Assessment of the Effects of Autonomous Mowers on Plant Biodiversity in Urban Lawns
Abstract
1. Introduction
2. Materials and Methods
2.1. Site Characteristics
2.2. Experimental Design
2.3. Data Collection
2.4. Statistical Analysis
3. Results
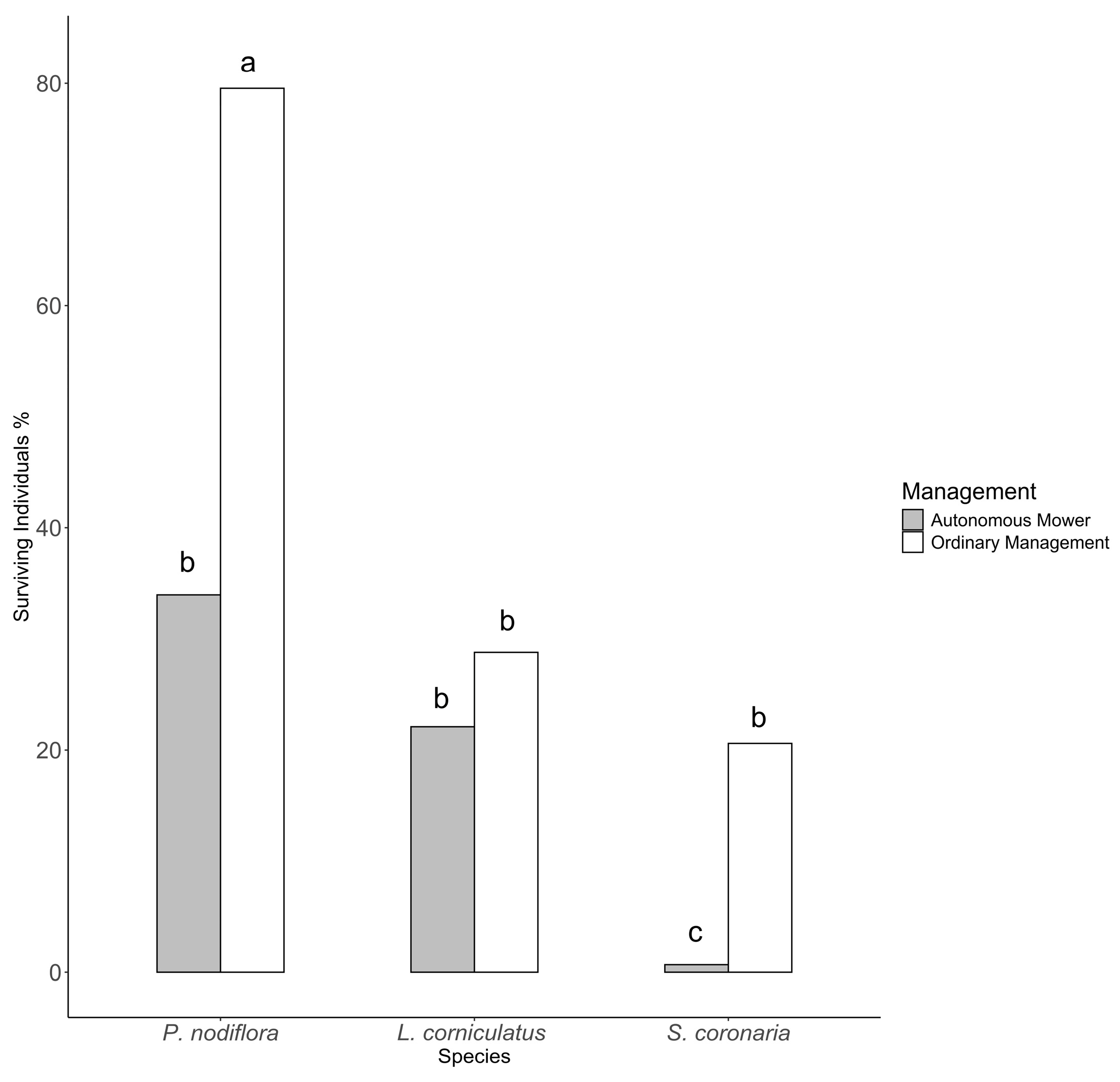
3.1. Effect of the Two Management Systems on the Planted Species
3.1.1. Manila Grass
3.1.2. Bermuda Grass
3.2. Effect of the Two Management Systems on the Turf Height
3.3. Operative Performance of the Two Management Systems
4. Discussion
5. Conclusions
Author Contributions
Funding
Data Availability Statement
Acknowledgments
Conflicts of Interest
References
- Padullés Cubino, J.; Cavender-Bares, J.; Hobbie, S.E.; Pataki, D.E.; Avolio, M.L.; Darling, L.E.; Larson, K.L.; Hall, S.J.; Groffman, P.M.; Trammell, T.L.E.; et al. Drivers of Plant Species Richness and Phylogenetic Composition in Urban Yards at the Continental Scale. Landsc. Ecol. 2019, 34, 63–77. [Google Scholar] [CrossRef]
- Wenzel, A.; Grass, I.; Belavadi, V.V.; Tscharntke, T. How Urbanization Is Driving Pollinator Diversity and Pollination—A Systematic Review. Biol. Conserv. 2020, 241, 108321. [Google Scholar] [CrossRef]
- Potts, S.G.; Imperatriz-Fonseca, V.L.; Ngo, H.T.; Biesmeijer, J.C.; Breeze, T.D.; Dicks, L.V.; Garibaldi, L.A.; Hill, R.; Settele, J.; Vanbergen, A.J. The Assessment Report on Pollinators, Pollination and Food Production: Summary for Policymakers; Secretariat of the Intergovernmental Science-Policy Platform on Biodiversity and Ecosystem Services: Bonn, Germany, 2016; ISBN 978-92-807-3568-0. [Google Scholar]
- Baldock, K.C. Opportunities and Threats for Pollinator Conservation in Global Towns and Cities. Curr. Opin. Insect Sci. 2020, 38, 63–71. [Google Scholar] [CrossRef] [PubMed]
- Ignatieva, M.; Ahrné, K.; Wissman, J.; Eriksson, T.; Tidåker, P.; Hedblom, M.; Kätterer, T.; Marstorp, H.; Berg, P.; Eriksson, T.; et al. Lawn as a Cultural and Ecological Phenomenon: A Conceptual Framework for Transdisciplinary Research. Urban For. Urban Green. 2015, 14, 383–387. [Google Scholar] [CrossRef]
- Slater, E. The Front Lawn as a work of art and nature in the age of chemical reproduction. In Proceedings of the Annual Meeting of the American Sociological Association, New York, NY, USA, 11–14 August 2007. [Google Scholar]
- Steinberg, T. American Green: The Obsessive Questfor the Perfect Lawn; W.W. Norton&Co.: New York, NY, USA, 2007. [Google Scholar]
