Lyu, Zhandong Cai, Yonghong Li, Haicui Suo, Rong Yi, Shuai Zhang and Hai Nian
Int. J. Mol. Sci. 2020, 21(4), 1322; https://doi.org/10.3390/ijms21041322 - 15 Feb 2020
Cited by 28 | Viewed by 4560
Abstract
Soybean is an important crop that is grown worldwide. Flowering time is a critical agricultural trait determining successful reproduction and yields. For plants, light and temperature are important environmental factors that regulate flowering time. Soybean is a typical short-day (SD) plant, and many [...] Read more.
Soybean is an important crop that is grown worldwide. Flowering time is a critical agricultural trait determining successful reproduction and yields. For plants, light and temperature are important environmental factors that regulate flowering time. Soybean is a typical short-day (SD) plant, and many studies have elucidated the fine-scale mechanisms of how soybean responds to photoperiod. Low temperature can delay the flowering time of soybean, but little is known about the detailed mechanism of how temperature affects soybean flowering. In this study, we isolated GmFLC-like from soybean, which belongs to the FLOWERING LOCUS C clade of the MADS-box family and is intensely expressed in soybean leaves. Heterologous expression of GmFLC-like results in a delayed-flowering phenotype in Arabidopsis. Additional experiments revealed that GmFLC-like is involved in long-term low temperature-triggered late flowering by inhibiting FT gene expression. In addition, yeast one-hybrid, dual-luciferase reporter assay, and electrophoretic mobility shift assay revealed that the GmFLC-like protein could directly repress the expression of FT2a by physically interacting with its promoter region. Taken together, our results revealed that GmFLC-like functions as a floral repressor involved in flowering time during treatments with various low temperature durations. As the only the FLC gene in soybean, GmFLC-like was meaningfully retained in the soybean genome over the course of evolution, and this gene may play an important role in delaying flowering time and providing protective mechanisms against sporadic and extremely low temperatures. Full article
(This article belongs to the Section Molecular Plant Sciences)
Show Figures

Figure 1

18 pages, 1347 KB  
Article
Fungal Diseases in Two North-West Spain Vineyards: Relationship with Meteorological Conditions and Predictive Aerobiological Model
by Jose A. Cortiñas Rodríguez, Estefanía González-Fernández, María Fernández-González, Rosa A. Vázquez-Ruiz and María Jesús Aira
Agronomy 2020, 10(2), 219; https://doi.org/10.3390/agronomy10020219 - 3 Feb 2020
Cited by 20 | Viewed by 8340
Abstract
Grey mould, powdery mildew, and downy mildew are the most frequent fungal diseases among vineyards worldwide. In the present study, we analysed the influence of the fungi causing these diseases (Botrytis, Erysiphe, and Plasmopara, respectively) on two viticulture areas from [...] Read more.
Grey mould, powdery mildew, and downy mildew are the most frequent fungal diseases among vineyards worldwide. In the present study, we analysed the influence of the fungi causing these diseases (Botrytis, Erysiphe, and Plasmopara, respectively) on two viticulture areas from North-western (NW) Spain during three growth seasons (2016, 2017, and 2018). The obtained results showed the predominant concentration of the Botrytis airborne spores, mainly from the beginning of the Inflorescence emerge phenological stage (S-5) until the end of the Flowering phenological stage (S-6). Erysiphe and Plasmopara airborne spore peak concentrations were more localised around Flowering (S-6) and Development of fruits (S-7) phenological stages. We applied a Spearman’s correlation test and a Principal Component Analysis to determine the influence of the meteorological parameters on the concentration of airborne spores. Taking into account the variables with the highest correlation coefficient, we developed multiple regression models to forecast the phytopathogenic fungal spore concentrations. The Botrytis model regression equation explained between 59.4–70.9% of spore concentration variability. The Erysiphe equation explained between 57.6–61% and the Plasmopara explained between 39.9–55.8%. In general, we found better prediction results for mean daily concentrations than sporadic spore peaks. Full article
(This article belongs to the Special Issue Disease Control Strategies in Fruit Crops)
Show Figures