- Stewart, G.H.; Ignatieva, M.E.; Meurk, C.D.; Buckley, H.; Horne, B.; Braddick, T. URban Biotopes of Aotearoa New Zealand (URBANZ) (I): Composition and Diversity of Temperate Urban Lawns in Christchurch. Urban Ecosyst. 2009, 12, 233–248. [Google Scholar] [CrossRef]
- Ignatieva, M.E.; Stewart, G.H. Homogeneity of Urban Biotopes and Similarity of Landscape Design Language in Former Colonial Cities. In Ecology of Cities and Towns: A Comparative Approach; Mcdonnell, M.J., Hahs, A.K., Breuste, J.H., Eds.; Cambridge University Press: Cambridge, UK, 2009; pp. 399–421. [Google Scholar]
- Chollet, S.; Brabant, C.; Tessier, S.; Jung, V. From Urban Lawns to Urban Meadows: Reduction of Mowing Frequency Increases Plant Taxonomic, Functional and Phylogenetic Diversity. Landsc. Urban Plan. 2018, 180, 121–124. [Google Scholar] [CrossRef]
- Gaston, K.J.; Fuller, R.A.; Loram, A.; MacDonald, C.; Power, S.; Dempsey, N. Urban Domestic Gardens (XI): Variation in Urban Wildlife Gardening in the United Kingdom. Biodivers Conserv. 2007, 16, 3227–3238. [Google Scholar] [CrossRef]
- Kiesling, F.M.; Manning, C.M. How Green Is Your Thumb? Environmental Gardening Identity and Ecological Gardening Practices. J. Environ. Psychol. 2010, 30, 315–327. [Google Scholar] [CrossRef]
- Thompson, G.L.; Kao-Kniffin, J. Applying Biodiversity and Ecosystem Function Theory to Turfgrass Management. Crop Sci. 2017, 57, S238–S248. [Google Scholar] [CrossRef]
- Smith, L.S.; Fellowes, M.D.E. The Grass-Free Lawn: Floral Performance and Management Implications. Urban For. Urban Green. 2015, 14, 490–499. [Google Scholar] [CrossRef]
- Lerman, S.B.; Contosta, A.R.; Milam, J.; Bang, C. To Mow or to Mow Less: Lawn Mowing Frequency Affects Bee Abundance and Diversity in Suburban Yards. Biol. Conserv. 2018, 221, 160–174. [Google Scholar] [CrossRef]
- Forbes, S.; Cooper, D.; Kendle, A.D. The History and Development of Ecological Landscape Styles. In Urban Nature Conservation-Landscape Management in the Urban Countryside; Kendle, T., Forbes, S., Eds.; Taylor & Francis: London, UK, 1997; pp. 244–254. [Google Scholar]
- Busey, P. Cultural Management of Weeds in Turfgrass. Crop Sci. 2003, 43, 1899–1911. [Google Scholar] [CrossRef]
- Paudel, S.; States, S.L. Urban Green Spaces and Sustainability: Exploring the Ecosystem Services and Disservices of Grassy Lawns versus Floral Meadows. Urban For. Urban Green. 2023, 84, 127932. [Google Scholar] [CrossRef]
- Muhammad Anees, M.; Qasim, M.; Bashir, A. Physiological and Physical Impact of Noise Pollution on Environment. Earth Sci. Pak. 2017, 1, 8–10. [Google Scholar] [CrossRef]
- Gillman, L.N.; Bollard, B.; Leuzinger, S. Calling Time on the Imperial Lawn and the Imperative for Greenhouse Gas Mitigation. Glob. Sustain. 2023, 6, e3. [Google Scholar] [CrossRef]
- Braun, R.C.; Straw, C.M.; Soldat, D.J.; Bekken, M.A.H.; Patton, A.J.; Lonsdorf, E.V.; Horgan, B.P. Strategies for Reducing Inputs and Emissions in Turfgrass Systems. Crop Forage Turfgrass Mgmt. 2023, 9, e20218. [Google Scholar] [CrossRef]
- Pirchio, M.; Fontanelli, M.; Frasconi, C.; Martelloni, L.; Raffaelli, M.; Peruzzi, A.; Gaetani, M.; Magni, S.; Caturegli, L.; Volterrani, M.; et al. Autonomous Mower vs. Rotary Mower: Effects on Turf Quality and Weed Control in Tall Fescue Lawn. Agronomy 2018, 8, 15. [Google Scholar] [CrossRef]
- Grossi, N.; Fontanelli, M.; Garramone, E.; Peruzzi, A.; Raffaelli, M.; Pirchio, M.; Martelloni, L.; Frasconi, C.; Caturegli, L.; Gaetani, M.; et al. Autonomous Mower Saves Energy and Improves Quality of Tall Fescue Lawn. HortTechnology 2016, 26, 825–830. [Google Scholar] [CrossRef]
- Hicks, R.W.; Hall, E.L. Survey of Robot Lawn Mowers; Society of Photo-Optical Instrumentation Engineers (SPIE): Boston, MA, USA, 2000; pp. 262–269. [Google Scholar]
- Nelson, R.G. Automated Lawn Mower. U.S. Patent 5,974,347, 26 October 1999. [Google Scholar]
- Ragonese, A.; Marx, J. The Applications of Sensor Technology in the Design of the Autonomous Robotic Lawn Mower. In Proceedings of the 15th Annual Freshman Engineering Conference, Pittsburgh, PA, USA, 11 April 2015. [Google Scholar]
- Dernoeden, P.H.; Carroll, M.J.; Krouse, J.M. Weed Management and Tall Fescue Quality as Influenced by Mowing, Nitrogen, and Herbicides. Crop Sci. 1993, 33, 1055–1061. [Google Scholar] [CrossRef]
- Burns, R.E. Time of Fertilizer Application as It Affects Quality of Tall Fescue Turf. In Proceedings of the 4th International Turfgrass Research Conference, Guelph, ON, Canada, 19 July 1981; Sheard, R.W., Ed.; University of Guelph: Guelph, ON, Canada, 1981; pp. 285–291. [Google Scholar]
- Pignatti, S. Flora d’Italia; Edagricole: Bologna, Italy, 1982; Volume 1–3. [Google Scholar]
- Mirabile, M.; Bretzel, F.; Gaetani, M.; Lulli, F.; Volterrani, M. Improving Aesthetic and Diversity of Bermudagrass Lawn in Its Dormancy Period. Urban For. Urban Green. 2016, 18, 190–197. [Google Scholar] [CrossRef]
- Gagliardi, L.; Sportelli, M.; Frasconi, C.; Pirchio, M.; Peruzzi, A.; Raffaelli, M.; Fontanelli, M. Evaluation of Autonomous Mowers Weed Control Effect in Globe Artichoke Field. Appl. Sci. 2021, 11, 11658. [Google Scholar] [CrossRef]