Graphical abstract

12 pages, 1380 KB  
Article
Mycotoxins and Related Fungi in Italian Paddy Rice During the Growing Season and Storage
by Terenzio Bertuzzi, Marco Romani, Silvia Rastelli and Paola Giorni
Toxins 2019, 11(3), 151; https://doi.org/10.3390/toxins11030151 - 6 Mar 2019
Cited by 31 | Viewed by 4896
Abstract
Mycotoxigenic fungi and relative mycotoxins contamination were monitored in Italian paddy rice samples both in field during the growing season and the first five months of storage. Three experimental fields, nine rice varieties and three sowing densities were considered; then, different lots of [...] Read more.
Mycotoxigenic fungi and relative mycotoxins contamination were monitored in Italian paddy rice samples both in field during the growing season and the first five months of storage. Three experimental fields, nine rice varieties and three sowing densities were considered; then, different lots of paddy rice were stored in warehouses at different temperature regimes. Fusarium spp. and Aspergillus spp. were found to be the fungi most likely to produce mycotoxins throughout the growing season. In particular, A. flavus and A. niger were found only rarely both in field and in post-harvest, while A. versicolor was always present although in low concentrations. Penicillium spp. strains were isolated sporadically and were found to be irrelevant in Italian rice fungal contamination. Sterigmatocystin (STC) was the main mycotoxin found in Italian rice, while aflatoxin (AFB1), deoxynivalenol (DON) and ochratoxin A (OTA) were rarely detected. Contamination generally increased from post-flowering to ripening; considering rice varieties, significant differences (p ≤ 0.01) were found in fungal contamination and STC production; no differences were observed between sowing densities. During storage, an increase in STC content was observed in higher temperature regimes, while all the other considered mycotoxins remained unchanged. These results indicated that contamination by STC, an emerging mycotoxin not legislatively regulated by the European Union, can be relevant in rice. Full article
(This article belongs to the Special Issue Mycotoxins and Cereal Quality)
Show Figures

Graphical abstract

15 pages, 3762 KB  
Review
Dehydropyrrolizidine Alkaloid Toxicity, Cytotoxicity, and Carcinogenicity
by Bryan L. Stegelmeier, Steven M. Colegate and Ammon W. Brown
Toxins 2016, 8(12), 356; https://doi.org/10.3390/toxins8120356 - 29 Nov 2016
Cited by 46 | Viewed by 9732
Abstract
Dehydropyrrolizidine alkaloid (DHPA)-producing plants have a worldwide distribution amongst flowering plants and commonly cause poisoning of livestock, wildlife, and humans. Previous work has produced considerable understanding of DHPA metabolism, toxicity, species susceptibility, conditions, and routes of exposure, and pathogenesis of acute poisoning. Intoxication [...] Read more.
Dehydropyrrolizidine alkaloid (DHPA)-producing plants have a worldwide distribution amongst flowering plants and commonly cause poisoning of livestock, wildlife, and humans. Previous work has produced considerable understanding of DHPA metabolism, toxicity, species susceptibility, conditions, and routes of exposure, and pathogenesis of acute poisoning. Intoxication is generally caused by contaminated grains, feed, flour, and breads that result in acute, high-dose, short-duration poisoning. Acute poisoning produces hepatic necrosis that is usually confirmed histologically, epidemiologically, and chemically. Less is known about chronic poisoning that may result when plant populations are sporadic, used as tisanes or herbal preparations, or when DHPAs contaminate milk, honey, pollen, or other animal-derived products. Such subclinical exposures may contribute to the development of chronic disease in humans or may be cumulative and probably slowly progress until liver failure. Recent work using rodent models suggest increased neoplastic incidence even with very low DHPA doses of short durations. These concerns have moved some governments to prohibit or limit human exposure to DHPAs. The purpose of this review is to summarize some recent DHPA research, including in vitro and in vivo DHPA toxicity and carcinogenicity reports, and the implications of these findings with respect to diagnosis and prognosis for human and animal health. Full article
(This article belongs to the Collection Toxicity of Natural Alkaloids)
Show Figures

Figure 1

Back to TopTop