- Pirchio, M.; Fontanelli, M.; Labanca, F.; Sportelli, M.; Frasconi, C.; Martelloni, L.; Raffaelli, M.; Peruzzi, A.; Gaetani, M.; Magni, S.; et al. Energetic Aspects of Turfgrass Mowing: Comparison of Different Rotary Mowing Systems. Agriculture 2019, 9, 178. [Google Scholar] [CrossRef]
- IBM. IBM SPSS Advanced Statistics 25; IBM: Armonk, NY, USA, 2017. [Google Scholar]
- Luglio, S.M.; Sportelli, M.; Frasconi, C.; Raffaelli, M.; Gagliardi, L.; Peruzzi, A.; Fortini, V.; Volterrani, M.; Magni, S.; Caturegli, L.; et al. Monitoring Autonomous Mowers Operative Parameters on Low-Maintenance Warm-Season Turfgrass. Appl. Sci. 2023, 13, 7852. [Google Scholar] [CrossRef]
- Thompson, K.; Hodgson, J.G.; Smith, R.M.; Warren, P.H.; Gaston, K.J. Urban Domestic Gardens (III): Composition and Diversity of Lawn Floras. J. Veg. Sci. 2004, 15, 373–378. [Google Scholar] [CrossRef]
- MacLaren, C.; Bennett, J.; Dehnen-Schmutz, K. Management Practices Influence the Competitive Potential of Weed Communities and Their Value to Biodiversity in South African Vineyards. Weed Res. 2019, 59, 93–106. [Google Scholar] [CrossRef]
- Watson, C.J.; Carignan-Guillemette, L.; Turcotte, C.; Maire, V.; Proulx, R. Ecological and Economic Benefits of Low-intensity Urban Lawn Management. J. Appl. Ecol. 2020, 57, 436–446. [Google Scholar] [CrossRef]
- Sehrt, M.; Bossdorf, O.; Freitag, M.; Bucharova, A. Less Is More! Rapid Increase in Plant Species Richness after Reduced Mowing in Urban Grasslands. Basic Appl. Ecol. 2020, 42, 47–53. [Google Scholar] [CrossRef]
- Rudolph, M.; Velbert, F.; Schwenzfeier, S.; Kleinebecker, T.; Klaus, V.H. Patterns and Potentials of Plant Species Richness in High- and Low-maintenance Urban Grasslands. Appl. Veg. Sci. 2017, 20, 18–27. [Google Scholar] [CrossRef]
- Entsminger, E.D.; Jones, J.C.; Guyton, J.W.; Strickland, B.K.; Leopold, B.D. Evaluation of Mowing Frequency on Right-of-Way Plant Communities in Mississippi. J. Fish Wildl. Manag. 2017, 8, 125–139. [Google Scholar] [CrossRef]
- Inagaki, H.; Saiki, C.; Ichihara, M.; Matsuno, K.; Tanno, Y.; Yamashita, M.; Sawada, H. Effect of Mowing Height on Dominance of Annual Poaceae Plants. J. Ecol. Eng. 2020, 21, 8–13. [Google Scholar] [CrossRef]
- The University of Texas at Austin Phyla Nodiflora. Available online: https://w3.biosci.utexas.edu/prc/K12/pages/Phyla%20nodiflora.html (accessed on 5 February 2024).
- Fetridge, E.D.; Ascher, J.S.; Langellotto, G.A. The Bee Fauna of Residential Gardens in a Suburb of New York City (Hymenoptera: Apoidea). Ann. Entomol. Soc. Am. 2008, 101, 1067–1077. [Google Scholar] [CrossRef]
- Halbritter, D.A.; Daniels, J.C.; Whitaker, D.C.; Huang, L. Reducing Mowing Frequency Increases Floral Resource and Butterfly (Lepidoptera: Hesperioidea and Papilionoidea) Abundance in Managed Roadside Margins. Fla. Entomol. 2015, 98, 1081–1092. [Google Scholar] [CrossRef]
- Phillips, B.B.; Gaston, K.J.; Bullock, J.M.; Osborne, J.L. Road Verges Support Pollinators in Agricultural Landscapes, but Are Diminished by Heavy Traffic and Summer Cutting. J. Appl. Ecol. 2019, 56, 2316–2327. [Google Scholar] [CrossRef]
- Sportelli, M.; Fontanelli, M.; Pirchio, M.; Frasconi, C.; Raffaelli, M.; Caturegli, L.; Magni, S.; Volterrani, M.; Peruzzi, A. Robotic Mowing of Tall Fescue at 90 mm Cutting Height: Random Trajectories vs. Systematic Trajectories. Agronomy 2021, 11, 2567. [Google Scholar] [CrossRef]






| Species | Family | Life Form | Biological Form | Growth Tendency | Height (cm) | Observed Flowering Period |
|---|---|---|---|---|---|---|
| Lotus corniculatus L. | Fabaceae | Perennial | Hemicryptophytes | Prostrate/erect | 10–40 | May–September |
| Sulla coronaria (L.) B.H.Choi & H.Ohashi | Fabaceae | Perennial | Hemicryptophytes | Prostrate/erect | 30–100 | May–September |
| Phyla nodiflora (L.) Greene | Verbenaceae | Perennial | Hemicryptophytes | Prostrate | 10–30 | June–September |
| Factors | Percentage of Surviving Individuals | Average Percentage of Coverage for a Single Individual | Percentage of Individuals with Flowers |
|---|---|---|---|
| p-Value | p-Value | p-Value | |
| Management System | 0.533 | *** | 0.419 |
| Species | *** | *** | *** |
| Management system × Species | 0.269 | 0.076 | ** |
| Factors | Percentage of Surviving Individuals | Average Percentage of Coverage for a Single Individual | Percentage of Individuals with Flowers |
|---|---|---|---|
| p-Value | p-Value | p-Value | |
| Management System | *** | * | *** |
| Species | *** | ** | *** |
| Management System × Species | ** | 0.684 | *** |
| Ride-on Rotary Mower | Autonomous Mower | ||||
|---|---|---|---|---|---|
| Unit | Values | Unit | Values | ||
| Working Speed | km h−1 | 3.70 | Mowing Time | h day−1 | 19.64 |
| Total Mowing Time | h ha−1 | 2.22 | Charging Time | h day−1 | 4.36 |
| Total Turning Time | h ha−1 | 0.20 | Number of Mowers to Mow 1 ha | 2.50 | |
| Total Time to Unload the Collection Chamber | h ha−1 | 2.30 | Mowers Energy Consumption | kWh ha−1 year−1 | 89.03 |
| Total Field Time | h ha−1 | 4.71 | Charging Bases Energy Consumption | kWh ha−1 year−1 | 13.90 |
| Fuel Consumption | kg ha−1 | 6.50 | |||
| Primary Energy Consumption | kWh ha−1 year−1 | 614.97 | Primary Energy Consumption | kWh ha−1 year−1 | 200.04 |
| Ride-on Rotary Mower | Autonomous Mower | ||||
|---|---|---|---|---|---|
| Unit | Values | Unit | Values | ||
| Working Speed | km h−1 | 3.70 | Mowing Time | h day−1 | 19.64 |
| Total Mowing Time | h ha−1 | 2.22 | Charging Time | h day−1 | 4.36 |
| Total Turning Time | h ha−1 | 0.20 | Number of Mowers to Mow 1 ha | 2.22 | |
| Total Time to Unload the Collection Chamber | h ha−1 | 2.00 | Mowers Energy Consumption | kWh ha−1 year−1 | 79.14 |
| Total Field Time | h ha−1 | 4.41 | Charging Bases Energy consumption | kWh ha−1 year−1 | 12.36 |
| Fuel Consumption | kg ha−1 | 5.41 | |||
| Primary Energy Consumption | kWh ha−1 year−1 | 510.99 | Primary Energy Consumption | kWh ha−1 year−1 | 177.82 |
Disclaimer/Publisher’s Note: The statements, opinions and data contained in all publications are solely those of the individual author(s) and contributor(s) and not of MDPI and/or the editor(s). MDPI and/or the editor(s) disclaim responsibility for any injury to people or property resulting from any ideas, methods, instructions or products referred to in the content. |
© 2024 by the authors. Licensee MDPI, Basel, Switzerland. This article is an open access article distributed under the terms and conditions of the Creative Commons Attribution (CC BY) license (https://creativecommons.org/licenses/by/4.0/).
Share and Cite
Gagliardi, L.; Fontanelli, M.; Luglio, S.M.; Frasconi, C.; Raffaelli, M.; Peruzzi, A.; Caturegli, L.; Sciusco, G.; Federighi, T.; Magni, S.; et al. Assessment of the Effects of Autonomous Mowers on Plant Biodiversity in Urban Lawns. Horticulturae 2024, 10, 355. https://doi.org/10.3390/horticulturae10040355
Gagliardi L, Fontanelli M, Luglio SM, Frasconi C, Raffaelli M, Peruzzi A, Caturegli L, Sciusco G, Federighi T, Magni S, et al. Assessment of the Effects of Autonomous Mowers on Plant Biodiversity in Urban Lawns. Horticulturae. 2024; 10(4):355. https://doi.org/10.3390/horticulturae10040355
Chicago/Turabian StyleGagliardi, Lorenzo, Marco Fontanelli, Sofia Matilde Luglio, Christian Frasconi, Michele Raffaelli, Andrea Peruzzi, Lisa Caturegli, Giuliano Sciusco, Tommaso Federighi, Simone Magni, and et al. 2024. "Assessment of the Effects of Autonomous Mowers on Plant Biodiversity in Urban Lawns" Horticulturae 10, no. 4: 355. https://doi.org/10.3390/horticulturae10040355
APA StyleGagliardi, L., Fontanelli, M., Luglio, S. M., Frasconi, C., Raffaelli, M., Peruzzi, A., Caturegli, L., Sciusco, G., Federighi, T., Magni, S., & Volterrani, M. (2024). Assessment of the Effects of Autonomous Mowers on Plant Biodiversity in Urban Lawns. Horticulturae, 10(4), 355. https://doi.org/10.3390/horticulturae10040355

